Скачать ГОСТ 13769-86 Пружины винтовые цилиндрические сжатия I класса, разряда 4 из стали круглого сечения. Основные параметры витковДата актуализации: 10.08.2017 ГОСТ 13769-86
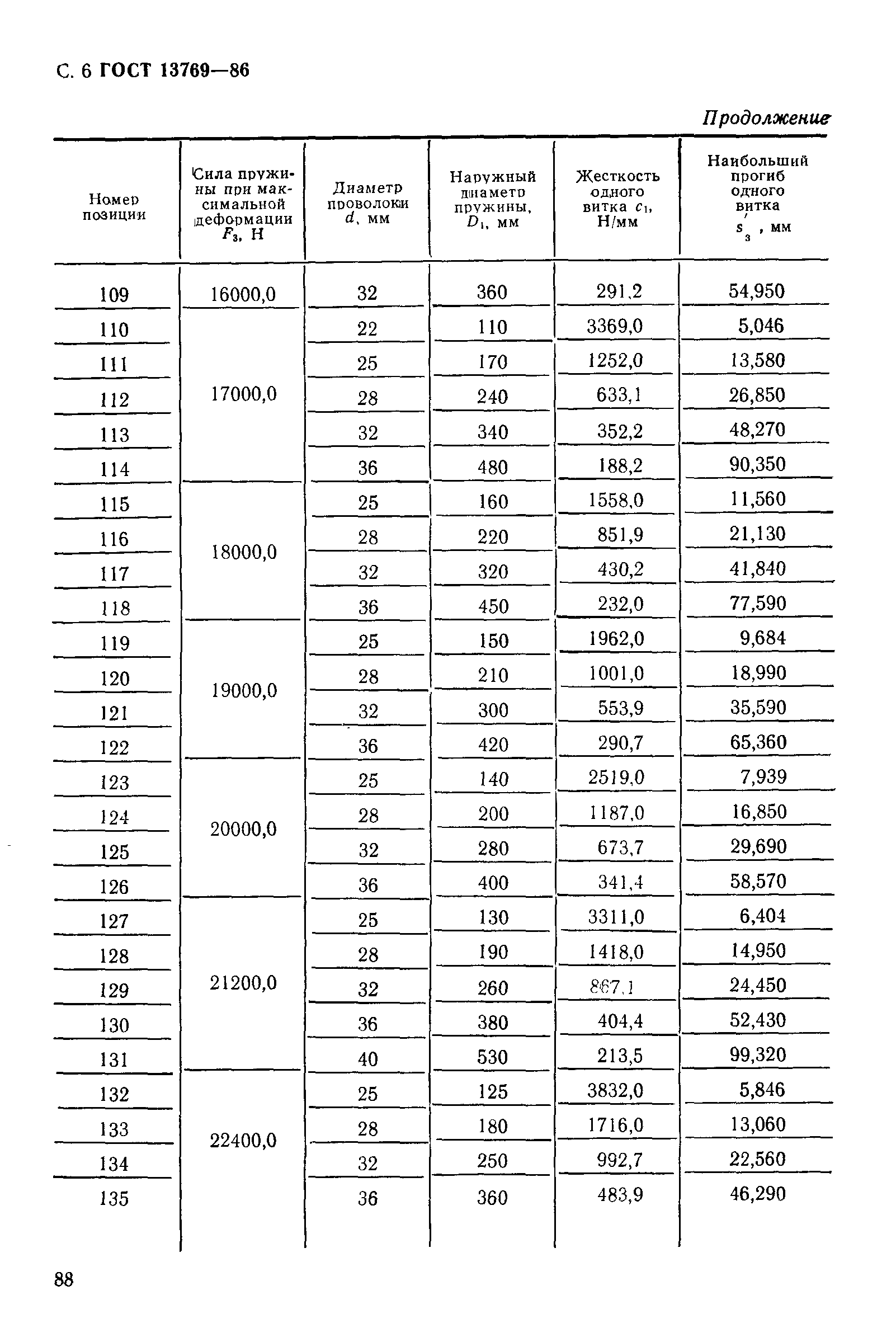
Пружины винтовые цилиндрические сжатия I класса, разряда 4 из стали круглого сечения. Основные параметры витков| Обозначение: | ГОСТ 13769-86 | | Обозначение англ: | GOST 13769-86 | | Статус: | действует | | Название рус.: | Пружины винтовые цилиндрические сжатия I класса, разряда 4 из стали круглого сечения. Основные параметры витков | | Название англ.: | Cylindrical helical compression springs of I class and of 4 category made of round steel. Main parameters of coils | | Дата добавления в базу: | 01.09.2013 | | Дата актуализации: | 05.05.2017 | | Дата введения: | 01.07.1988 | | Область применения: | Стандарт распространяется на пружины сжатия I класса, разряда 4 с силами при максимальной деформации пружины от 2800 до 180000 Н. | | Утверждён: | 19.12.1986 Госстандарт СССР (USSR Gosstandart 4012)
| | Расположен в: |
| | Заменяет собой: | ГОСТ 13769-68 «Пружины винтовые цилиндрические сжатия и растяжения I класса, разряда 4 из стали круглого сечения. Основные параметры витков» |
           
|