Информационная система
«Ёшкин Кот»

Скачать базу одним архивом
Скачать обновления
История создания базы
Карта сайта

Скачать ГОСТ 10325-79 Головные уборы меховые. Общие технические условия

Дата актуализации: 10.08.2017

ГОСТ 10325-79

Головные уборы меховые. Общие технические условия

Обозначение: ГОСТ 10325-79
Обозначение англ: GOST 10325-79
Статус:заменен
Название рус.:Головные уборы меховые. Общие технические условия
Название англ.:Fur heard-dresses. General specifications
Дата добавления в базу:01.09.2013
Дата актуализации:05.05.2017
Дата введения:01.01.2016
Область применения:Стандарт распространяется на меховые мужские, женские, подростковые и детские головные уборы, изготовленные из меховых шкурок и их частей, мехового велюра и шубной овчины или комбинированные с другими материалами. Стандарт не распространяется на головные уборы, изготовляемые по заказам Министерства обороны.
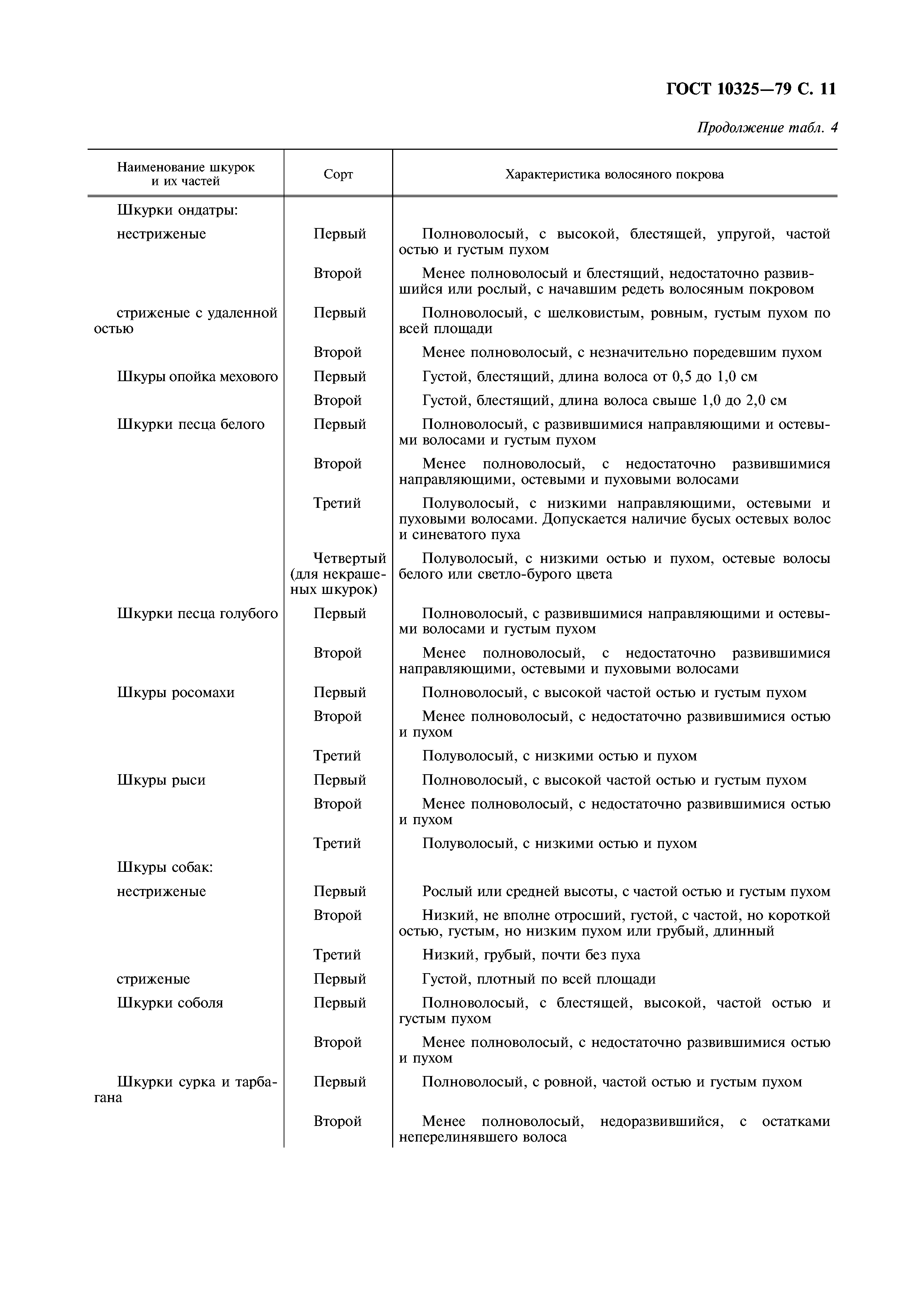
Оглавление:1 Размеры
2 Технические требования
3 Правила приемки
4 Методы контроля
5 Маркировка, упаковка, транспортирование и хранение
Разработан: Министерство легкой промышленности СССР
Утверждён:25.06.1979 Государственный комитет СССР по стандартам (USSR National Committee on Standards 2240)
Издан: Издательство стандартов (1979 г. )
Издательство стандартов (1993 г. )
ИПК Издательство стандартов (2002 г. )
Расположен в:Техническая документация Электроэнергия ШВЕЙНАЯ ПРОМЫШЛЕННОСТЬ Головные уборы. Аксессуары. Застежки для одежды Экология ШВЕЙНАЯ ПРОМЫШЛЕННОСТЬ Головные уборы. Аксессуары. Застежки для одежды
Список изменений:
Заменяет собой:
  • ГОСТ 5.737-71 «Уборы головные мужские и детские меховые и комбинированные. Требования к качеству аттестованной продукции»
  • ГОСТ 5.1195-72 «Уборы головные меховые женские. Требования к качеству аттестованной продукции»
  • ГОСТ 10325-70 «Уборы головные меховые и комбинированные»
Чем заменён:
Нормативные ссылки:
ГОСТ 10325-79ГОСТ 10325-79ГОСТ 10325-79ГОСТ 10325-79ГОСТ 10325-79ГОСТ 10325-79ГОСТ 10325-79ГОСТ 10325-79ГОСТ 10325-79ГОСТ 10325-79ГОСТ 10325-79ГОСТ 10325-79ГОСТ 10325-79ГОСТ 10325-79ГОСТ 10325-79ГОСТ 10325-79ГОСТ 10325-79ГОСТ 10325-79ГОСТ 10325-79

Текстовое изменение № 2 от 01.06.1986

№ 2№ 2№ 2№ 2

© 2013 Ёшкин Кот :-) Карта сайта