Информационная система
«Ёшкин Кот»

Скачать базу одним архивом
Скачать обновления
История создания базы
Карта сайта

Скачать РД 31.74.09-96 Нормы на морские дноуглубительные работы

Дата актуализации: 10.08.2017

РД 31.74.09-96

Нормы на морские дноуглубительные работы

Обозначение: РД 31.74.09-96
Обозначение англ: RD 31.74.09-96
Статус:действует
Название рус.:Нормы на морские дноуглубительные работы
Название англ.:Standards for Marine Dredging Operations
Дата добавления в базу:01.09.2013
Дата актуализации:05.05.2017
Дата введения:01.01.1997
Область применения:Документ устанавливает нормы на морские дноукрепительные работы, выполняемые морским дноукрепительным флотом морских пароходств и управлений морских путей.
Оглавление:1. Общие положения
2. Классификация грунтов
3. Организация дноукрепительных работ
4. Разработка грунта многочерпаковыми земснарядами
   4.1. Основные положения
   4.2. Поправочные коэффициенты к суточной выработке на особые условия работы
   4.3. Технические характеристики многочерпаковых земснарядов
   4.4. Нормы производительности и суточной выработки земснарядов
   4.5. Пример определения расчетных показателей работы многочерпакового земснаряда
5. Разработка грунта рефулерными папильонажными землесосами с механическим разрыхлителем
   5.1. Основные положения
   5.2. Поправочные коэффициенты к нормам выработки на особые условия работы
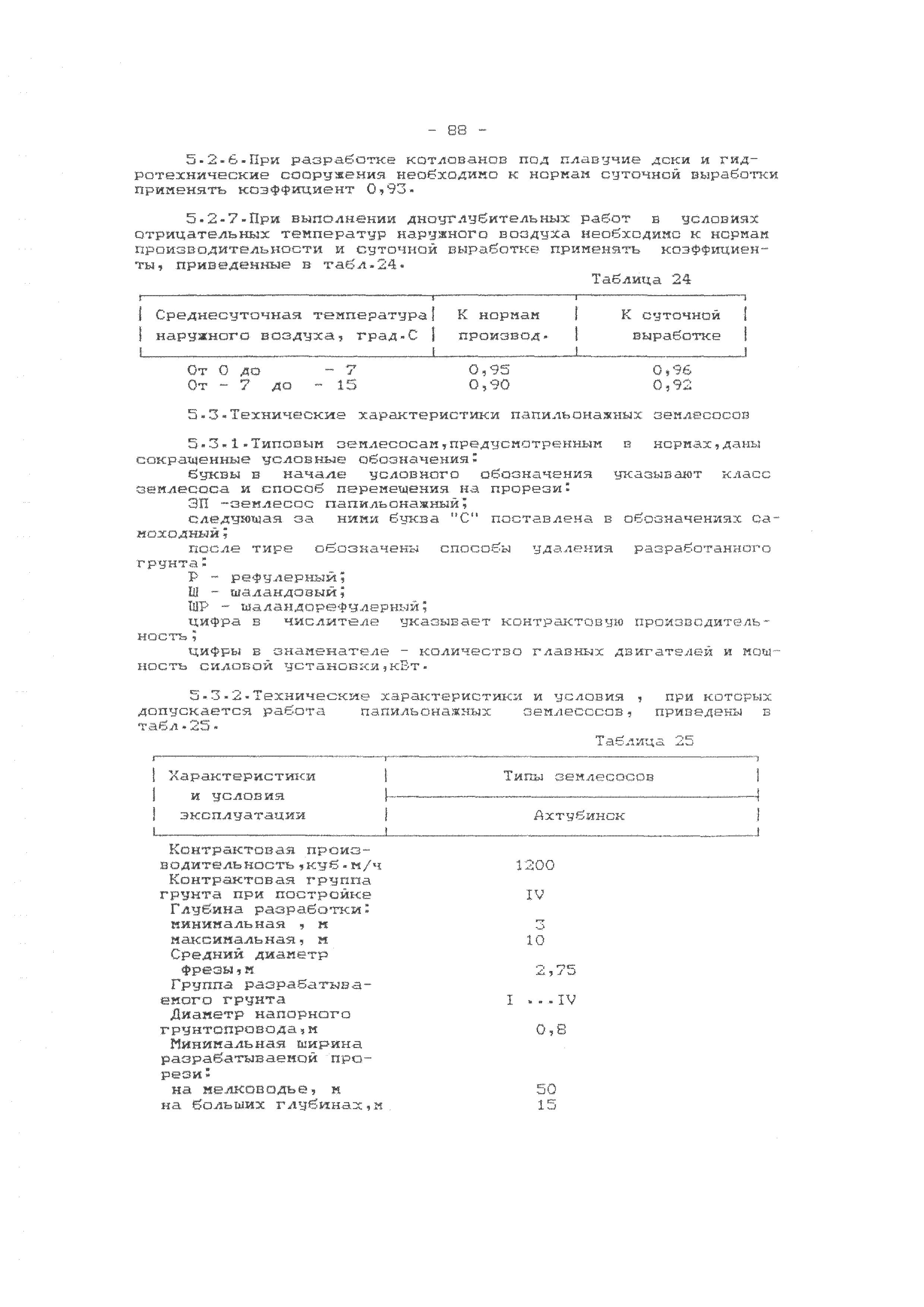
   5.3. Технические характеристики папильонажных землесосов
   5.4. Нормы производительности и суточной выработки землесосов
   5.5. Пример расчета норм производительности папильонажного землесоса с механическим разрыхлителем
6. Разработка грунта рефулерными траншейными землесосами с гидравлическим разрыхлителем
   6.1. Основные положения
   6.2. Поправочные коэффициенты к нормам выработки на особые условия работы
   6.3. Технические характеристики траншейных землесосов
   6.4. Нормы производительности и суточной выработки землесосов
7. Разработка грунта самоотвозными землесосами
   7.1. Основные положения
   7.2. Поправочные коэффициенты на особые условия работы
   7.3. Технические характеристики самоотвозных землесосов
   7.4. Нормы производительности и суточной выработки землесосов
   7.5. Пример определения расчетных показателей работы самоотвозных землесосов
8. Транспортировка грунта к местам отвала
9. Вспомогательные, подготовительные работы при дноуглублении
   9.1. Производственные установки
   9.2. Установка земснаряда на участке работ
   9.3. Снятие земснаряда с участка работ
   9.4. Нормы времени на установку и съемку земснарядов на участке работ
   9.5. Перекладка рабочих якорей и тросов
   9.6. Перемещение земснаряда по прорези
   9.7. Перевод плавучего грунтопровода
   9.8. Переключение плавучего грунтопровода от одного берегового патрубка к другому
   9.9. Изменение длины действующего плавучего грунтопровода
   9.10. Изменение длины берегового грунтопровода
   9.11. Промывка грунтопровода перед остановкой землесоса
   9.12. Удаление камня с прорези многочерпаковым земснарядом
   9.13. Разворот самоотвозного землесоса
   9.14. Рефулирование самоотвозным землесосом грунта на береговой склад
10. Профилактические мероприятия
11. Монтаж и демонтаж спецустройств земснарядов, подготовка к эксплуатации и заводскому ремонту, переходы земкараванов
   Приложение 1. Потери грунта при намыве
Разработан: АО Ростовское ЦПКБ Стапель
Утверждён:29.11.1996 Росморфлот России (Russian Federation Rosmorflot )
Принят: Северо-Каспийское морское пароходство (North Caspian Shipping Line )
Северное морское пароходство (Northern Shipping Line )
Балтийское морское пароходство (Baltic Shipping Line )
25.11.1996 Отдел инвестиционной политики Росморфлота (Department of Investment Policy, Rosmorflotа )
Управление АЗОВМОРПУТЬ (AZOVMORPUT Administration )
Камчатское морское пароходство (Kamchatka Shipping Line )
Издан: ЦПКБ Стапель (1996 г. )
Расположен в:Техническая документация Экология ГРАЖДАНСКОЕ СТРОИТЕЛЬСТВО Сооружение водных путей, портов и дамб Строительство Нормативные документы Отраслевые и ведомственные нормативно-методические документы Проектирование и строительство морских сооружений
Заменяет собой:
  • РД 31.74.09-86
РД 31.74.09-96РД 31.74.09-96РД 31.74.09-96РД 31.74.09-96РД 31.74.09-96РД 31.74.09-96РД 31.74.09-96РД 31.74.09-96РД 31.74.09-96РД 31.74.09-96РД 31.74.09-96РД 31.74.09-96РД 31.74.09-96РД 31.74.09-96РД 31.74.09-96РД 31.74.09-96РД 31.74.09-96РД 31.74.09-96РД 31.74.09-96РД 31.74.09-96РД 31.74.09-96РД 31.74.09-96РД 31.74.09-96РД 31.74.09-96РД 31.74.09-96РД 31.74.09-96РД 31.74.09-96РД 31.74.09-96РД 31.74.09-96РД 31.74.09-96РД 31.74.09-96РД 31.74.09-96РД 31.74.09-96РД 31.74.09-96РД 31.74.09-96РД 31.74.09-96РД 31.74.09-96РД 31.74.09-96РД 31.74.09-96РД 31.74.09-96РД 31.74.09-96РД 31.74.09-96РД 31.74.09-96РД 31.74.09-96РД 31.74.09-96РД 31.74.09-96РД 31.74.09-96РД 31.74.09-96РД 31.74.09-96РД 31.74.09-96РД 31.74.09-96РД 31.74.09-96РД 31.74.09-96РД 31.74.09-96РД 31.74.09-96РД 31.74.09-96РД 31.74.09-96РД 31.74.09-96РД 31.74.09-96РД 31.74.09-96РД 31.74.09-96РД 31.74.09-96РД 31.74.09-96РД 31.74.09-96РД 31.74.09-96РД 31.74.09-96РД 31.74.09-96РД 31.74.09-96РД 31.74.09-96РД 31.74.09-96РД 31.74.09-96РД 31.74.09-96РД 31.74.09-96РД 31.74.09-96РД 31.74.09-96РД 31.74.09-96РД 31.74.09-96РД 31.74.09-96РД 31.74.09-96РД 31.74.09-96РД 31.74.09-96РД 31.74.09-96РД 31.74.09-96РД 31.74.09-96РД 31.74.09-96РД 31.74.09-96РД 31.74.09-96РД 31.74.09-96РД 31.74.09-96РД 31.74.09-96РД 31.74.09-96РД 31.74.09-96РД 31.74.09-96РД 31.74.09-96РД 31.74.09-96РД 31.74.09-96РД 31.74.09-96РД 31.74.09-96РД 31.74.09-96РД 31.74.09-96РД 31.74.09-96РД 31.74.09-96РД 31.74.09-96РД 31.74.09-96РД 31.74.09-96РД 31.74.09-96РД 31.74.09-96РД 31.74.09-96РД 31.74.09-96РД 31.74.09-96РД 31.74.09-96РД 31.74.09-96РД 31.74.09-96РД 31.74.09-96РД 31.74.09-96РД 31.74.09-96РД 31.74.09-96РД 31.74.09-96РД 31.74.09-96РД 31.74.09-96РД 31.74.09-96РД 31.74.09-96РД 31.74.09-96РД 31.74.09-96РД 31.74.09-96РД 31.74.09-96РД 31.74.09-96РД 31.74.09-96РД 31.74.09-96РД 31.74.09-96РД 31.74.09-96РД 31.74.09-96РД 31.74.09-96РД 31.74.09-96РД 31.74.09-96РД 31.74.09-96РД 31.74.09-96РД 31.74.09-96РД 31.74.09-96РД 31.74.09-96РД 31.74.09-96РД 31.74.09-96РД 31.74.09-96РД 31.74.09-96РД 31.74.09-96РД 31.74.09-96РД 31.74.09-96РД 31.74.09-96РД 31.74.09-96РД 31.74.09-96РД 31.74.09-96РД 31.74.09-96РД 31.74.09-96РД 31.74.09-96РД 31.74.09-96РД 31.74.09-96РД 31.74.09-96РД 31.74.09-96РД 31.74.09-96РД 31.74.09-96РД 31.74.09-96РД 31.74.09-96РД 31.74.09-96РД 31.74.09-96РД 31.74.09-96РД 31.74.09-96РД 31.74.09-96РД 31.74.09-96РД 31.74.09-96РД 31.74.09-96РД 31.74.09-96РД 31.74.09-96РД 31.74.09-96РД 31.74.09-96РД 31.74.09-96РД 31.74.09-96

© 2013 Ёшкин Кот :-) Карта сайта