| ||||||||||||||||||||||||||
Скачать Руководство по применению фотограмметрических методов для составления обмерных чертежей инженерных сооруженийДата актуализации: 10.08.2017 |
| Статус: | не действует |
| Название рус.: | Руководство по применению фотограмметрических методов для составления обмерных чертежей инженерных сооружений |
| Название англ.: | Guide to Use of Photogrammetric Methods for Creating One-Dimensional Drawings of Engineering Structures |
| Дата добавления в базу: | 01.09.2013 |
| Дата актуализации: | 05.05.2017 |
| Область применения: | Руководство по применению фотограмметрических методов для составления обмерных чертежей инженерных сооружений разработано с целью установления единой технологии создания архитектурных планов инженерных сооружений и содержит рекомендации по составу и способу выполнения комплекса полевых и камеральных работ по наземной стереофотограмметрической (фототеодолитной) съемке. |
| Оглавление: | 1 Общие положения Общие требования к выполнению архитектурно-строительных обмеров Технологические варианты выполнения обмеров фотограмметрическим методом Приборы для полевых и камеральных работ Приборы для полевых работ Приборы для камеральных работ 2 Технические основы фототеодолитной съемки сооружений Основные понятия и определения Системы координат Элементы ориентирования Основные случаи съемки Основные формулы фототеодолитной съемки Точность фототеодолитной съемки 3 Составление технического проекта Выбор метода камеральной обработки снимков Составление технического проекта работ Подготовка инструментов и приборов 4 Полевые геодезические и фотосъемочные работы Рекогносцировка объектов съемки Выполнение полевых геодезических работ по обоснованию фототеодолитной съемки Фотосъемочные работы и их особенности в зависимости от методов камеральной фотограмметрической обработки и применяемых фотограмметрических приборов Фотосъемочные работы для составления фотопланов Фотосъемочные работы при обработке снимков на универсальных приборах Фотосъемочные работы при аналитической обработке снимков Порядок выполнения фотосъемочных работ 5 Камеральные фотограмметрические работы Составление фронтальных планов фототрансформирования Подготовительные работы Поверки и юстировки фототрансформаторов Подготовка основы и снимков Выбор сорта и определение деформации фотобумаги Методы фототрансформирования Дифференциальное фототрансформирование Дифференциальное фототрансформирование на щелевом фототрансформаторе ФТЩ Ортофототрансформирование с помощью ортофотопроектора ОФПД Дифференциальное трансформирование снимков с помощью фототрансформатора "ортофот" Фотограмметрические основы сгущения опорной геодезической сети Трансформирование снимков на наклонную плоскость Трансформирование по ступеням Трансформирование снимков по установочным элементам Многостадийное трансформирование Монтаж фронтальных фотопланов Получение графического плана на основе фронтального фотоплана, оформление плана Составление фронтальных планов на универсальных стереофотограмметрических приборах Общие сведения Подготовительные работы Обработка снимков на стереопроекторе Ориентирование снимков Внешнее ориентирование модели Составление фронтального плана Выполнение аналого-аналитических измерений Особенности обработки снимков на стереографе СД Установка снимков Обработка снимков на стереографе модели 1318EL Общие сведения Обработка снимков при помощи способа преобразования связок проектирующих лучей Обработка снимков на стереопланиграфе Особенности обработки снимков на стереометрографе Обработка снимков на топокарте Обработка снимков на технокарте Построение разрезов и профилей Составление панорамных чертежей Построение планов скульптур 6 Аналитический метод выполнения архитектурно-строительных измерений Общие положения Измерение снимков на стереокомпараторах Методика математической обработки снимков при различных случаях съемки Обработка снимков, полученных с базиса фотографирования, параллельного основной плоскости сооружения Обработка снимков при нормальном случае съемки и базисе фотографирования, непараллельном основной плоскости сооружения Аналитическая обработка снимков при общем случае съемки 7 Съемка моделей при проектировании сооружений Особенности съемки моделей Применяемые приборы Методы съемки и камеральной обработки Определение натурных размеров сооружений по измерениям моделей Определение деформаций моделей для выдачи исходных параметров при проектировании сооружений Точность метода 8 Оформление и контроль работ Виды продукции и их оформление Контроль работ Составление технической отчетности Приложение 1 Основные требования к фотограмметрическим приборам Приложение 2 Методы фотообработки и фотоматериалы Приложение 3 Алгоритм и программа обработки фототеодолитных снимков с известными координатами центров проекций снимков (FOTO-1) Приложение 4 Алгоритм и программа обработки архивных снимков с неизвестными элементами ориентирования Приложение 5 Образец оформления графического плана фасада |
| Разработан: | ПНИИИС Госстроя СССР (PNIIS, Gosstroy (USSR) ) Киевский государственный университет |
| Утверждён: | 01.01.1984 НТС ПНИИИС Госстроя СССР (PNIIIS NTS, USSR Gosstroy ) |
| Издан: | Стройиздат (1984 г. ) |
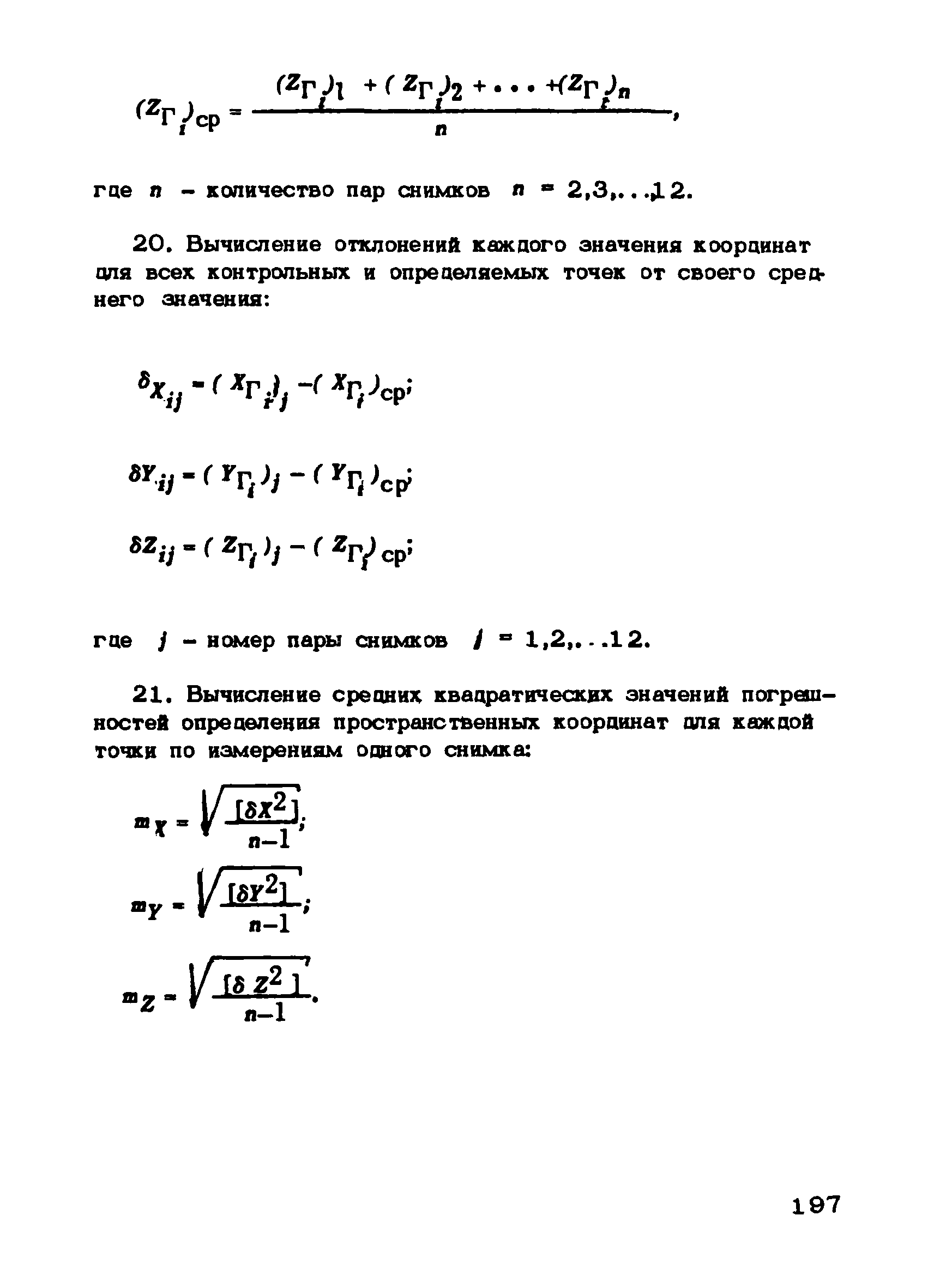
| Расположен в: |
























































































































































































































































































































