Информационная система
«Ёшкин Кот»

Скачать базу одним архивом
Скачать обновления
История создания базы
Карта сайта

Скачать Пособие к СНиП II-7-81 Пособие по проектированию каркасных промзданий для строительства в сейсмических районах

Дата актуализации: 10.08.2017

Пособие к СНиП II-7-81

Пособие по проектированию каркасных промзданий для строительства в сейсмических районах

Обозначение: Пособие к СНиП II-7-81
Обозначение англ: SNIP Handbook II-7-81
Статус:действует
Название рус.:Пособие по проектированию каркасных промзданий для строительства в сейсмических районах
Название англ.:Design Manual for Frame Factory and Industrial Buildings for Construction in Seismically-Active Areas
Дата добавления в базу:01.09.2013
Дата актуализации:05.05.2017
Область применения:Пособие содержит положения по проектированию одноэтажных и многоэтажных производственных зданий с железобетонным, стальным и смешанным каркасом, применяемыми в массовом промышленном строительстве в районах с сейсмичностью 7, 8 и 9 баллов. Приведены примеры для расчета зданий, отдельных конструкций.
Оглавление:Предисловие
1. Общие положения
2. Основные расчетные требования
3. Каркасные производственные здания. Общие положения
   Каркас одноэтажного здания. Общие положения
   Железобетонный каркас одноэтажного здания
   Стальной каркас многоэтажного здания. Общие положения
   Каркас многоэтажного здания. Общие положения
   Железобетонный каркас многоэтажного здания
   Стальной каркас одноэтажного здания
4. Фундаменты
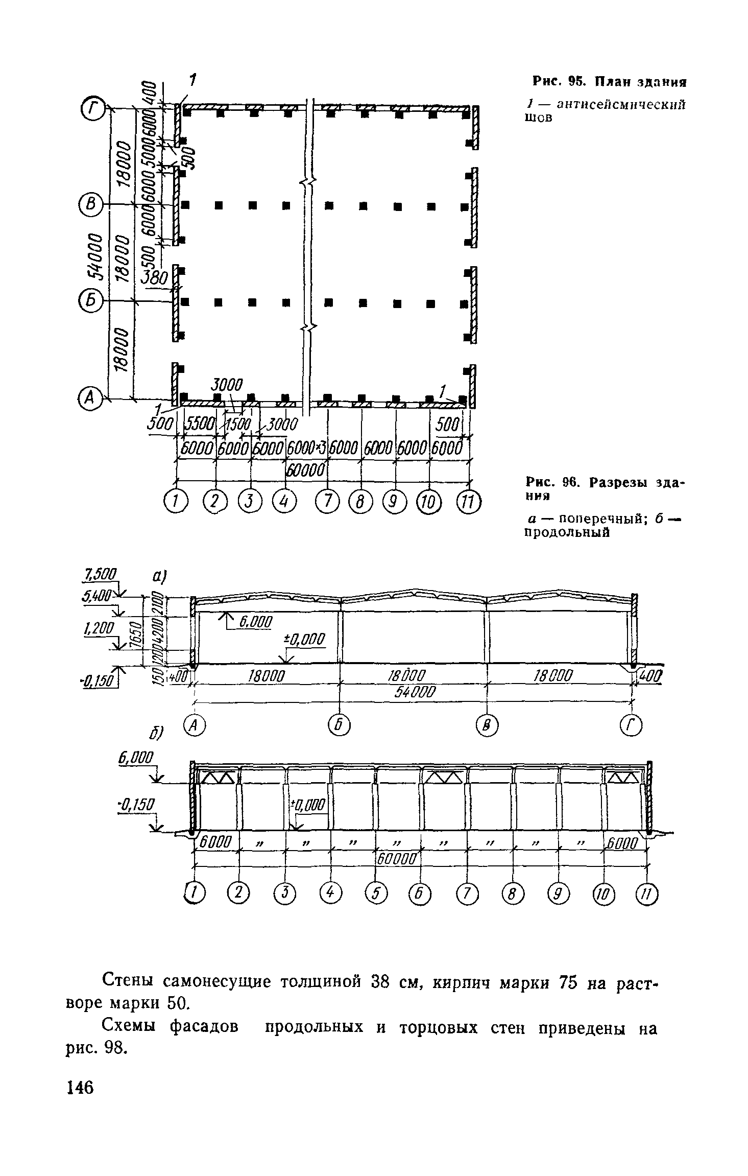
5. Стены. Общие положения
   Стены из бетонных панелей
   Металлические стены
   Стены из кирпича или каменной кладки
6. Перегородки
7. Лестницы, лифты
8. Железобетонные конструкции
Приложение 1. Примеры расчета
   Пример 1. Определение сейсмических нагрузок, действующих на железобетонный каркас одноэтажного бескранового здания
   Пример 2. Определение сейсмических нагрузок, действующих на железобетонный каркас одноэтажного здания, оборудованного мостовыми кранами
   Пример 3. Определение усилий в железобетонном каркасе многоэтажного здания от действия сейсмических нагрузок в поперечном направлении
   Пример 4. Расчет железобетонной фермы покрытия на особое сочетание нагрузок с учетом вертикальной сейсмической нагрузки
   Пример 5. Расчет жестких узлов железобетонной рамы многоэтажного здания
   Пример 6. Определение сейсмических нагрузок, действующих на стальной каркас одноэтажного здания
   Пример 7. Расчет связей покрытия одноэтажного здания на сейсмические нагрузки
   Пример 8. Расчет стальной стропильной фермы покрытия на особое сочетание нагрузок с учетом вертикальной сейсмической нагрузки
   Пример 9. Расчет самонесущей кирпичной стены
Приложение 2. Рекомендации по определению параметров железобетонных колонн одноэтажных промзданий
Разработан: НИИЖБ Госстроя СССР
ЦНИИСК им. В.А. Кучеренко
ЦНИИпромзданий
ЦНИИпроектстальконструкция Госстроя
Утверждён:28.02.1983 ЦНИИпромзданий Госстроя СССР (TsNIIpromzdaniy, USSR Gosstroy 22)
Издан: Стройиздат (1984 г. )
Расположен в:Техническая документация Экология СТРОИТЕЛЬНЫЕ МАТЕРИАЛЫ И СТРОИТЕЛЬСТВО Защита зданий снаружи и внутри Сейсмическая защита и защита от вибрации Конструкции зданий Конструкции зданий в целом Строительство Торговые и промышленные здания Строительство Справочные документы Справочные пособия к СНиП
Нормативные ссылки:
Пособие к СНиП II-7-81Пособие к СНиП II-7-81Пособие к СНиП II-7-81Пособие к СНиП II-7-81Пособие к СНиП II-7-81Пособие к СНиП II-7-81Пособие к СНиП II-7-81Пособие к СНиП II-7-81Пособие к СНиП II-7-81Пособие к СНиП II-7-81Пособие к СНиП II-7-81Пособие к СНиП II-7-81Пособие к СНиП II-7-81Пособие к СНиП II-7-81Пособие к СНиП II-7-81Пособие к СНиП II-7-81Пособие к СНиП II-7-81Пособие к СНиП II-7-81Пособие к СНиП II-7-81Пособие к СНиП II-7-81Пособие к СНиП II-7-81Пособие к СНиП II-7-81Пособие к СНиП II-7-81Пособие к СНиП II-7-81Пособие к СНиП II-7-81Пособие к СНиП II-7-81Пособие к СНиП II-7-81Пособие к СНиП II-7-81Пособие к СНиП II-7-81Пособие к СНиП II-7-81Пособие к СНиП II-7-81Пособие к СНиП II-7-81Пособие к СНиП II-7-81Пособие к СНиП II-7-81Пособие к СНиП II-7-81Пособие к СНиП II-7-81Пособие к СНиП II-7-81Пособие к СНиП II-7-81Пособие к СНиП II-7-81Пособие к СНиП II-7-81Пособие к СНиП II-7-81Пособие к СНиП II-7-81Пособие к СНиП II-7-81Пособие к СНиП II-7-81Пособие к СНиП II-7-81Пособие к СНиП II-7-81Пособие к СНиП II-7-81Пособие к СНиП II-7-81Пособие к СНиП II-7-81Пособие к СНиП II-7-81Пособие к СНиП II-7-81Пособие к СНиП II-7-81Пособие к СНиП II-7-81Пособие к СНиП II-7-81Пособие к СНиП II-7-81Пособие к СНиП II-7-81Пособие к СНиП II-7-81Пособие к СНиП II-7-81Пособие к СНиП II-7-81Пособие к СНиП II-7-81Пособие к СНиП II-7-81Пособие к СНиП II-7-81Пособие к СНиП II-7-81Пособие к СНиП II-7-81Пособие к СНиП II-7-81Пособие к СНиП II-7-81Пособие к СНиП II-7-81Пособие к СНиП II-7-81Пособие к СНиП II-7-81Пособие к СНиП II-7-81Пособие к СНиП II-7-81Пособие к СНиП II-7-81Пособие к СНиП II-7-81Пособие к СНиП II-7-81Пособие к СНиП II-7-81Пособие к СНиП II-7-81Пособие к СНиП II-7-81Пособие к СНиП II-7-81Пособие к СНиП II-7-81Пособие к СНиП II-7-81Пособие к СНиП II-7-81Пособие к СНиП II-7-81Пособие к СНиП II-7-81Пособие к СНиП II-7-81Пособие к СНиП II-7-81Пособие к СНиП II-7-81Пособие к СНиП II-7-81Пособие к СНиП II-7-81Пособие к СНиП II-7-81Пособие к СНиП II-7-81Пособие к СНиП II-7-81Пособие к СНиП II-7-81Пособие к СНиП II-7-81Пособие к СНиП II-7-81Пособие к СНиП II-7-81Пособие к СНиП II-7-81Пособие к СНиП II-7-81Пособие к СНиП II-7-81Пособие к СНиП II-7-81Пособие к СНиП II-7-81Пособие к СНиП II-7-81Пособие к СНиП II-7-81Пособие к СНиП II-7-81Пособие к СНиП II-7-81Пособие к СНиП II-7-81Пособие к СНиП II-7-81Пособие к СНиП II-7-81Пособие к СНиП II-7-81Пособие к СНиП II-7-81Пособие к СНиП II-7-81Пособие к СНиП II-7-81Пособие к СНиП II-7-81Пособие к СНиП II-7-81Пособие к СНиП II-7-81Пособие к СНиП II-7-81Пособие к СНиП II-7-81Пособие к СНиП II-7-81Пособие к СНиП II-7-81Пособие к СНиП II-7-81Пособие к СНиП II-7-81Пособие к СНиП II-7-81Пособие к СНиП II-7-81Пособие к СНиП II-7-81Пособие к СНиП II-7-81Пособие к СНиП II-7-81Пособие к СНиП II-7-81Пособие к СНиП II-7-81Пособие к СНиП II-7-81Пособие к СНиП II-7-81Пособие к СНиП II-7-81Пособие к СНиП II-7-81Пособие к СНиП II-7-81Пособие к СНиП II-7-81Пособие к СНиП II-7-81Пособие к СНиП II-7-81Пособие к СНиП II-7-81Пособие к СНиП II-7-81Пособие к СНиП II-7-81Пособие к СНиП II-7-81Пособие к СНиП II-7-81Пособие к СНиП II-7-81Пособие к СНиП II-7-81Пособие к СНиП II-7-81Пособие к СНиП II-7-81Пособие к СНиП II-7-81Пособие к СНиП II-7-81Пособие к СНиП II-7-81Пособие к СНиП II-7-81Пособие к СНиП II-7-81Пособие к СНиП II-7-81Пособие к СНиП II-7-81Пособие к СНиП II-7-81Пособие к СНиП II-7-81Пособие к СНиП II-7-81Пособие к СНиП II-7-81Пособие к СНиП II-7-81Пособие к СНиП II-7-81Пособие к СНиП II-7-81Пособие к СНиП II-7-81Пособие к СНиП II-7-81Пособие к СНиП II-7-81Пособие к СНиП II-7-81Пособие к СНиП II-7-81Пособие к СНиП II-7-81Пособие к СНиП II-7-81Пособие к СНиП II-7-81Пособие к СНиП II-7-81Пособие к СНиП II-7-81Пособие к СНиП II-7-81Пособие к СНиП II-7-81Пособие к СНиП II-7-81Пособие к СНиП II-7-81Пособие к СНиП II-7-81Пособие к СНиП II-7-81Пособие к СНиП II-7-81Пособие к СНиП II-7-81Пособие к СНиП II-7-81Пособие к СНиП II-7-81Пособие к СНиП II-7-81Пособие к СНиП II-7-81Пособие к СНиП II-7-81Пособие к СНиП II-7-81Пособие к СНиП II-7-81Пособие к СНиП II-7-81Пособие к СНиП II-7-81Пособие к СНиП II-7-81Пособие к СНиП II-7-81Пособие к СНиП II-7-81Пособие к СНиП II-7-81Пособие к СНиП II-7-81Пособие к СНиП II-7-81Пособие к СНиП II-7-81Пособие к СНиП II-7-81Пособие к СНиП II-7-81Пособие к СНиП II-7-81Пособие к СНиП II-7-81Пособие к СНиП II-7-81Пособие к СНиП II-7-81Пособие к СНиП II-7-81Пособие к СНиП II-7-81Пособие к СНиП II-7-81Пособие к СНиП II-7-81Пособие к СНиП II-7-81Пособие к СНиП II-7-81Пособие к СНиП II-7-81Пособие к СНиП II-7-81Пособие к СНиП II-7-81Пособие к СНиП II-7-81Пособие к СНиП II-7-81Пособие к СНиП II-7-81Пособие к СНиП II-7-81Пособие к СНиП II-7-81Пособие к СНиП II-7-81Пособие к СНиП II-7-81Пособие к СНиП II-7-81Пособие к СНиП II-7-81Пособие к СНиП II-7-81Пособие к СНиП II-7-81Пособие к СНиП II-7-81Пособие к СНиП II-7-81Пособие к СНиП II-7-81Пособие к СНиП II-7-81Пособие к СНиП II-7-81Пособие к СНиП II-7-81Пособие к СНиП II-7-81Пособие к СНиП II-7-81Пособие к СНиП II-7-81Пособие к СНиП II-7-81Пособие к СНиП II-7-81Пособие к СНиП II-7-81Пособие к СНиП II-7-81Пособие к СНиП II-7-81Пособие к СНиП II-7-81Пособие к СНиП II-7-81Пособие к СНиП II-7-81Пособие к СНиП II-7-81Пособие к СНиП II-7-81Пособие к СНиП II-7-81Пособие к СНиП II-7-81Пособие к СНиП II-7-81Пособие к СНиП II-7-81Пособие к СНиП II-7-81Пособие к СНиП II-7-81Пособие к СНиП II-7-81Пособие к СНиП II-7-81Пособие к СНиП II-7-81Пособие к СНиП II-7-81Пособие к СНиП II-7-81Пособие к СНиП II-7-81Пособие к СНиП II-7-81Пособие к СНиП II-7-81Пособие к СНиП II-7-81Пособие к СНиП II-7-81Пособие к СНиП II-7-81Пособие к СНиП II-7-81Пособие к СНиП II-7-81Пособие к СНиП II-7-81Пособие к СНиП II-7-81Пособие к СНиП II-7-81Пособие к СНиП II-7-81Пособие к СНиП II-7-81Пособие к СНиП II-7-81Пособие к СНиП II-7-81Пособие к СНиП II-7-81Пособие к СНиП II-7-81Пособие к СНиП II-7-81Пособие к СНиП II-7-81Пособие к СНиП II-7-81Пособие к СНиП II-7-81Пособие к СНиП II-7-81Пособие к СНиП II-7-81Пособие к СНиП II-7-81Пособие к СНиП II-7-81Пособие к СНиП II-7-81Пособие к СНиП II-7-81Пособие к СНиП II-7-81Пособие к СНиП II-7-81Пособие к СНиП II-7-81Пособие к СНиП II-7-81Пособие к СНиП II-7-81Пособие к СНиП II-7-81Пособие к СНиП II-7-81Пособие к СНиП II-7-81Пособие к СНиП II-7-81Пособие к СНиП II-7-81Пособие к СНиП II-7-81Пособие к СНиП II-7-81Пособие к СНиП II-7-81Пособие к СНиП II-7-81Пособие к СНиП II-7-81Пособие к СНиП II-7-81Пособие к СНиП II-7-81Пособие к СНиП II-7-81Пособие к СНиП II-7-81

© 2013 Ёшкин Кот :-) Карта сайта