Информационная система
«Ёшкин Кот»
Скачать базу одним архивом
Скачать обновления
История создания базы
Карта сайта
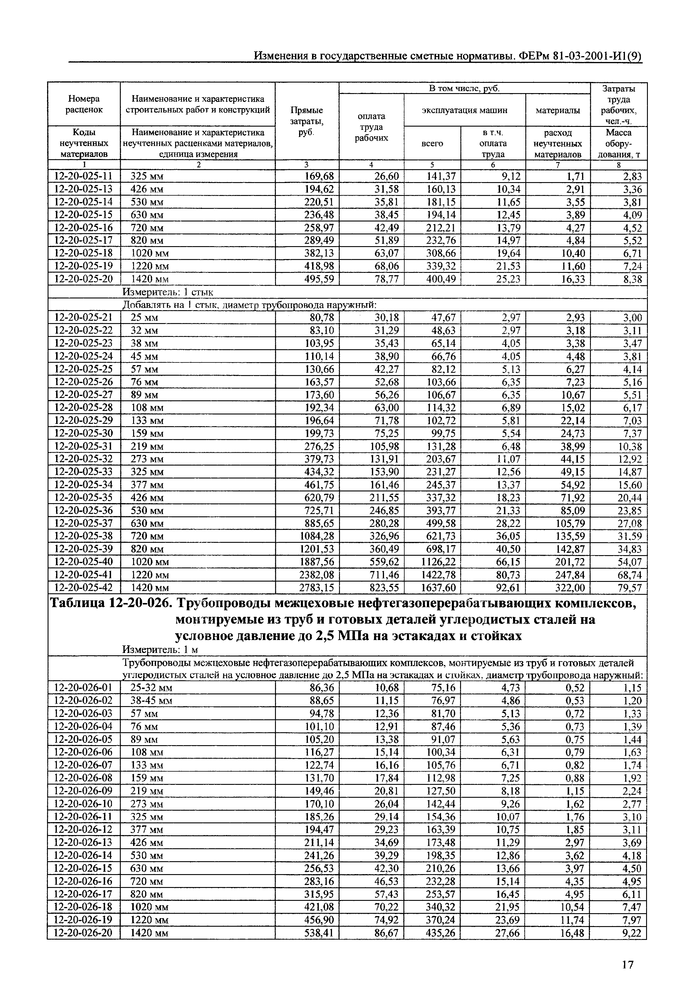
Скачать ФЕРм 2001 Федеральные единичные расценки на монтаж оборудования
Дата актуализации: 10.08.2017
ФЕРм 2001
Федеральные единичные расценки на монтаж оборудования
Обозначение:
ФЕРм 2001
Обозначение англ:
FERm 2001
Статус:
действует
Название рус.:
Федеральные единичные расценки на монтаж оборудования
Название англ.:
Federal Unit Prices for Equipment Installation
Дата добавления в базу:
01.09.2013
Дата актуализации:
05.05.2017
Дата введения:
10.08.2001
Разработан:
Федеральный центр ценообразования в строительстве и промышленности строительных материалов
Утверждён:
08.08.2001 Госстрой России
(Russian Federation Gosstroy 92)
Издан:
ИНПА
(2001 г. )
Росстрой
(2008 г. )
Расположен в:
Техническая документация
Экология
СТРОИТЕЛЬНЫЕ МАТЕРИАЛЫ И СТРОИТЕЛЬСТВО
Строительная промышленность
Стоимость строительства и обслуживания зданий и сооружений
-50 Стоимость строительных и строительно-монтажных работ
Строительство
Нормативные документы
Документы Системы нормативных документов в строительстве
Нормативные документы по экономике
к.81 Ценообразование и сметы
Классификатор ISO
Нормативные документы по экономике
Ценообразование и сметы
Список изменений:
№
(Росстрой, 2008 год (выпуск 2))
№ от 27.06.2006
(Росстрой, 2006 год (выпуск 1))
№ И2 от 21.12.2010
(ФГУ ФЦЦС, 2010 год)
№ И1 от 04.03.2010
(ФГУ ФЦЦС, 2010 год)
№ И3 от 25.07.2011
(ФГУ ФЦЦС, 2010 год)
№ И4 от 29.01.2012
(ФАУ ФЦЦС, 2012 год)
№ И5 от 29.06.2012
(ФАУ ФЦЦС, 2012 год)
№ 81-03-2001-И1(9) от 12.11.2014
(2015 год)
№ 81-03-2001-И2(10) от 11.12.2015
(2016 год)
Нормативные ссылки:
ФЕРм 2001-08 «Электротехнические установки. Федеральные единичные расценки на монтаж оборудования»
ФЕРм 2001-12 «Технологические трубопроводы. Федеральные единичные расценки на монтаж оборудования»
ФЕРм 2001-39 «Контроль монтажных сварных соединений. Федеральные единичные расценки на монтаж оборудования»
ФЕРм 2001-40 «Дополнительное перемещение оборудования и материальных ресурсов сверх предусмотренного в сборниках федеральных единичных расценок на монтаж оборудования. Федеральные единичные расценки на монтаж оборудования»
ФЕРм 2001-01 «Металлообрабатывающее оборудование. Федеральные единичные расценки на монтаж оборудования»
ФЕРм 2001-05 «Весовое оборудование. Федеральные единичные расценки на монтаж оборудования»
ФЕРм 2001-03 «Подъемно-транспортное оборудование. Федеральные единичные расценки на монтаж оборудования»
ФЕРм 2001-06 «Теплосиловое оборудование. Федеральные единичные расценки на монтаж оборудования»
ФЕРм 2001-07 «Компрессорные установки, насосы и вентиляторы. Федеральные единичные расценки на монтаж оборудования»
ФЕРм 2001-11 «Приборы, средства автоматизации и вычислительной техники. Федеральные единичные расценки на монтаж оборудования»
ФЕРм 2001-02 «Деревообрабатывающее оборудование. Федеральные единичные расценки на монтаж оборудования»
ФЕРм 2001-09 «Электрические печи. Федеральные единичные расценки на монтаж оборудования»
ФЕРм 2001-15 «Оборудование для очистки газов. Федеральные единичные расценки на монтаж оборудования»
ФЕРм 2001-23 «Оборудование предприятий электротехнической промышленности. Федеральные единичные расценки на монтаж оборудования»
ФЕРм 2001-26 «Оборудование предприятий текстильной промышленности. Федеральные единичные расценки на монтаж оборудования»
ФЕРм 2001-27 «Оборудование предприятий полиграфической промышленности. Федеральные единичные расценки на монтаж оборудования»
ФЕРм 2001-28 «Оборудование предприятий пищевой промышленности. Федеральные единичные расценки на монтаж оборудования»
ФЕРм 2001-29 «Оборудование театрально-зрелищных предприятий. Федеральные единичные расценки на монтаж оборудования»
ФЕРм 2001-30 «Оборудование зернохранилищ и предприятий по переработке зерна. Федеральные единичные расценки на монтаж оборудования»
ФЕРм 2001-31 «Оборудование предприятий кинематографии. Федеральные единичные расценки на монтаж оборудования»
ФЕРм 2001-34 «Оборудование учреждений здравоохранения и предприятий медицинской промышленности. Федеральные единичные расценки на монтаж оборудования»
ФЕРм 2001-35 «Оборудование сельскохозяйственных производств. Федеральные единичные расценки на монтаж оборудования»
ФЕРм 2001-10 «Оборудование связи. Федеральные единичные расценки на монтаж оборудования»
ФЕРм 2001-36 «Оборудование предприятий бытового обслуживания и коммунального хозяйства. Федеральные единичные расценки на монтаж оборудования»
ФЕРм 2001-37 «Оборудование общего назначения. Федеральные единичные расценки на монтаж оборудования»
ФЕРм 2001-38 «Изготовление технологических металлических конструкций в условиях производственных баз. Федеральные единичные расценки на монтаж оборудования»
ФЕРм 2001-24 «Оборудование предприятий промышленности строительных материалов. Федеральные единичные расценки на монтаж оборудования»
ФЕРм 2001-14 «Оборудование прокатных производств. Федеральные единичные расценки на монтаж оборудования»
ФЕРм 2001-16 «Оборудование предприятий черной металлургии. Федеральные единичные расценки на монтаж оборудования»
ФЕРм 2001-17 «Оборудование предприятий цветной металлургии. Федеральные единичные расценки на монтаж оборудования»
ФЕРм 2001-20 «Оборудование сигнализации, централизации, блокировки и контактной сети на железнодорожном транспорте. Выпуск 1. Федеральные единичные расценки на монтаж оборудования»
ФЕРм 2001-32 «Оборудование предприятий электронной промышленности и промышленности средств связи. Федеральные единичные расценки на монтаж оборудования»
ФЕРм 2001-33 «Оборудование предприятий легкой промышленности. Федеральные единичные расценки на монтаж оборудования»
ФЕРм 2001-04 «Дробильно-размольное, обогатительное и агломерационное оборудование. Федеральные единичные расценки на монтаж оборудования»
ФЕРм 2001-21 «Оборудование метрополитенов и тоннелей. Федеральные единичные расценки на монтаж оборудования»
ФЕРм 2001-22 «Оборудование гидроэлектрических станций и гидротехнических сооружений. Федеральные единичные расценки на монтаж оборудования»
ФЕРм 2001 «Общие положения. Федеральные единичные расценки на монтаж оборудования»
ФЕРм 2001 «Приложения. Федеральные единичные расценки на монтаж оборудования»
ФЕРм 2001-13 «Оборудование атомных электрических станций. Книга 1. Федеральные единичные расценки на монтаж оборудования»
ФЕРм 2001-18 «Оборудование предприятий химической и нефтеперерабатывающей промышленности. Федеральные единичные расценки на монтаж оборудования»
ФЕРм 2001-19 «Оборудование предприятий угольной и торфяной промышленности. Федеральные единичные расценки на монтаж оборудования»
ФЕРм 2001-25 «Оборудование предприятий целлюлозно-бумажной промышленности. Федеральные единичные расценки на монтаж оборудования»
ФЕРм 2001 «Общие положения (редакция 2009 г.). Общие положения. Федеральные единичные расценки на монтаж оборудования»
ФЕРм 2001 «Приложения (редакция 2009 г.). Приложения. Федеральные единичные расценки на монтаж оборудования»
Скачать ФЕРм 2001
Текстовое изменение №
Текстовое изменение № от 27.06.2006
Текстовое изменение № И2 от 21.12.2010
Текстовое изменение № И1 от 04.03.2010
Текстовое изменение № И3 от 25.07.2011
Текстовое изменение № И4 от 29.01.2012
Текстовое изменение № И5 от 29.06.2012
Текстовое изменение № 81-03-2001-И1(9) от 12.11.2014
Текстовое изменение № 81-03-2001-И2(10) от 11.12.2015
© 2013 Ёшкин Кот :-)
Карта сайта