| ||||||||||||||||||||||||||||||||||||
Скачать ВСН 47-96 Ведомственные строительные нормы по проектированию и монтажу внутренних систем водоснабжения из полипропиленовых труб Рандом сополимер (PPRC)Дата актуализации: 10.08.2017
|
| Обозначение: | ВСН 47-96 |
| Обозначение англ: | VSN 47-96 |
| Статус: | действует |
| Название рус.: | Ведомственные строительные нормы по проектированию и монтажу внутренних систем водоснабжения из полипропиленовых труб "Рандом сополимер" (PPRC) |
| Название англ.: | Industry-Specific Building Code for the Design and Installation of Domestic Water Supply Systems Made of Polypropylene Random Copolymer (PPRC) Pipes |
| Дата добавления в базу: | 01.09.2013 |
| Дата актуализации: | 05.05.2017 |
| Дата введения: | 01.08.1996 |
| Область применения: | Нормы распространяются на опытное строительство внутренних систем холодного и горячего водоснабжения (температура до 75 градусов Цельсия) жилых и гражданских зданий в г. Москве из напорных полипропиленовых труб "Рандом сополимер" (PPRC). |
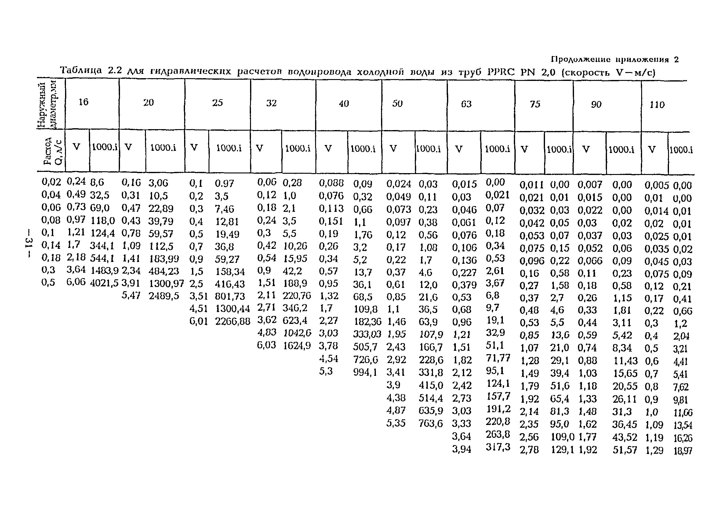
| Оглавление: | 1 Общие положения 2 Проектирование внутреннего водопровода зданий из труб PPRC 3 Транспортировка и хранение труб и деталей из PPRC 4 Монтаж водопроводов из PPRC 5 Требования безопасности Приложение 1 Перечень соединительных деталей из PPRC, комбинированных и латунных деталей к трубам из PPRC Приложение 2 Таблицы для гидравлических расчетов водопровода Приложение 3 Перечень специальных инструментов для монтажа водопроводов из труб PPRC |
| Разработан: | Мосстройлицензия НИИМосстрой Департамента строительства |
| Утверждён: | 20.06.1996 Управление развития Генплана г. Москвы (Genplan Development Administration, City of Moscow ) |
| Принят: | АО Моспроект (Mosproject AO ) Техническое управление АО ХК Главмосстрой (Technical Department, Glavmosstroy KhK AO ) МОЭТЗК (MOETZK ) НПО Стройполимер (Stroypolimer NPO ) |
| Издан: | Ротапринт Мосоргстроя (1996 г. ) |
| Расположен в: | |
| Нормативные ссылки: |
|




































