| ||||||||||||||||||||||||||||||||||||
Скачать ФЕР 2001-11 Полы. Федеральные единичные расценки на строительные работыДата актуализации: 10.08.2017
|
| Обозначение: | ФЕР 2001-11 |
| Обозначение англ: | FER 2001-11 |
| Статус: | действует |
| Название рус.: | Полы. Федеральные единичные расценки на строительные работы |
| Название англ.: | Floor Assemblies |
| Дата добавления в базу: | 01.09.2013 |
| Дата актуализации: | 05.05.2017 |
| Дата введения: | 01.03.2001 |
| Область применения: | Федеральные единичные расценки предназначены для определения стоимости выполнения полного комплекта основных, вспомогательных и сопутствующих работ, необходимых для устройства основных видов полов и составления сметных расчетов (смет), а также для расчетов за выполненные работы. Сборник содержит единичные расценки на устройство основных видов полов, удовлетворяющих как общим требованиям, так и специальным условиям в промышленных зданиях и сооружениях (кислотность, жаростойкость и т.п.). |
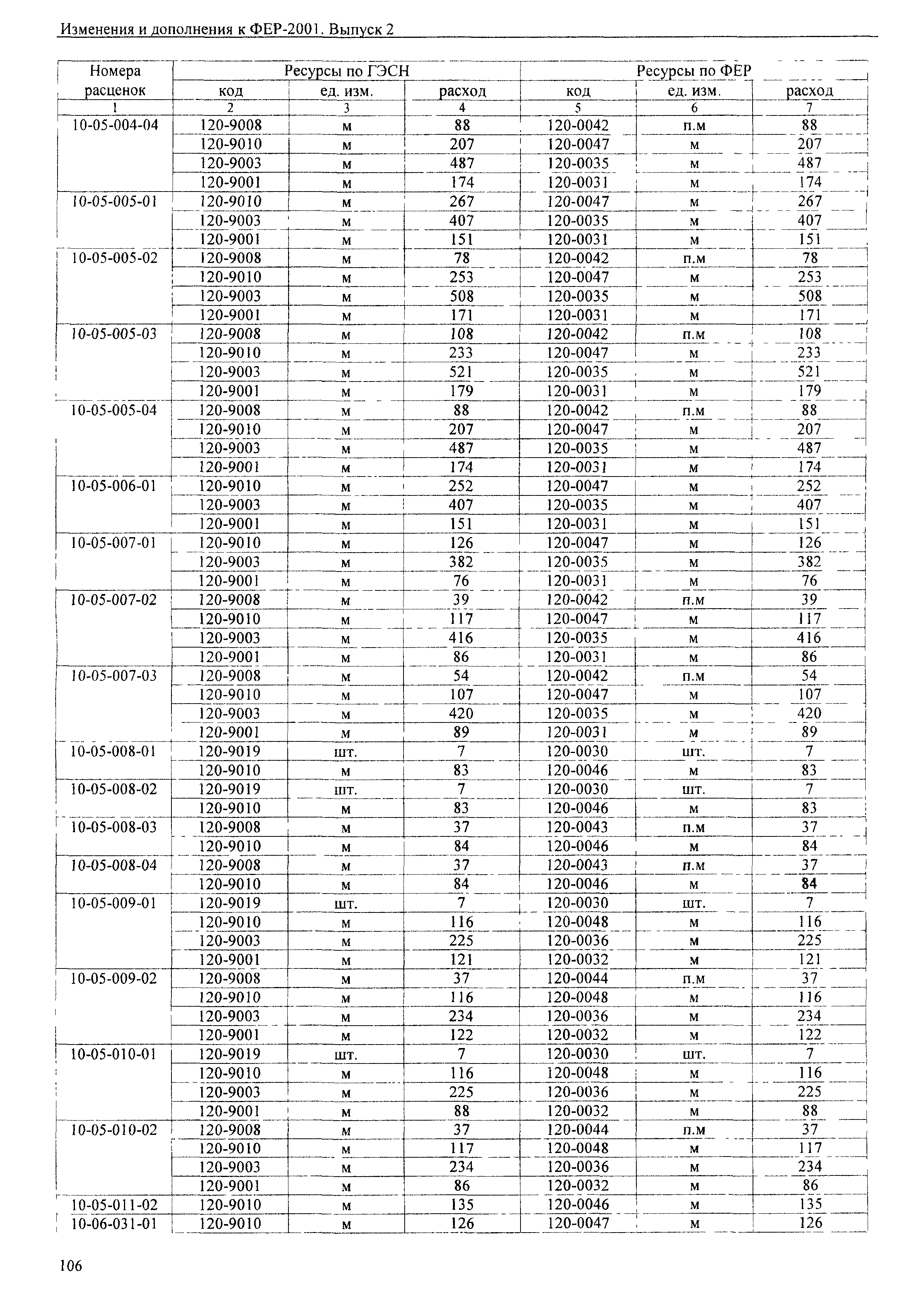
| Оглавление: | Техническая часть 1 Общие указания 2 Правила исчисления объемов работ 3 Коэффициенты к единичным расценкам Уплотнение грунта Устройство подстилающих слоев Устройство уплотняемых самоходными катками подстилающих слоев Устройство гидроизоляции Устройство гидроизоляции из полиэтиленовой пленки на бутилкаучуковом клее, с защитой рубероидом Устройство гидроизоляции полимерцементным составом толщиной слоя 30 мм Затирка поверхности гидроизоляции песком Устройство тепло- и звукоизоляции засыпной Устройство тепло- и звукоизоляции сплошной Устройство тепло- и звукоизоляции ленточной из плит древесноволокнистых под лаги Устройство стяжек Укладка лаг Устройство покрытий земляных и щебеночных Устройство полов бетонных, выполняемых методом вакуумирования Устройство покрытий бетонных, цементобетонных и металлоцементных Устройство покрытий из бетона кислотоупорного и жароупорного Устройство покрытий мозаичных ("Брекчия" и терраццо) Установка жилок Устройство покрытий асфальтобетонных Устройство покрытий ксилолитовых и поливинилацетатных Устройство покрытий полимерцементных Устройство покрытий поливинилацетатно-цементобетонных толщиной 20 мм Устройство покрытий бесшовных толщиной 5 мм Устройство покрытий толщиной 10 мм из полимерраствора на основе смолы ФАЭД-8 Устройство покрытий из брусчатки и камня булыжного Устройство покрытий из кирпича кислотоупорного на эпоксидно-фурановой замазке Устройство покрытий на цементном растворе из плиток Устройство покрытий на битумной мастике из плиток Устройство покрытий из чугунных плит Устройство покрытий из стальных штампованных перфорированных плит на прослойке из бетона Устройство покрытий из плит мраморных и гранитных Устройство покрытий из торцовой шашки на прослойке из мастики и песка Устройство покрытий дощатых и из брусков Устройство покрытий из паркетных досок Устройство покрытий из щитов паркетных, деревянных реечных и из плит древесноволокнистых и древесностружечных Устройство покрытий из линолеума Устройство покрытий из релина и ковровых покрытий Устройство покрытий из плиток поливинилхлоридных Устройство плинтусов деревянных, цементных, из террацевого раствора и из плиток керамических Устройство плинтусов поливинилхлоридных Установка плинтусов из мраморных плит Устройство плинтусов из кислотоупорного кирпича при укладке на ребро на эпоксидно-фурановой замазке Укладка лаг и подкладок под обогреваемые полы над холодными (проветриваемыми) подпольями зданий, сооружаемых в северной климатической зоне Приложение Сборник сметных расценок на эксплуатацию строительных машин и сметных цен на материалы, изделия и конструкция В базисных ценах московской области по состоянию на 01.01.2000 Эксплуатация строительных машин Сметные цены на материальные ресурсы |
| Разработан: | Федеральный центр ценообразования в строительстве и промышленности строительных материалов |
| Утверждён: | 22.02.2001 Госстрой России (Russian Federation Gosstroy 12) |
| Издан: | ООО Тандем (2001 г. ) Росстрой (2008 г. ) |
| Расположен в: | |
| Список изменений: |
|
| Нормативные ссылки: |
|
Текстовое изменение № от 22.06.2006












Текстовое изменение № от 03.07.2007


























Текстовое изменение № от 08.04.2008




