| ||||||||||||||||||||||||||||||||||||
Скачать ОНТП 01-91 Общесоюзные нормы технологического проектирования предприятий автомобильного транспортаДата актуализации: 10.08.2017
|
| Обозначение: | ОНТП 01-91 |
| Обозначение англ: | ONTP 01-91 |
| Статус: | действует |
| Название рус.: | Общесоюзные нормы технологического проектирования предприятий автомобильного транспорта |
| Название англ.: | National Engineering Design Standards for Motor Vehicle Transportation Facilities |
| Дата добавления в базу: | 01.09.2013 |
| Дата актуализации: | 05.05.2017 |
| Область применения: | Общесоюзные нормы технологического проектирования предприятий автомобильного транспорта следует соблюдать при разработке технологических решений проектов на строительство новых, реконструкцию и расширение и техническое перевооружение действующих предприятий зданий и сооружений, предназначенных для организации межсменного хранения, технического обслуживания (ТО) и текущего ремонта (ТР) подвижного состава, включая автомобили с двигателями, работающими на бензине, дизельном топливе, сжиженном нефтяном (СНГ) и сжатом природном газе (СПГ). Нормы должны соблюдаться на всех стадиях проектирования, а также при разработке предпроектных материалов. |
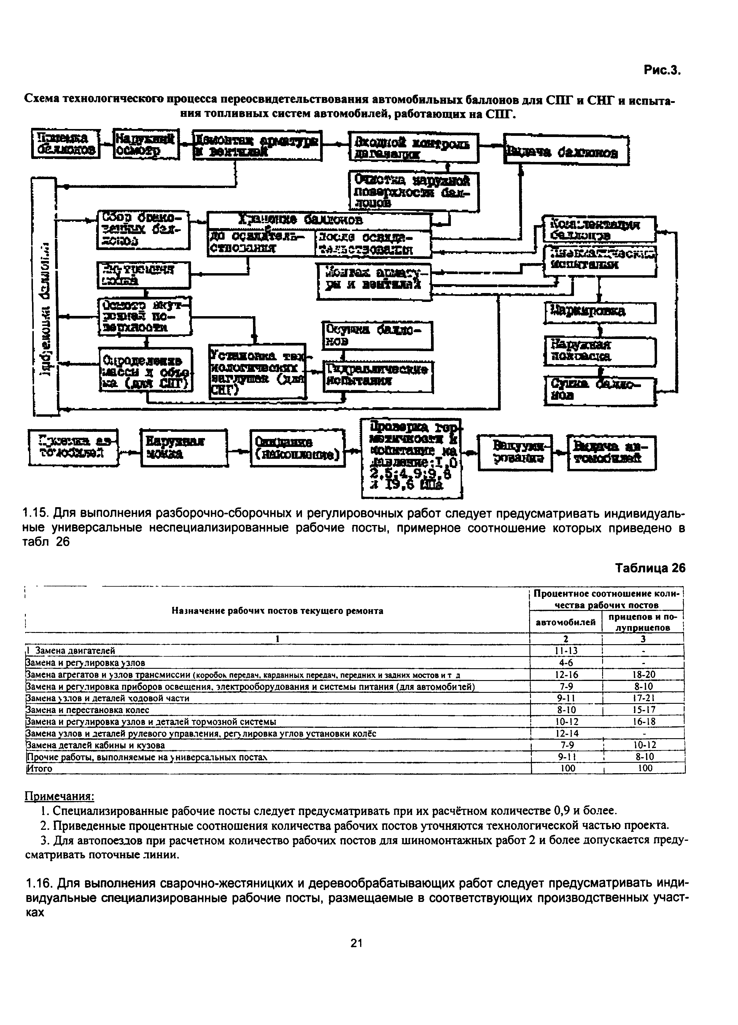
| Оглавление: | 1. Автотранспортные предприятия, эксплуатационные и производственные филиалы АТП, производственно-технические комбинаты, базы технического обслуживания, централизованные специализированные производства Параметрический ряд предприятий Режим работы подвижного состава, основного и вспомогательного оборудования (сменность работы) Расчетные нормативы периодичности и трудоемкости ТО ТР подвижного состава, численность работающих Основные положения организации труда, прогрессивные технологические процессы и оборудование Нормы расчета площади производственных и складских помещений и сооружений Уровень механизации и автоматизации производственных процессов ТО и ТР, удельный вес рабочих, занятых ручным трудом в АТП Нормы расхода воды, электроэнергии, тепла, сжатого воздуха, эксплуатационных материалов, запасных частей Утилизация попутных материалов и вторичных ресурсов 2. Станции технического обслуживания легковых автомобилей и гаражи-стоянки индивидуальных владельцев Параметрический ряд предприятий Режим работы производства (сменность работы) Производительность труда и трудоемкость ТО и ТР, численность работающих Основные положения организации ТО и ТР легковых автомобилей, принадлежащих гражданам. Прогрессивные технологические процессы и оборудование Уровень механизации и автоматизации производственных процессов ТО и ТР, удельный вес рабочих, занятых ручным трудом Нормы расхода воды, тепла, сжатого воздуха, установленной мощности электроэнергии Утилизация попутных материалов и вторичных ресурсов 3. Грузовые автостанции и терминалы Параметрический ряд предприятий Режим работы производства (сменность работы) Производительность труда и численность работающих Нормы расчета площади складирования и переработка грузов полуприцепов, постов ТО и ТР, мест хранения автопоездов Потребность в основных подъемно-транспортных машинах и оборудовании Нормы расхода воды, тепла, сжатого воздуха, установленной мощности токоприемников Уровень механизации и автоматизации производств, удельный вес рабочих, занятых ручным трудом Приложение 1. Технологически совместимые группы подвижного состава при ТО и ТР Приложение 2. Нормы размещения подвижного состава и оборудования Приложение 3. Фонды времени работы автомобилей, оборудования и производственного персонала Приложение 4. (Обязательное). Специальные требования технологического процесса к зданиям, сооружениям, оборудованию Приложение 5. Охрана окружающей среды |
| Разработан: | Гипроавтотранс |
| Утверждён: | 07.08.1991 Концерн Росавтотранс (Rosavtotrans Concern 3) |
| Принят: | 21.05.1991 Госстрой СССР (Государственный комитет Совета Министров СССР по делам строительства) (USSR Gosstroy 8/8-8) 01.10.1990 Минздрав СССР (USSR Minzdrav 142-12/1248) 17.10.1990 ГУПО МВД СССР (GUPO, USSR Ministry of Internal Affairs 7/6/1205) 17.05.1990 ЦК профсоюза рабочих автомобильного транспорта и шоссейных дорог (Central Committee of the Labor Union of Automotive Transport and Highway Workers ОТ-290) 10.10.1990 Госкомприроды СССР (USSR Goskomprirody 09-2-8/1365) |
| Издан: | Росавтотранс (1991 г. ) |
| Расположен в: | |
| Заменяет собой: |
|
| Нормативные ссылки: |
|











































































