| ||||||||||||||||||||||||||||||||||||
Скачать ГОСТ 25347-82 Основные нормы взаимозаменяемости. Единая система допусков и посадок. Поля допусков и рекомендуемые посадкиДата актуализации: 10.08.2017
|
| Обозначение: | ГОСТ 25347-82 |
| Обозначение англ: | GOST 25347-82 |
| Статус: | частично действует |
| Название рус.: | Основные нормы взаимозаменяемости. Единая система допусков и посадок. Поля допусков и рекомендуемые посадки |
| Название англ.: | Basic norms of interchangeability. Unified system of tolerances and fits. Tolerance zones and recommendalle fits |
| Дата добавления в базу: | 01.09.2013 |
| Дата актуализации: | 05.05.2017 |
| Дата введения: | 01.03.2016 |
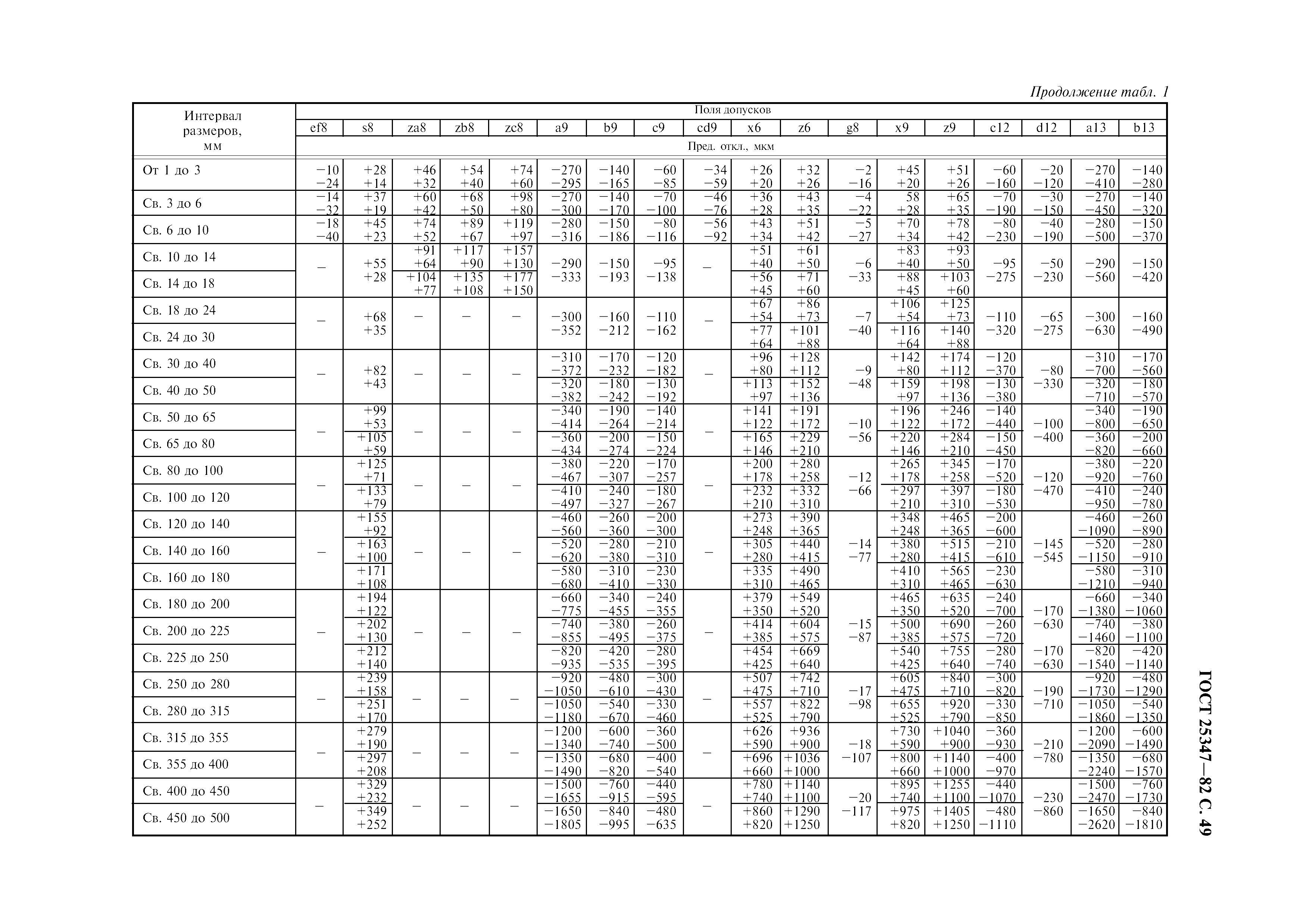
| Область применения: | Стандарт распространяется на гладкие элементы деталей с номинальными размерами до 3150 мм и устанавливает поля допусков для гладких деталей в посадках и для несопрягаемых элементов |
| Оглавление: | 1 Общие положения 2 Поля допусков при номинальных размерах менее 1 мм 3 Поля допусков при номинальных размерах от 1 до 500 мм 4 Поля допусков при номинальных размерах свыше 500 до 3150 мм Приложение 1 (рекомендуемое) Рекомендуемые посадки Приложение 2 (рекомендуемое) Рекомендуемые поля допусков валов и отверстий в интервалах номинальных размеров менее 1 мм Приложение 3 (обязательное) Дополнительные поля допусков при номинальных размерах от 1 до 500 мм |
| Разработан: | Министерство станкостроительной и инструментальной промышленности СССР |
| Утверждён: | 21.07.1982 Государственный комитет СССР по стандартам (USSR National Committee on Standards 2764) |
| Издан: | Издательство стандартов (1982 г. ) ИПК Издательство стандартов (2002 г. ) |
| Расположен в: | |
| Чем заменён: | |
| Нормативные ссылки: |





















































