| ||||||||||||||||||||||||||||||||||
Скачать МУК 4.1.0.406-96 Измерение концентраций п-аминобензойной кислоты методом ВЭЖХ в воздухе рабочей зоныДата актуализации: 10.08.2017
|
| Обозначение: | МУК 4.1.0.406-96 |
| Обозначение англ: | MUK 4.1.0.406-96 |
| Статус: | введен впервые |
| Название рус.: | Измерение концентраций п-аминобензойной кислоты методом ВЭЖХ в воздухе рабочей зоны |
| Название англ.: | Measurement of Pollutant Concentration in Workplace Air - Compilation of Guidelines MUK 4.1.0.341-4.1.0.405-96, Volume 32 |
| Дата добавления в базу: | 01.09.2013 |
| Дата актуализации: | 05.05.2017 |
| Дата введения: | 08.06.1996 |
| Область применения: | Методические указания разработаны с целью обеспечения контроля соответствия фактических концентраций вредных веществ их предельно допустимым концентрациям и ориентировочно безопасным уровням воздействия санитарно-гигиеническим нормативам и являются обязательными при осуществлении санитарного контроля. Методические указания предназначены для центров госсанэпиднадзора, санитарных лабораторий промышленных предприятий при осуществлении контроля за содержанием вредных веществ в воздухе рабочей зоны, а также заинтересованных министерств и ведомств. |
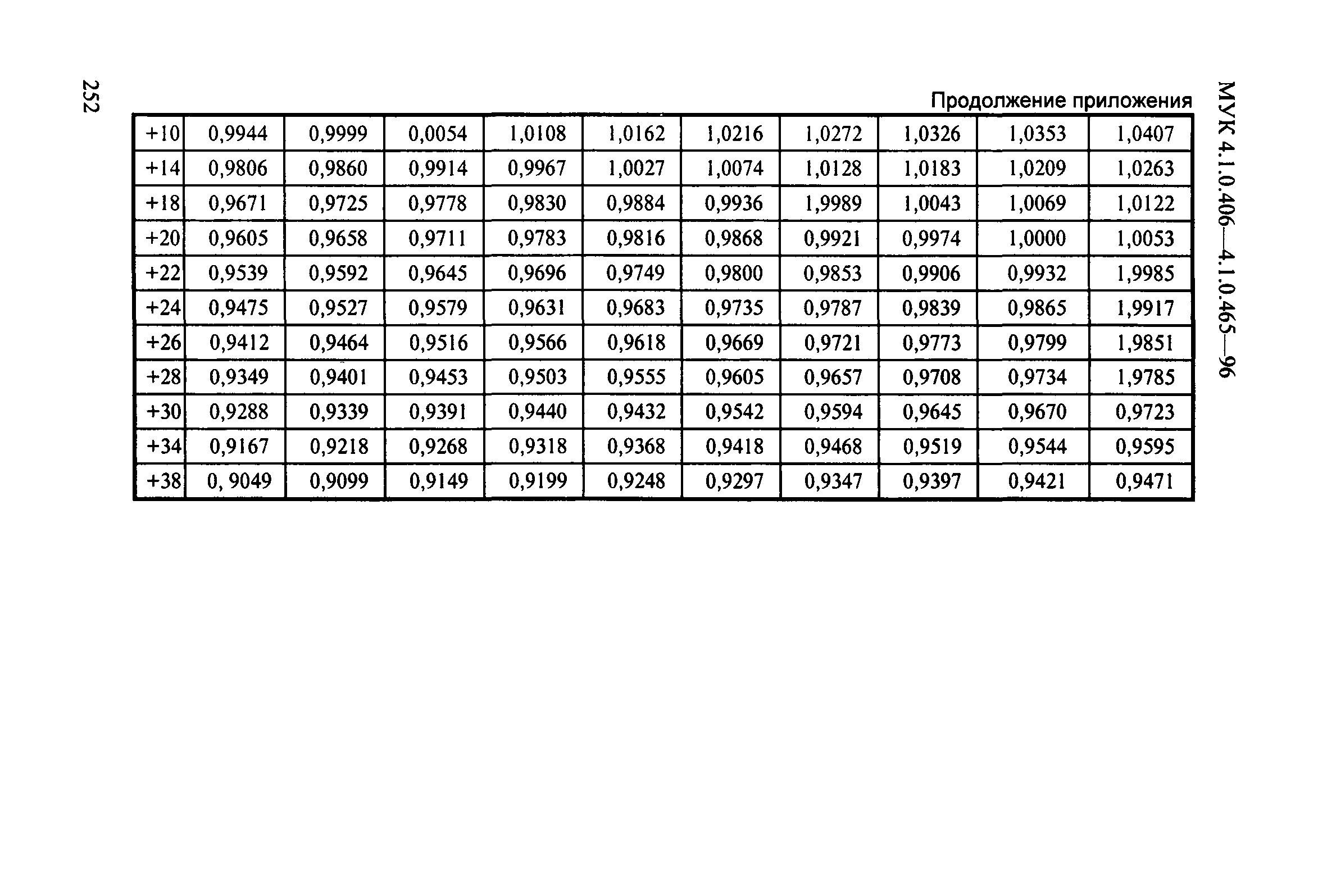
| Оглавление: | Характеристика метода Приборы, аппаратура, посуда Реактивы, растворы, материалы Отбор пробы воздуха Подготовка к измерению Проведение измерения Расчет концентраций Приложение 1. Приведение объема воздуха к стандартным условиям Приложение 2. Коэффициенты для приведения объема воздуха к стандартным условиям Приложение 3 Приложение 4. Вещества, определяемые по ранее утвержденным методическим указаниям |
| Разработан: | Федеральный центр госсанэпиднадзора Минздрава России НИИОПиК |
| Утверждён: | 08.06.1996 Главный государственный санитарный врач РФ (Russian Federation Chief Public Health Officer ) |
| Издан: | Федеральный центр Госсанэпиднадзора Минздрава России (2000 г. ) |
| Расположен в: | |
| Нормативные ссылки: |
|
















