| ||||||||||||||||||||||||||||||||||||
Скачать ГОСТ 26381-84 Поддоны плоские одноразового использования. Общие технические условияДата актуализации: 10.08.2017
|
| Обозначение: | ГОСТ 26381-84 |
| Обозначение англ: | GOST 26381-84 |
| Статус: | введен впервые |
| Название рус.: | Поддоны плоские одноразового использования. Общие технические условия |
| Название англ.: | Disposabl flat pallets. General specifications |
| Дата добавления в базу: | 01.09.2013 |
| Дата актуализации: | 05.05.2017 |
| Дата введения: | 01.01.1986 |
| Область применения: | Стандарт распространяется на поддоны плоские деревянные одноразового использования размерами в плане 800х1200 и 1000х1200 мм, предназначенные для формирования транспортных пакетов при доставке последних в районы или страны, из которых возврат поддонов нецелесообразен. Поддоны применяются при выполнении механизированных процессов перемещения, складирования и перевозки автомобильным, железнодорожным и водным транспортом. Стандарт не распространяется на поддоны специального назначения и применяемые при доставке пакетов в страны с тропическим климатом. |
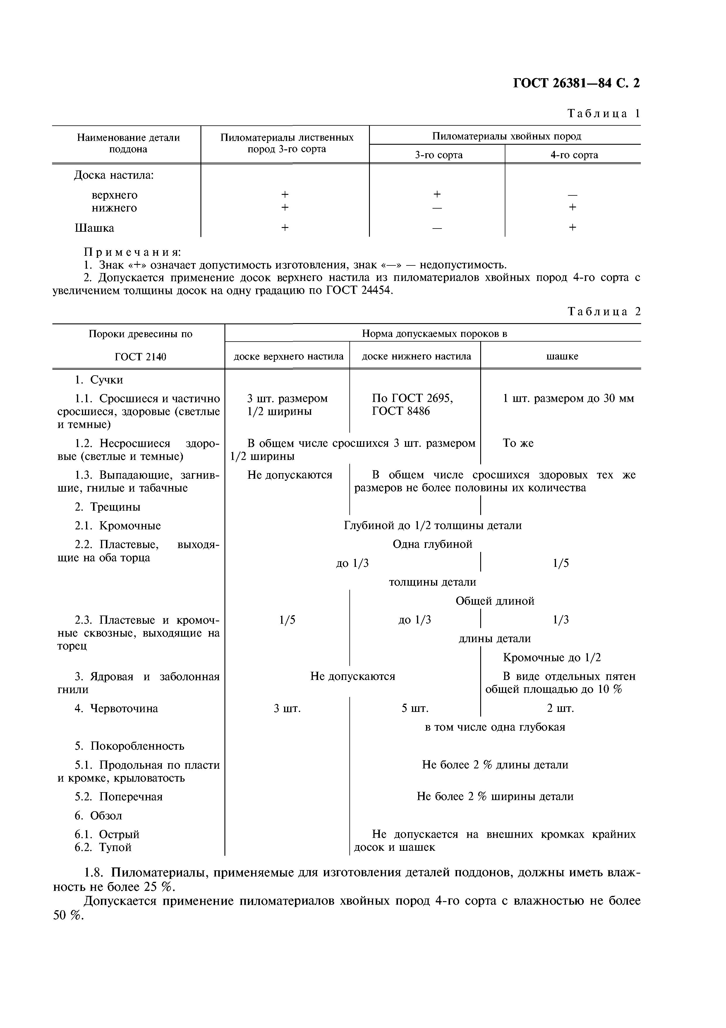
| Оглавление: | 1 Технические требования 2 (Исключен Изм. № 1) 3 Основные параметры и размеры 4 Приемка 5 Методы контроля 6 Транспортирование и хранение 7 Указания по эксплуатации 8 Гарантии изготовителя Приложение (рекомендуемое) Схемы испытания поддонов на устойчивость к механическим воздействиям |
| Разработан: | НТЦ Мясомолпром при ВАСХНИЛ |
| Утверждён: | 20.12.1984 Государственный комитет СССР по стандартам (USSR National Committee on Standards 478) |
| Издан: | Издательство стандартов (1984 г. ) Издательство стандартов (1994 г. ) Издательство стандартов (1985 г. ) ИПК Издательство стандартов (2004 г. ) |
| Расположен в: | |
| Список изменений: |
|
| Нормативные ссылки: |
|








Текстовое изменение № 1 от 01.01.1991


