| ||||||||||||||||||||||||||||||
Скачать Общая инструкция по строительству линейных сооружений городских телефонных сетейДата актуализации: 10.08.2017 |
| Статус: | заменен |
| Название рус.: | Общая инструкция по строительству линейных сооружений городских телефонных сетей |
| Название англ.: | General Guidelines for the Construction of Line Facilities of Municipal Telephone Networks |
| Дата добавления в базу: | 01.09.2013 |
| Дата актуализации: | 05.05.2017 |
| Дата введения: | 21.12.1995 |
| Область применения: | Инструкция содержит в полном комплексе указания по технологии и организации строительства линейных сооружений ГТС, обязательные для всех организаций, осуществляющих строительство, проектирование и эксплуатацию таких сооружений. Предназначена для инженерно-технических работников, занимающихся строительством линейных сооружений ГТС. |
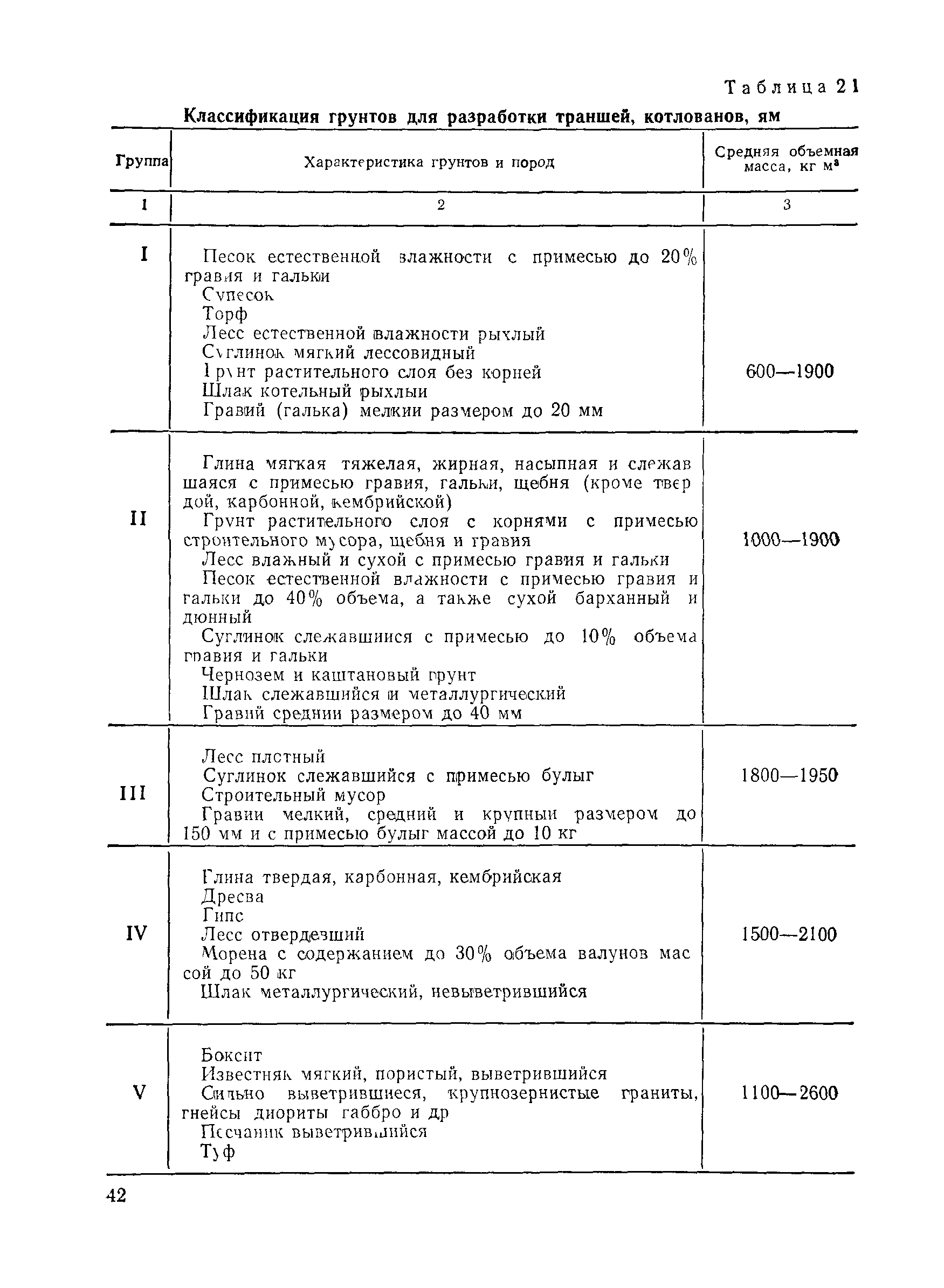
| Оглавление: | Глава 1 Организация строительства линейных сооружений городских телефонных сетей 1.1 Организационная структура руководства строительно-монтажными работами 1 2 Обязанности заказчиков строительства и подрядных организаций 1.3 Организация прорабского участка 1.4 Основные обязанности линейных инженерно-технических работников прорабского участка 1.5 Особенности строительства линейных сооружений городских телефонных сетей 1.6 Проектная документация 1.7 Продолжительность строительства 1.8 Изучение района строительства и условий производства работ 1.9 Проект производства работ (ППР) 1.10 Материально-техническое снабжение прорабского участка 1.11 Подготовка механизмов 1.12 Подготовка автотранспорта 1.13 Определение потребности в рабочей силе и источников ее покрытия 1.14 Обеспечение инструментом, инвентарем и приспособлениями 1.15 Подготовка измерительной, испытательной и проверочной аппаратуры 1.16 Разработка мероприятий по сдаче в эксплуатацию строящихся линейных сооружений и подготовке их к вводу в действие 1.17 Оперативное управление и контроль по сетевым графикам 1.18 Контроль качества 1.19 Формы оплаты труда 1 20 Бригадный хозяйственный расчет 1.21 Журналы работ и учета их выполнения 1.22 Техника безопасности и охрана труда на строительстве линейных сооружений ГТС Глава 2 Земляные работы 2.1 Общие положения 2.2 Разбивка трасс 2.3 Ограждение участков производства земляных работ 2.4 Вскрытие уличных покровов 2.5 Разработка грунта 2.6 Крепление стен траншей и котлованов 2.7 Засыпка траншей и котлованов 2.8 Отвозка грунта 2.9 Укрепление откосов на трассах прокладки канализации и кабеля 2.10 Устройство горизонтальных скважин Глава 3 Строительство подземной кабельной канализации связи 3.1 Общие положения 3.2 Форма и размеры труб и блоков 3.3 Подготовка и организация работ по прокладке трубопровода 3.4 Прокладка асбестоцементных труб 3.5 Прокладка бетонных труб 3.6 Прокладка полиэтиленовых труб 3.7 Прокладка поливинилхлоридных (винилитовых) труб 3.8 Прокладка трубопроводов на переходах через мосты 3.9 Проверка проходимости каналов кабельной канализации 3.10 Смотровые устройства. Общая часть 3.11 Основные материалы для строительства колодцев кабельной канализации 3.12 Типовые железобетонные колодцы 3.13 Типовые кирпичные колодцы 3.14 Нетиповые (специальные) колодцы 3.15 Оборудование колодцев 3.16 Коллекторы 3.17 Станционные кабельные шахты, приямки и другие вводные устройства 3.18 Установка кабельных распределительных шкафов 3.19 Применение средств механизации и транспорта на строительстве кабельной канализации Глава 4 Прокладка кабелей в подземной кабельной канализации, коллекторах, тоннелях и по мостам 4.1 Проверка кабеля перед прокладкой и распределение строительной длины кабеля по пролетам канализации 4.2 Подготовка канализации к прокладке кабеля 4 3 Выкладка кабелей в смотровых устройствах 4.4 Прокладка кабелей в тоннелях и коллекторах 4.5 Прокладка кабеля по мостам 4.6 Вытягивание кабеля из канализации Глава 5 Прокладка кабелей городской телефонной сети в грунте 5.1 Общие положения 5.2 Прокладка кабелей Глава 6 Прокладка подводных кабелей городских телефонных сетей 6.1 Общие положения 6.2 Строительство береговых сооружений подводных кабельных переходов 6.3 Прокладка кабеля на подводном переходе 6.4 Приемка выполненных работ Глава 7 Устройство столбовых линий связи с подвеской кабелей и проводов 7.1 Общие положения 7.2 Конструкции столбовых опор 7.3 Разбивка трассы столбовой линии 7.4 Оснастка опор 7.5 Рытье ям 7.6 Консервация опор 7.7 Установка и укрепление опор 7.8 Оборудование кабельных опор 7.9 Подвеска проводов 7.10 Подвеска кабелей Глава 8 Устройство стоечных линий связи с подвеской кабелей и проводов 8.1 Общие положения 8.2 Типы и конструкции стоечных опор 8.3 Установка стоечных опор 8.4 Оборудование подхода к стоечным опорам 8.5 Подвеска проводов 8.6 Подключение проводов к оконечным устройствам 8.7 Подвеска кабеля Глава 9 Устройство вводов кабелей городских телефонных сетей в жилые и общественные здания 9.1 Общие положения 9.2 Устройство подземного ввода кабеля в здание 9.3 Устройство воздушного кабельного ввода в здание 9.4 Закладные устройства для скрытых проводок сетей связи внутри зданий 9.5 Прокладка и монтаж закладных устройств скрытой проводки 9.6 Прокладка и монтаж стальных труб 9.7 Прокладка и монтаж винипластовых труб 9.8 Прокладка и монтаж полиэтиленовых труб 9.9 Прокладка и монтаж бумажно-металлических труб 9.10 Прокладка и монтаж резино-битумных труб 9.11 Прокладка и монтаж резино-эбонитовых и бумажных труб 9.12 Стояки 9.13 Установка коробок, шкафов и устройство подпольных каналов 9.14 Прокладка кабелей в каналах скрытой проводки 9.15 Открытая прокладка кабелей по стенам зданий 9.16 Механизация работ при устройстве вводов кабелей в здания Глава 10 Монтаж кабельных линий городских телефонных сетей 10.1 Состав монтажных работ 10.2 Расположение муфт 10.3 Организация монтажных работ 10.4 Организация рабочего места и особенности проведения монтажных работ 10.5 Проверка проложенных кабелей перед монтажом 10.6 Подготовка концов кабелей к монтажу муфт 10.7 Монтаж сердечников кабелей 10.8 Сращивание токопроводящих жил и восстановление их изоляции 10.9 Восстановление поясной изоляции и экрана 10.10 Восстановление свинцовой оболочки 10.11 Восстановление пластмассовых оболочек 10.12 Восстановление стальной гофрированной оболочки 10.13 Восстановление оболочек кабелей из разнородных материалов 10.14 Заделка концов кабелей 10.15 Монтаж муфт кабелей, проложенных непосредственно в грунте 10.16 Особенности монтажа муфт кабелей с проволочной броней, проложенных непосредственно в земле 10.17 Монтаж муфт подвесных кабелей 10.18 Монтаж кабелей, проложенных по внутренним и наружным стенам зданий 10.19 Монтаж станционных разветвительных муфт 10.20 Монтаж пупиновских ящиков и муфт 10.21 Монтаж сборных муфт 10.22 Ремонт оболочек кабелей и муфт 10.23 Вскрытие и демонтаж муфт 10.24 Замена пролетов действующего кабеля 10.25 Монтаж оконечных устройств линейных кабелей ГТС 10.26 Монтаж распределительных коробок 10X2 10.27 Монтаж кабельных ящиков Я КГ 10X2 и 20X2 10.28 Монтаж боксов типа БКТ 10.29 Монтаж защитных полос кроссов ГТС 10.30 Монтаж рамок межстанционных связей (соединительных линий) 10.31 Нумерация оконечных кабельных устройств Глава 11 Электроизмерения и симметрирование кабелей городских телефонных сетей 11.1 Общие положения 11.2 Электрические измерения в процессе монтажа и на смонтированных кабельных линиях 11.3 Симметрирование низкочастотных кабельных линий А Пупинизированные линии Б Непупинизированные линии 11.4 Симметрирование высокочастотных кабельных линий 11.5 Симметрирование высокочастотных кабельных линий с помощью симметрирующих плат 11.6 Основные приборы для выполнения электрических измерений на городских линиях связи Глава 12 Проверка герметичности кабелей городской телефонной сети и установка их под постоянное избыточное воздушное давление 12.1 Общие положения 12.2 Установки, оборудование и материалы для содержания кабелей под постоянным избыточным воздушным давлением 12.3 Монтаж газонепроницаемых муфт 12.4 Определение мест негерметичности оболочек кабелей 12.5 Оформление протоколов испытания герметичности Глава 13 Устройство абонентских пунктов городских телефонных сетей 13.1 Общие положения 13.2 Устройство абонентских пунктов при кабельном вводе 13.3 Устройство абонентских пунктов при воздушном вводе 13.4 Оборудование пунктов таксофонов Глава 14 Защита кабелей городских телефонных сетей от коррозии, опасных и мешающих напряжений и токов А Защита кабелей ГТС от коррозии 14.1 Общие положения 14.2 Оборудование контрольно-измерительных пунктов 14.3 Измерения блуждающих токов на оболочках кабелей ГТС 14.4 Выравнивание потенциалов между оболочками кабелей, проложенных рядом 14.5 Оборудование дренажной защиты 14 6. Совместная защита кабелей ГТС и металлического трубопровода при пересечении электрифицированных железных дорог или трамвайных путей 14.7 Оборудование катодной защиты 14.8 Оборудование протекторной защиты 14.9 Установка изолирующих муфт Б Защита линейных сооружений городских телефонных сетей от опасных и мешающих напряжений и токов 14.10 Источники опасных и мешающих напряжений и токов 14.11 Пересечения и сближения линий ГТС с контактными проводами наземного транспорта и электросети напряжением до 1000 В 14.12 Вводы в здание линий ГТС при наличии ввода электросети до 1000 В 14.13 Пересечения и сближения линий ГТС с линиями электропередачи напряжением выше 1000 В 14.14 Защита сооружений ГТС от опасного и мешающего влияний ЛЭП и электрифицированных железных дорог 14.15 Защита от грозовых разрядов 14.16 Устройство заземлений Глава 15 Средства механизации и транспорта для строительства линейных сооружений городских телефонных сетей 15.1 Общие положения 15.2 Машины и механизмы для производства земляных работ 15.3 Механизация погрузочно-разгрузочных работ 15.4 Средства механизации работ по доставке и прокладке кабелей связи в подземных трубопроводах кабельной канализации 15.5 Механизмы вспомогательного назначения 15.6 Передвижные фургоны 15.7 Средства малой механизации 15.8 Транспортные средства |
| Разработан: | ССКТБ |
| Утверждён: | 06.05.1987 Минсвязи РФ (Russian Federation Minsvyazi 220) |
| Издан: | Издательство Связь (1978 г. ) |
| Расположен в: | |
| Чем заменён: |














































































































































































































































































































































































































































