| ||||||||||||||||||||||||||||||
 Скачать ПУЭ Правила устройства электроустановокДата актуализации: 10.08.2017
 | 
| Обозначение: |     ПУЭ  | 
| Обозначение англ: |     PUE  | 
| Статус: | действует | 
| Название рус.: | Правила устройства электроустановок | 
| Название англ.: | Requirements for Electrical Installations | 
| Дата добавления в базу: | 01.09.2013 | 
| Дата актуализации: | 05.05.2017 | 
| Область применения: | Правила распространяются на вновь сооружаемые и реконструируемые электроустановки до 500 кВ, в том числе на специальные электроустановки. | 
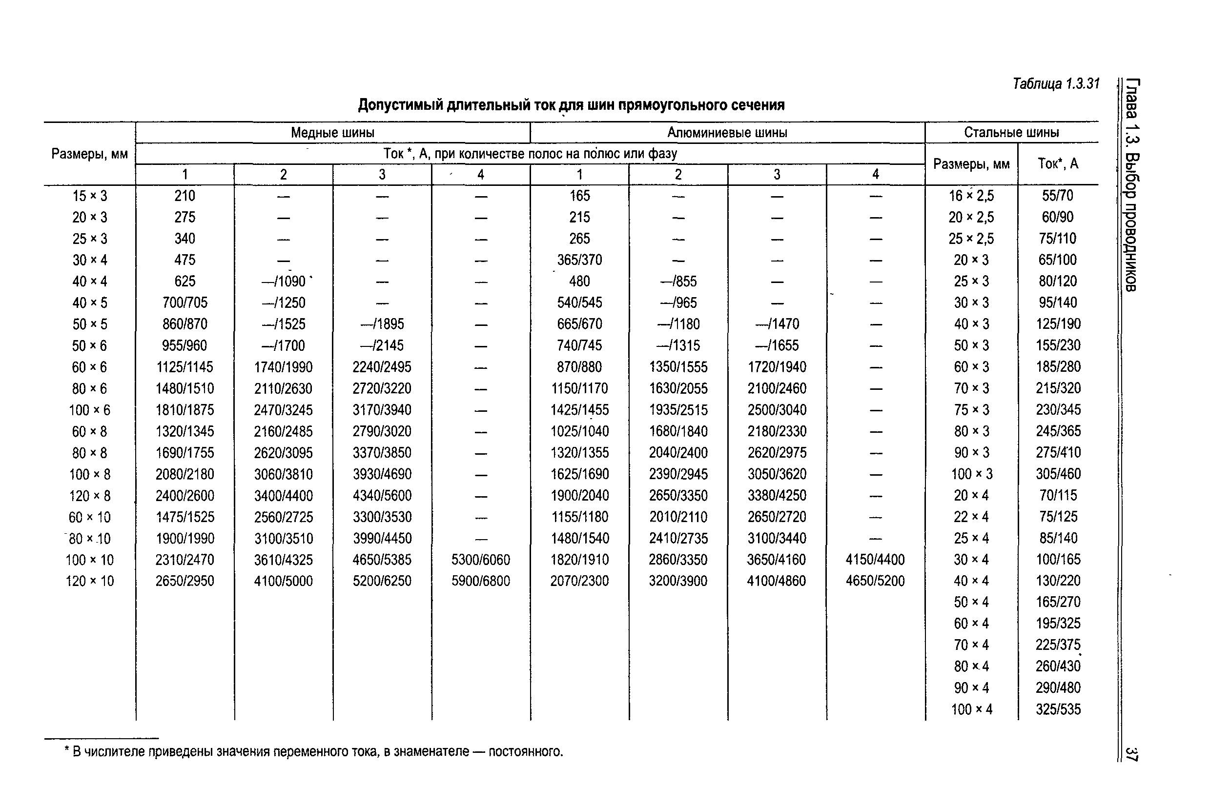
| Оглавление: | Раздел 1. Общие правила Глава 1.1. Общая часть Область применения, определения Общие указания по устройству электроустановок Глава 1.2. Электроснабжение и электрические сети Область применения, определения Общие требования Категории электроприемников и обеспечение надежности электроснабжения Уровни и регулирование напряжения, компенсация реактивной мощности Глава 1.3. Выбор проводников по нагреву, экономической плотности тока и по условиям короны Область применения Выбор сечений проводников по нагреву Допустимые длительные токи для проводов, шнуров и кабелей с резиновой или пластмассовой изоляцией Допустимые длительные токи для кабелей с бумажной пропитанной изоляцией Допустимые длительные токи для неизолированных проводов и шин Выбор сечения проводников по экономической плотности тока Проверка проводников по условиям короны и радиопомех Глава 1.4. Выбор электрических аппаратов и проводников по условиям короткого замыкания Область применения Общие требования Определение токов короткого замыкания для выбора аппаратов и проводников Выбор проводников и изоляторов, проверка несущих конструкций по условиям динамического действия токов короткого замыкания Выбор проводников по условиям нагрева при коротком замыкании Выбор аппаратов по коммутационной способности Глава 1.5. Учет электроэнергии Область применения, определения Общие требования Пункты установки средств учета электроэнергии Требования к расчетным счетчикам Учет с применением измерительных трансформаторов Установка счетчиков и электропроводка к ним Технический учет Глава 1.6. Измерение электрических величин Область применения Общие требования Измерение тока Измерение напряжения Контроль изоляции Измерение мощности Измерение частоты Измерения при синхронизации Регистрация электрических величин в аварийных режимах Глава 1.7. Заземление и защитные меры электробезопасности Область применения. Термины и определения Общие требования Меры защиты от прямого прикосновения Меры защиты от прямого и косвенного прикосновений Меры защиты при косвенном прикосновении Заземляющие устройства электроустановок напряжением выше 1 кВ в сетях с эффективно заземленной нейтралью Заземляющие устройства электроустановок напряжением выше 1 кВ в сетях с изолированной нейтралью Заземляющие устройства электроустановок напряжением до 1 кВ в сетях с глухозаземленной нейтралью Заземляющие устройства электроустановок напряжением до 1 кВ в сетях с изолированной нейтралью Заземляющие устройства в районах с большим удельным сопротивлением земли Заземлители Заземляющие проводники Главная заземляющая шина Защитные проводники (РЕ-проводники) Совмещенные нулевые защитные и нулевые рабочие проводники (РЕN-проводники) Проводники системы уравнивания потенциалов Соединения и присоединения заземляющих, защитных проводников и проводников системы уравнивания и выравнивания потенциалов Переносные электроприемники Передвижные электроустановки Электроустановки помещений для содержания животных Глава 1.8. Нормы приемосдаточных испытаний Общие положения 1.8.13. Синхронные генераторы и компенсаторы 1.8.14. Машины постоянного тока 1.8.15. Электродвигатели переменного тока 1.8.16. Силовые трансформаторы, автотрансформаторы, масляные реакторы и заземляющие дугогасящие реакторы (дугогасящие катушки) 1.8.17. Измерительные трансформаторы тока 1.8.18. Измерительные трансформаторы напряжения 1.8.19. Масляные выключатели 1.8.20. Воздушные выключатели 1.8.21. Элегазовые выключатели 1.8.22. Вакуумные выключатели 1.8.23. Выключатели нагрузки 1.8.24. Разъединители, отделители и короткозамыкатели 1.8.25. Комплектные распределительные устройства внутренней и наружной установки (КРУ и КРУН) 1.8.26. Комплектные токопроводы (шинопроводы) 1.8.27. Сборные и соединительные шины 1.8.28. Сухие токоограничивающие реакторы 1.8.29. Электрофильтры 1.8.30. Конденсаторы 1.8.31. Вентильные разрядники и ограничители перенапряжений 1.8.32. Трубчатые разрядники 1.8.33. Предохранители, предохранители-разъединители напряжением выше 1 кВ 1.8.34. Вводы и проходные изоляторы 1.8.35. Подвесные и опорные изоляторы 1.8.36. Трансформаторное масло 1.8.37. Электрические аппараты, вторичные цепи и электропроводки напряжением до 1 кВ 1.8.38. Аккумуляторные батареи 1.8.39. Заземляющие устройства 1.8.40. Силовые кабельные линии 1.8.41. Воздушные линии электропередачи напряжением выше 1 кВ Глава 1.9. Изоляция электроустановок Область применения. Определения Общие требования Изоляция ВЛ Внешняя стеклянная и фарфоровая изоляция электрооборудования и ОРУ Выбор изоляции по разрядным характеристикам Определение степени загрязнения Коэффициенты использования основных типов изоляторов и изоляционных конструкций (стеклянных и фарфоровых) Раздел 2. Передача электроэнергии Глава 2.1. Электропроводки Область применения, определения Общие требования Выбор вида электропроводки, выбор проводов и кабелей и способа их прокладки Открытые электропроводки внутри помещений Скрытые электропроводки внутри помещений Электропроводки в чердачных помещениях Наружные электропроводки Глава 2.2. Токопроводы напряжением до 35 кВ Область применения, определения Общие требования Токопроводы напряжением до 1 кВ Токопроводы напряжением выше 1 кВ Гибкие токопроводы напряжением выше 1 кВ Глава 2.3. Кабельные линии напряжением до 220 кВ Область применения, определения Общие требования Выбор способов прокладки Выбор кабелей Подпитывающие устройства и сигнализация давления масла кабельных маслонаполненных линий Соединения и заделки кабелей Заземление Специальные требования к кабельному хозяйству электростанций, подстанций и распределительных устройств Прокладка кабельных линий в земле Прокладка кабельных линий в кабельных блоках, трубах и железобетонных лотках Прокладка кабельных линий в кабельных сооружениях Прокладка кабельных линий в производственных помещениях Подводная прокладка кабельных линий Прокладка кабельных линий по специальным сооружениям Глава 2.4. Воздушные линии электропередачи напряжением до 1 кВ Область применения. Определения Общие требования Климатические условия Провода. Линейная арматура Расположение проводов на опорах Изоляция Заземление. Защита от перенапряжений Опоры Габариты, пересечения и сближения Пересечения, сближения, совместная подвеска ВЛ с линиями связи, проводного вещания и РК Пересечения и сближения ВЛ с инженерными сооружениями Глава 2.5. Воздушные линии электропередачи напряжением выше 1 кВ Область применения. Определения Общие требования Требования к проектированию ВЛ, учитывающие особенности их ремонта и технического обслуживания Защита ВЛ от воздействия окружающей среды Климатические условия и нагрузки Провода и грозозащитные тросы Расположение проводов и расстояния между ними Изоляторы и арматура Защита от перенапряжений, заземление Опоры и фундаменты Большие переходы Подвеска волоконно-оптических линий связи на ВЛ Прохождение ВП по ненаселенной и труднодоступной местности Прохождение ВП по насаждениям Прохождение ВП по населенной местности Пересечение и сближение ВЛ между собой Пересечение и сближение ВЛ с сооружениями связи, сигнализации и проводного вещания Пересечение и сближение ВЛ с железными дорогами Пересечение и сближение ВЛ с автомобильными дорогами Пересечение, сближение или параллельное следование ВП с троллейбусными и трамвайными линиями Пересечение ВП с водными пространствами Прохождение ВП по мостам Прохождение ВП по плотинам и дамбам Сближение ВЛ со взрыво- и пожароопасными установками Пересечение и сближение ВП с надземными и наземными трубопроводами, сооружениями транспорта нефти и газа и канатными дорогами Пересечение и сближение ВЛ с подземными трубопроводами Сближение ВП с аэродромами и вертодромами Раздел 3. Защита и автоматика Глава 3.1. Защита электрических сетей напряжением до 1 кВ Область применения, определения Требования к аппаратам защиты Выбор защиты Места установки аппаратов защиты Глава 3.2. Релейная защита Область применения Общие требования Защита турбогенераторов, работающих непосредственно на сборные шины генераторного напряжения Защита трансформаторов (автотрансформаторов) с обмоткой высшего напряжения 3 кВ и выше и шунтирующих реакторов 500 кВ Защита блоков генератор - трансформатор Защита воздушных и кабельных линий в сетях напряжением 3-10 кВ с изолированной нейтралью Защита воздушных и кабельных линий в сетях напряжением 20 и 35 кВ с изолированной нейтрапью Защита воздушных линий в сетях напряжением 110-500 кВ с эффективно заземленной нейтралью Защита шин, защита на обходном, шиносоединительном и секционном выключателях Защита синхронных компенсаторов Глава 3.3. Автоматика и телемеханика Область применения. Общие требования Автоматическое повторное включение (АПВ) Автоматическое включение резервного питания и оборудования (АВР) Включение генераторов Автоматическое регулирование возбуждения, напряжения и реактивной мощности Автоматическое регулирование частоты и активной мощности (АРЧМ) Автоматическое предотвращение нарушений устойчивости Автоматическое прекращение асинхронного режима Автоматическое ограничение снижения частоты Автоматическое ограничение повышения частоты Автоматическое ограничение снижения напряжения Автоматическое ограничение повышения напряжения Автоматическое предотвращение перегрузки оборудования Телемеханика Глава 3.4. Вторичные цепи Раздел 4. Распределительные устройства и подстанции Глава 4.1. Распределительные устройства напряжением до 1 кВ переменного тока и до 1,5 кВ постоянного тока Область применения Общие требования Установка приборов и аппаратов Шины, провода, кабели Конструкции распределительных устройств Установка распределительных устройств в электропомещениях Установка распределительных устройств в производственных помещениях Установка распределительных устройств на открытом воздухе Глава 4.2. Распределительные устройства и подстанции напряжением выше 1 кВ Область применения, определения Общие требования Открытые распределительные устройства Биологическая защита от воздействия электрических и магнитных полей Закрытые распределитепьные устройства и подстанции Внутрицеховые распределительные устройства и трансформаторные подстанции Комплектные, столбовые, мачтовые трансформаторные подстанции и сетевые секционирующие пункты Защита от грозовых перенапряжений Защита вращающихся электрических машин от грозовых перенапряжений Защита от внутренних перенапряжений Пневматическое хозяйство Масляное хозяйство Установка силовых трансформаторов и реакторов Глава 4.3. Преобразовательные подстанции и установки Область применения, определения Общие требования Защита преобразовательных агрегатов Размещение оборудования, защитные мероприятия Охлаждение преобразователей Отопление, вентиляция и водоснабжение Строительная часть Глава 4.4. Аккумуляторные установки Область применения Электрическая часть Строительная часть Санитарно-техническая часть Раздел 5. Электросиловые установки Глава 5.1. Электромашинные помещения Область применения, определения Общие требования Размещение и установка электрооборудования Смазка подшипников электрических машин Вентиляция и отопление Строительная часть Глава 5.2. Генераторы и синхронные компенсаторы Область применения Общие требования Охлаждение и смазка Системы возбуждения Размещение и установка генераторов и синхронных компенсаторов Глава 5.3. Электродвигатели и их коммутационные аппараты Область применения Общие требования Выбор электродвигателей Установка электродвигателей Коммутационные аппараты Защита асинхронных и синхронных электродвигателей напряжением выше 1 кВ Защита электродвигателей напряжением до 1 кВ (асинхронных, синхронных и постоянного тока) Глава 5.4. Электрооборудование кранов Область применения, определения Общие требования Троллеи напряжением до 1 кВ Выбор и прокладка проводов и кабелей Управление, защита, сигнализация Освещение Заземление и зануление Электрооборудование кранов напряжением выше 1 кВ Глава 5.5. Электрооборудование лифтов Область применения, определения Общие требования Электропроводка и токоподвод к кабине Электрооборудование машинного помещения Защита Освещение Заземление (зануление) Установки с бесконтактной аппаратурой управления Глава 5.6. Конденсаторные установки Область применения, определения Схема электрических соединений, выбор оборудования Защита Электрические измерения Установка конденсаторов Раздел 6. Электрическое освещение Глава 6.1. Общая часть Область применения. Определения Общие требования Аварийное освещение Выполнение и защита осветительных сетей Защитные меры безопасности Глава 6.2. Внутреннее освещение Общие требования Питающая осветительная сеть Групповая сеть Глава 6.3. Наружное освещение Источники света, установка осветительных приборов и опор Питание установок наружного освещения Выполнение и защита сетей наружного освещения Глава 6.4. Световая реклама, знаки и иллюминация Глава 6.5. Управление освещением Общие требования Управление внутренним освещением Управление наружным освещением Глава 6.6. Осветительные приборы и электроустановочные устройства Осветительные приборы Электроустановочные устройства Раздел 7. Электрооборудование специальных установок Глава 7.1. Электроустановки жилых, общественных, административных и бытовых зданий Область применения. Определения Общие требования. Электроснабжение Вводные устройства, распределительные щиты, распределительные пункты, групповые щитки Электропроводки и кабельные линии Внутреннее электрооборудование Учет электроэнергии Защитные меры безопасности Глава 7.2. Электроустановки зрелищных предприятий, клубных учреждений и спортивных сооружений Область применения. Определения Общие требования. Электроснабжение Электрическое освещение Силовое электрооборудование Прокладка кабелей и проводов Защитные меры безопасности Глава 7.3. Электроустановки во взрывоопасных зонах Область применения Определения Классификация взрывоопасных смесей по ГОСТ 12.1.011-78 Классификация и маркировка взрывозащищенного электрооборудования по ГОСТ 12.2.020-76* Классификация взрывоопасных зон Выбор электрооборудования для взрывоопасных зон. Общие требования Электрические машины Электрические аппараты и приборы Электрические грузоподъемные механизмы Электрические светильники Распределительные устройства, трансформаторные и преобразовательные подстанции Электропроводки, токопроводы и кабельные линии Зануление и заземление Молниезащита и защита от статического электричества Глава 7.4. Электроустановки в пожароопасных зонах Область применения Определения. Общие требования Электрические машины Электрические аппараты и приборы Электрические грузоподъемные механизмы Распределительные устройства, трансформаторные и преобразовательные подстанции Электрические светильники Электропроводки, токопроводы, воздушные и кабельные линии Глава 7.5. Электротермические установки Область применения Определения Общие требования Установки дуговых печей прямого, косвенного действия и дуговых печей сопротивления Установки индукционные и диэлектрического нагрева Установки печей сопротивления прямого и косвенного действия Электронно-лучевые установки Ионные и лазерные установки Глава 7.6. Электросварочные установки Область применения Определения Общие требования Требования к помещениям для электросварочных установок и сварочных постов Установки электрической сварки (резки, наплавки) плавлением Установки электрической сварки с применением давления Глава 7.7. Торфяные электроустановки Область применения. Определения Электроснабжение Защита Подстанции Воздушные линии электропередачи Кабельные линии Электродвигатели, коммутационные аппараты Заземление Приемка электроустановок в эксплуатацию Глава 7.10. Электролизные установки и установки гальванических покрытий Область применения Определения. Состав установок Общие требования Установки электролиза воды и водных растворов Электролизные установки получения водорода (водородные станции) Электролизные установки получения хлора Установки электролиза магния Установки электролиза алюминия Установки электролитического рафинирования алюминия Электролизные установки ферросплавного производства Электролизные установки никель-кобальтового производства Установки электролиза меди Установки гальванических покрытий Приложение к главам 2.3, 2 4, 2.5. Требования к информационным знакам и их установке "Об информационных знаках на линиях электропередачи" Приложение к письму. Требования к информационным знакам и их установке Об информационных знаках на линиях электропередачи Приложение 1 к главе 2.5 (обязательное). Расстояния между проводами и между проводами и тросами по условиям пляски Приложение 2 к главе 2.5. Справочный материал к главе 2.5 ПУЭ. Перечень ссылочных нормативных документов Приложение 3 к главе 2.5. Указания по проектированию опор, фундаментов и оснований ВЛ Общие положения. Сочетания нагрузок Нормативные нагрузки Расчетные нагрузки и коэффициенты перегрузки Приложение к главе 4.2. Справочный материал к главе 4.2 ПУЭ. Перечень ссылочных нормативных документов Приложение 1 к главе 7.3 (справочное). Категории и смесей по ПИВРЭ и ПИВЭ Приложение 2 к главе 7.3 (справочное). Маркировка взрывозащищенного электрооборудования по ПИВРЭ Приложение 3 к главе 7.3 (справочное).Маркировка взрывозащищенного электрооборудования по ПИВЭ  | 
| Разработан: |  ВНИИЭ Министерства энергетики и электрификации СССР | 
| Утверждён: |  Минэнерго СССР (USSR Minenergo ) | 
| Расположен в: | |
| Нормативные ссылки: | 












































































































































































































































































































































































































































































