Скачать Серия 3.603.5-12 Мачты деревянные одноствольные высотой от 12 до 53 м для установки в I, II и III ветровых районахДата актуализации: 10.08.2017 Серия 3.603.5-12
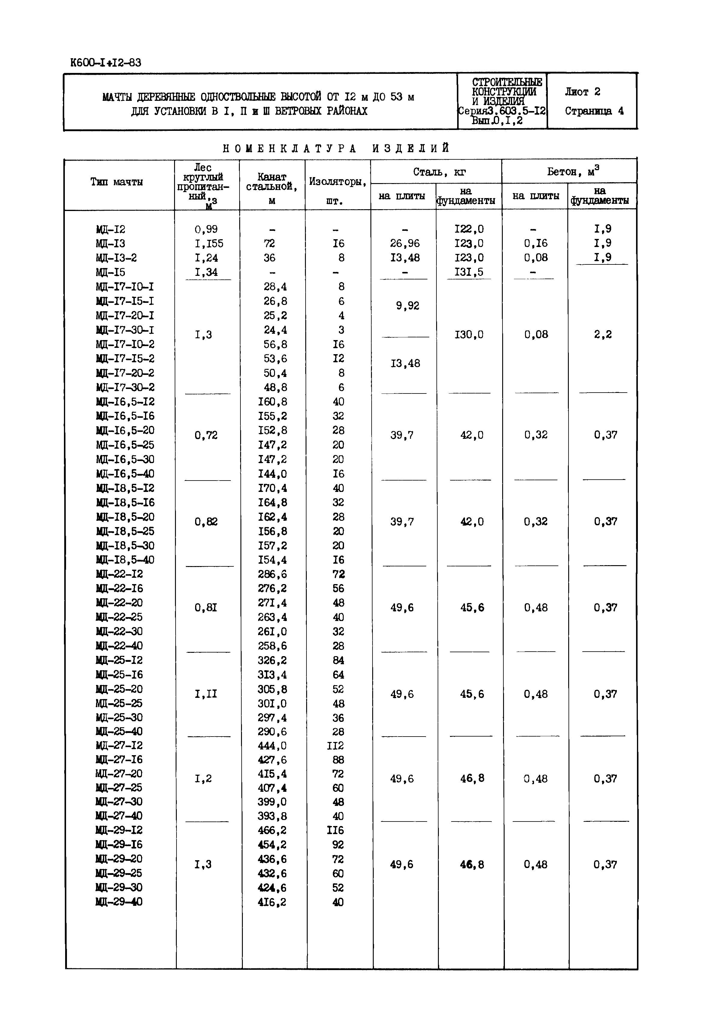
Мачты деревянные одноствольные высотой от 12 до 53 м для установки в I, II и III ветровых районах| Обозначение: | Серия 3.603.5-12 | | Обозначение англ: | Series 3.603.5-12 | | Статус: | не определен законодательством | | Название рус.: | Мачты деревянные одноствольные высотой от 12 до 53 м для установки в I, II и III ветровых районах | | Дата добавления в базу: | 01.09.2013 | | Дата актуализации: | 05.05.2017 | | Дата введения: | 01.08.1983 | | Расположен в: |
| | Список изменений: | |
     
Текстовое изменение № 1 от 01.09.1990
 
|