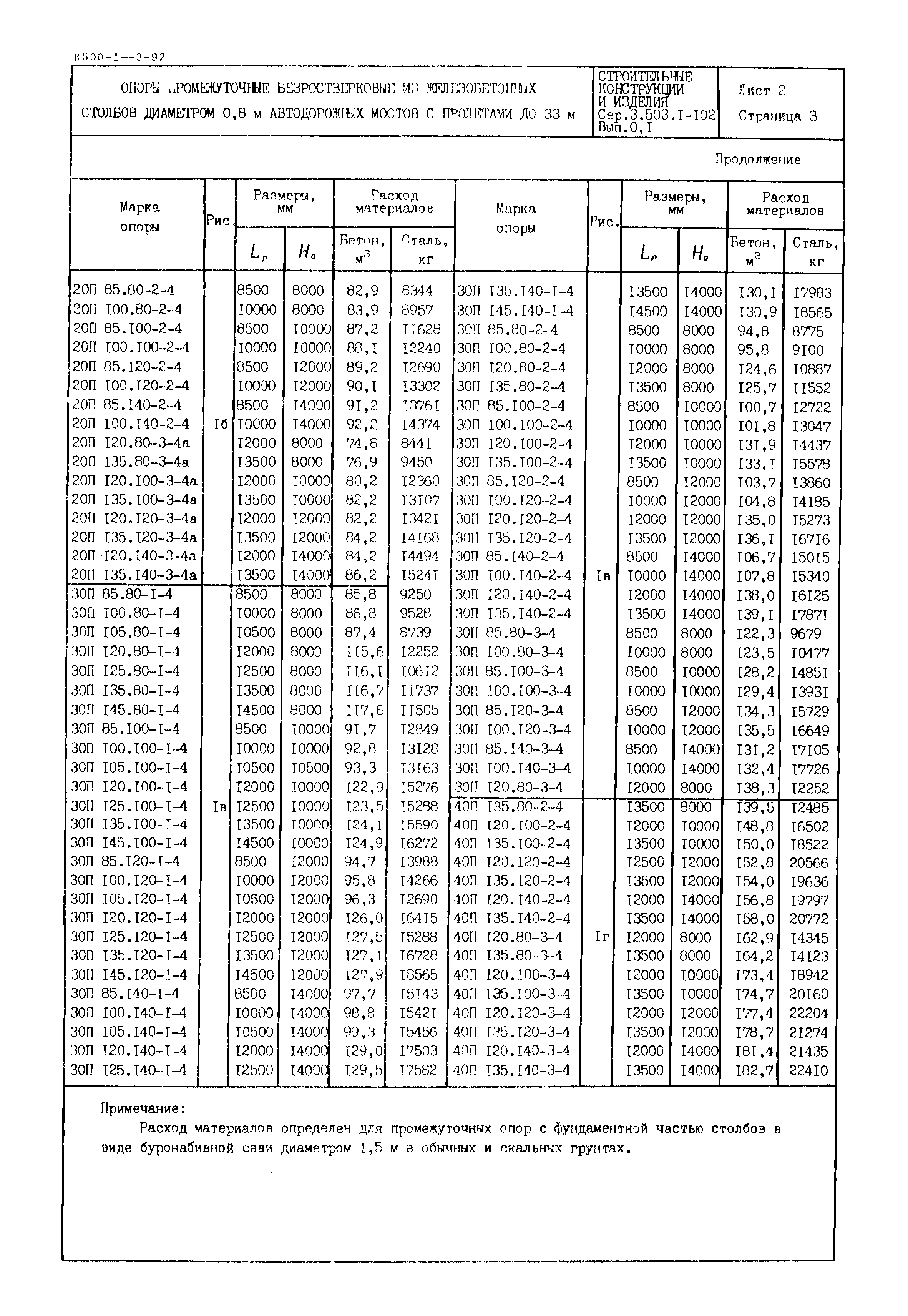
| ||||||||||||||||||||
Скачать Серия 3.503.1-102 Выпуск 0. Указания по применениюДата актуализации: 10.08.2017
|
| Обозначение: | Серия 3.503.1-102 |
| Обозначение англ: | Series 3.503.1-102 |
| Статус: | не определен законодательством |
| Название рус.: | Выпуск 0. Указания по применению |
| Дата добавления в базу: | 01.09.2013 |
| Дата актуализации: | 05.05.2017 |
| Дата введения: | 01.01.1992 |
| Расположен в: |



