| ||||||||||||||||||||
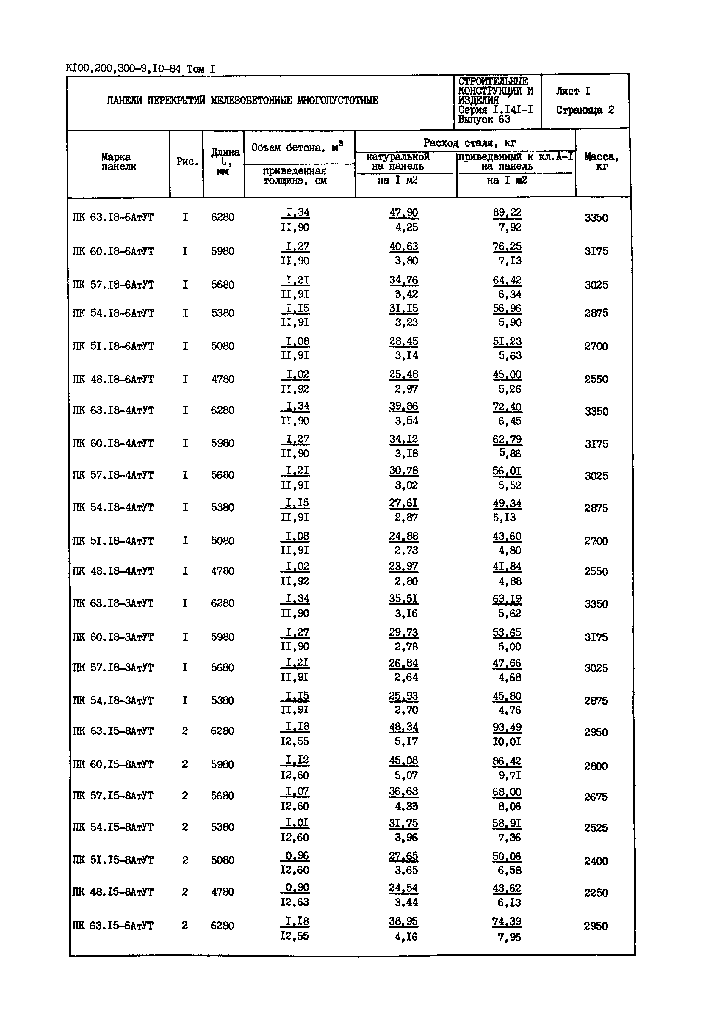
Скачать Серия 1.141-1 Выпуск 63. Предварительно напряженные панели с круглыми пустотами длиной 6280, 5980, 5680, 5380, 5080 и 4780 мм, шириной 1790, 1490, 1190 и 990 мм, армированные стержнями из термически упрочненной стали класса Ат-V. Метод натяжения - электротермическийДата актуализации: 10.08.2017
|
| Обозначение: | Серия 1.141-1 |
| Обозначение англ: | Series 1.141-1 |
| Статус: | действует |
| Название рус.: | Выпуск 63. Предварительно напряженные панели с круглыми пустотами длиной 6280, 5980, 5680, 5380, 5080 и 4780 мм, шириной 1790, 1490, 1190 и 990 мм, армированные стержнями из термически упрочненной стали класса Ат-V. Метод натяжения - электротермический |
| Дата добавления в базу: | 01.09.2013 |
| Дата актуализации: | 05.05.2017 |
| Оглавление: | 1.141-1.63 000ТО Техническое описание 1.141-1.63 100 Панель перекрытия многопустотная шириной 1790 мм 1.141-1.63 100СБ Панель перекрытия многопустотная шириной 1790 мм. Сборочный чертеж 1.141-1.63 200 Панель перекрытия многопустотная шириной 1490 мм 1.141-1.63 200СБ Панель перекрытия многопустотная шириной 1490 мм. Сборочный чертеж 1.141-1.63 300 Панель перекрытия многопустотная шириной 1190 мм 1.141-1.63 300СБ Панель перекрытия многопустотная шириной 1190 мм. Сборочный чертеж 1.141-1.63 400 Панель перекрытия многопустотная шириной 990 мм 1.141-1.63 400СБ Панель перекрытия многопустотная шириной 990 мм. Сборочный чертеж 1.141-1.63 110 Каркас (КР1… КР3) 1.141-1.63 110СБ Каркас (КР1… КР3). Сборочный чертеж 1.141-1.63 120 Каркас (КР4… КР5) 1.141-1.63 120СБ Каркас (КР4… КР5). Сборочный чертеж 1.141-1.63 130 Сетка (С1… С4) 1.141-1.63 130СБ Сетка (С1… С4). Сборочный чертеж 1.141-1.63 140 Сетка С5 1.141-1.63 150 Сетка (С6… С11) 1.141-1.63 150СБ Сетка (С6… С11). Сборочный чертеж 1.141-1.63 210 Сетка (С12… С17) 1.141-1.63 210СБ Сетка (С12… С17). Сборочный чертеж 1.141-1.63 310 Сетка (С18… С23) 1.141-1.63 310СБ Сетка (С18… С23). Сборочный чертеж 1.141-1.63 410 Сетка (С24… С29) 1.141-1.63 410СБ Сетка (С24… С29). Сборочный чертеж 1.141-1.63 101 Стержень напрягаемый (Т1… Т14) 1.141-1.63 301 Петля (П1… П3) 1.141-1.63 000ВМС Ведомость расхода стали на элемент |
| Расположен в: |








