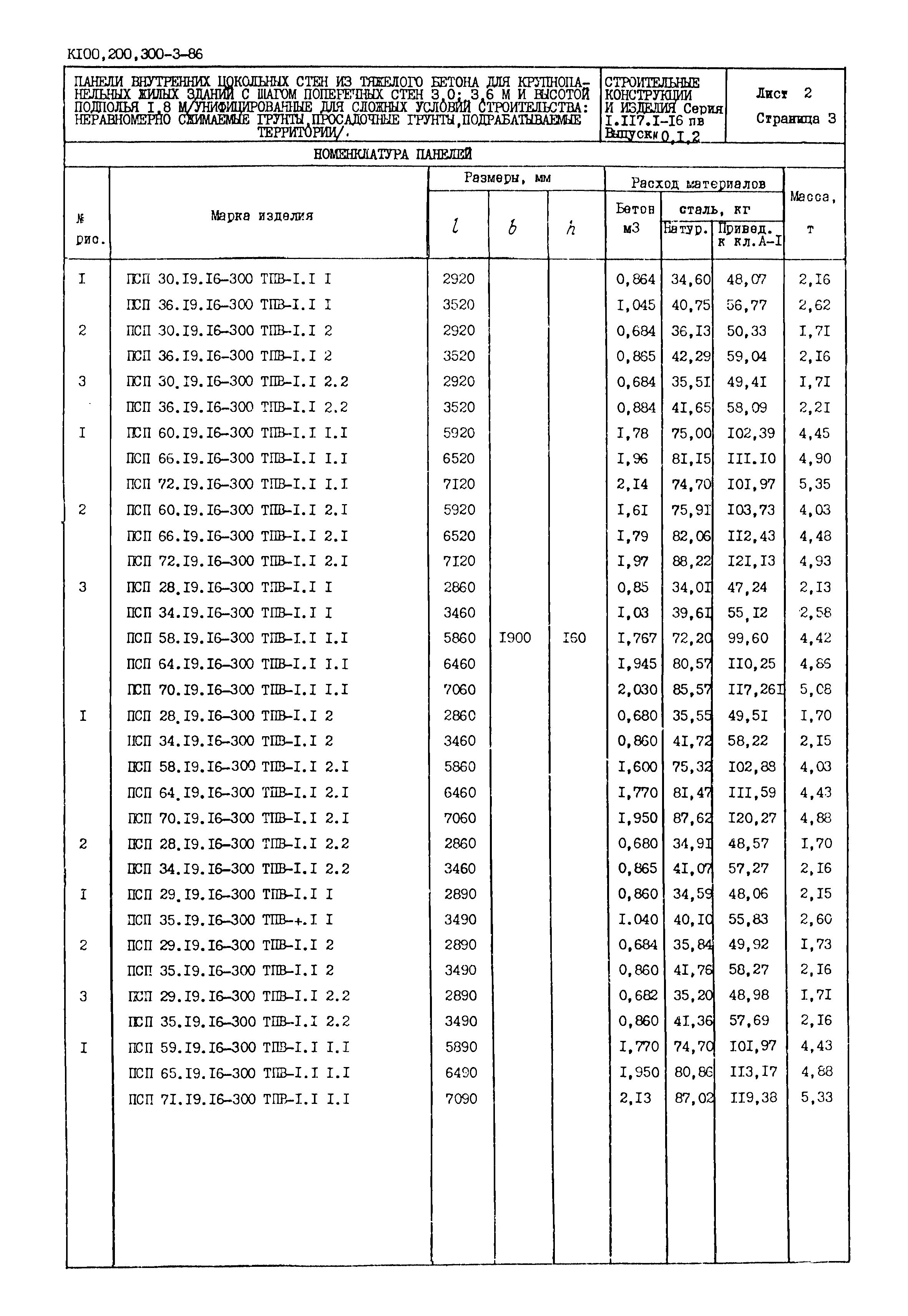
Скачать Серия 1.117.1-16пв Панели внутренних цокольных стен из тяжелого бетона для крупнопанельных жилых зданий с шагом поперечных стен 3,0; 3,6 м и высотой подполья 1,8 м (унифицированные для сложных условий строительства: неравномерно сжимаемые грунты, просадочные грунты, подрабатываемые территории)Дата актуализации: 10.08.2017 Серия 1.117.1-16пв
Панели внутренних цокольных стен из тяжелого бетона для крупнопанельных жилых зданий с шагом поперечных стен 3,0; 3,6 м и высотой подполья 1,8 м (унифицированные для сложных условий строительства: неравномерно сжимаемые грунты, просадочные грунты, подрабатываемые территории)| Обозначение: | Серия 1.117.1-16пв | | Обозначение англ: | Series 1.117.1-16пв | | Статус: | действует | | Название рус.: | Панели внутренних цокольных стен из тяжелого бетона для крупнопанельных жилых зданий с шагом поперечных стен 3,0; 3,6 м и высотой подполья 1,8 м (унифицированные для сложных условий строительства: неравномерно сжимаемые грунты, просадочные грунты, подрабатываемые территории) | | Дата добавления в базу: | 01.09.2013 | | Дата актуализации: | 05.05.2017 | | Дата введения: | 20.12.1985 | | Расположен в: |
|
   
|