| ||||||||||||||||||||||
Скачать Серия 1.030.1-1/88 Выпуск 1-4. Панели из легких бетонов толщиной 350 мм для стен общественных зданий и вспомогательных зданий промышленных предприятий. Опалубка и армирование. Рабочие чертежиДата актуализации: 10.08.2017
|
| Обозначение: | Серия 1.030.1-1/88 |
| Обозначение англ: | Series 1.030.1-1/88 |
| Статус: | действует |
| Название рус.: | Выпуск 1-4. Панели из легких бетонов толщиной 350 мм для стен общественных зданий и вспомогательных зданий промышленных предприятий. Опалубка и армирование. Рабочие чертежи |
| Дата добавления в базу: | 01.09.2013 |
| Дата актуализации: | 05.05.2017 |
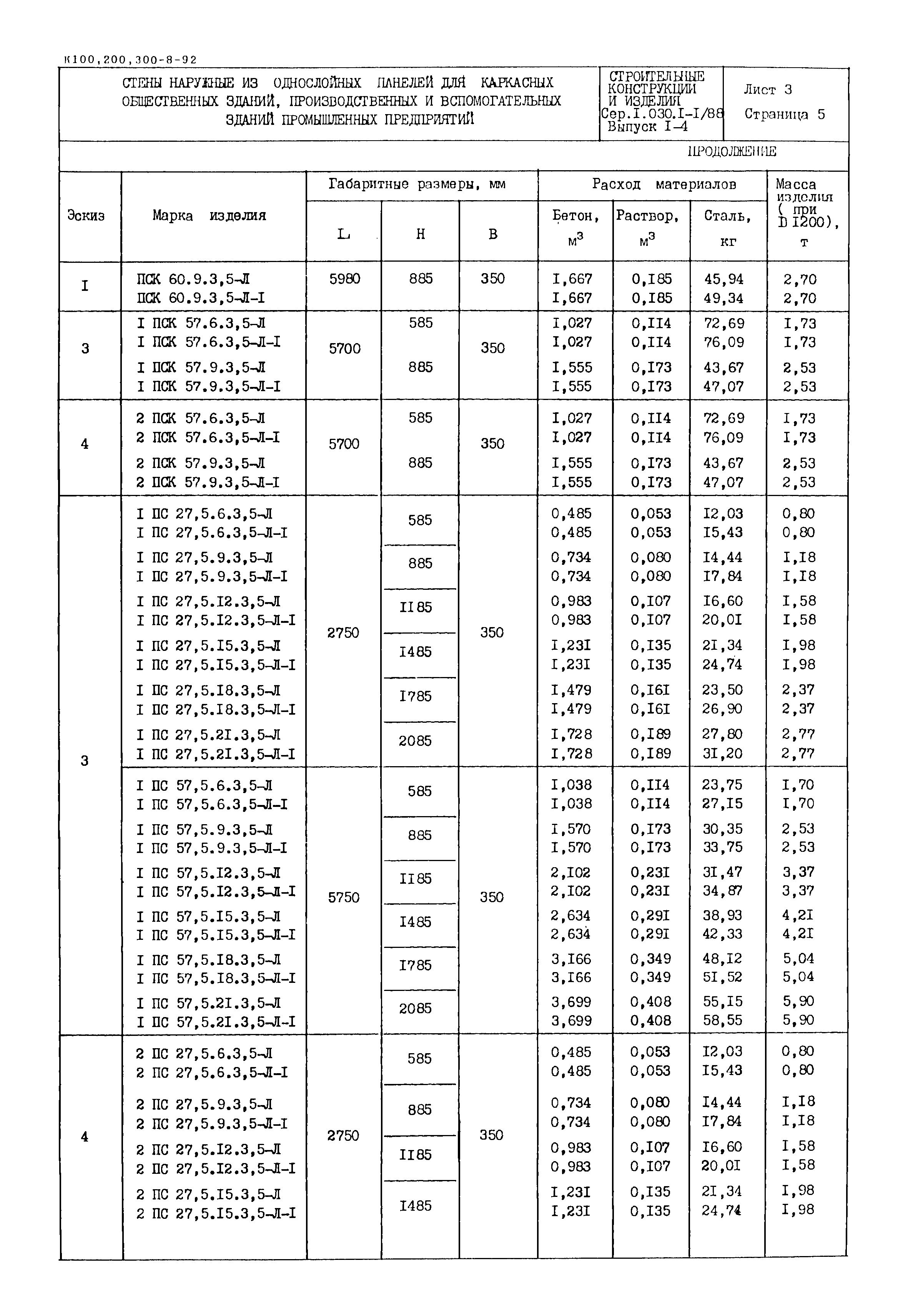
| Область применения: | Выпуск содержит технические требования, опалубочные чертежи, армирование, спецификации, опалубочные и арматурные узлы, ведомость расхода стали на панели толщиной 350 мм |
| Оглавление: | 1.030.1-1/88.1-4-ТТ Технические требования 1.030.1-1/88.1-4-К1 Панели ПС 30.6.3.5…, ПС30.9.3.5… 1.030.1-1/88.1-4-К2 Панели ПС 30.12.3.5…, ПС 60.15.3.5… 1.030.1-1/88.1-4-К3 Панели ПС 30.18.3.5…, ПС 30.21.3.5… 1.030.1-1/88.1-4-К4 Панели ПС 60.6.3.5…, ПС 60.9.3.5… 1.030.1-1/88.1-4-К5 Панели ПС 60.12.3.5…, ПС 60.15.3.5… 1.030.1-1/88.1-4-К6 Панели ПС 60.18.3.5…, ПС 60.21.3.5… 1.030.1-1/88.1-4-К7 Панели ПС 72.9.3.5 1.030.1-1/88.1-4-К8 Панели ПС 72.12.3.5…, ПС 72.15.3.5… 1.030.1-1/88.1-4-К9 Панели ПС 72.18.3.5…, ПС 72.21.3.5… 1.030.1-1/88.1-4-К10 Панели ПС 90.12.3.5…, ПС 90.15.3.5… 1.030.1-1/88.1-4-К11 Панели ПС 90.18.3.5…, ПС 90.21.3.5… 1.030.1-1/88.1-4-К12 Панели 1ПС 27.6.3.5…, 1ПС 27.9.3.5… 1.030.1-1/88.1-4-К13 Панели 1ПС 27.12.3.5…, 1ПС 27.15.3.5… 1.030.1-1/88.1-4-К14 Панели 1ПС 27.18.3.5…, 1ПС 27.21.3.5… 1.030.1-1/88.1-4-К15 Панели 2ПС 27.6.3.5…, 2ПС 27.9.3.5… 1.030.1-1/88.1-4-К16 Панели 2ПС 27.12.3.5…, 2ПС 27.15.3.5… 1.030.1-1/88.1-4-К17 Панели 2ПС 27.18.3.5…, 2ПС 27.21.3.5… 1.030.1-1/88.1-4-К18 Панели 1ПС 57.6.3.5…, 1ПС57.9.3.5… 1.030.1-1/88.1-4-К19 Панели 1ПС 57.12.3.5…, 1ПС 57.15.3.5… 1.030.1-1/88.1-4-К20 Панели 1ПС 57.18.3.5…, 1ПС 57.21.3.5… 1.030.1-1/88.1-4-К21 Панели 2ПС 57.6.3.5…, 2ПС 57.9.3.5… 1.030.1-1/88.1-4-К22 Панели 2ПС 57.12.3.5…, 2ПС 57.15.3.5… 1.030.1-1/88.1-4-К23 Панели 2ПС 57.18.3.5…, 2ПС 57.21.3.5… 1.030.1-1/88.1-4-К24 Панели ПС 3.12.3.5…, ПС 3.18.3.5…, ПС 3.21.3.5… 1.030.1-1/88.1-4-К25 Панели ПС 6.12.3.5…, ПС 6.18.3.5…, ПС 6.21.3.5… 1.030.1-1/88.1-4-К26 Панели ПС 12.12.3.5…, ПС 12.18.3.5…, ПС 12.21.3.5… 1.030.1-1/88.1-4-К27 Панели ПС 12.12.3.5…-1, ПС 12.18.3.5…-1, ПС 12.21.3.5…-1 1.030.1-1/88.1-4-К28 Панели 3ПС 56.60.35-Л, 3ПС 56.90.35…-Л 1.030.1-1/88.1-4-К29 Панели 3ПС 56.120.35-Л, 3ПС 56.150.35…-Л 1.030.1-1/88.1-4-К30 Панели 3ПС 56.180.35-Л, 3ПС 56.210.35…-Л 1.030.1-1/88.1-4-К31 Панели 4ПС 67.120.35-Л, 3ПС 67.180.35-Л, 3ПС 67.210.35…-Л 1.030.1-1/88.1-4-К32 Панели ПСК 60.6.3.5…, ПСК 60.9.3.5… 1.030.1-1/88.1-4-К33 Панели 1ПСК 57.6.3.5…, 1ПСК 57.9.3.5… 1.030.1-1/88.1-4-К34 Панели 2ПСК 57.6.3.5…, 2ПСК 57.9.3.5… 1.030.1-1/88.1-4-К35 Панели 1ПС 27,5.6.3.5…, 1ПС 27,5.9.3.5… 1.030.1-1/88.1-4-К36 Панели 1ПС 27,5.12.3.5…, 1ПС 27,5.15.3.5… 1.030.1-1/88.1-4-К37 Панели 1ПС 27,5.18.3.5…, 1ПС 27,5.21.3.5… 1.030.1-1/88.1-4-К38 Панели 2ПС 27,5.6.3.5…, 2ПС 27,5.9.3.5… 1.030.1-1/88.1-4-К39 Панели 2ПС 27,5.12.3.5…, 2ПС 27,5.15.3.5… 1.030.1-1/88.1-4-К40 Панели 2ПС 27,5.18.3.5…, 2ПС 27,5.21.3.5… 1.030.1-1/88.1-4-К41 Панели 1ПС 57,5.6.3.5…, 1ПС 57,5.9.3.5… 1.030.1-1/88.1-4-К42 Панели 1ПС 57,5.12.3.5…, 1ПС 57,5.15.3.5… 1.030.1-1/88.1-4-К43 Панели 1ПС 57,5.18.3.5…, 1ПС 57,5.21.3.5… 1.030.1-1/88.1-4-К44 Панели 2ПС 57,5.6.3.5…, 2ПС 57,5.9.3.5… 1.030.1-1/88.1-4-К45 Панели 2ПС 57,5.12.3.5…, 2ПС 57,5.15.3.5… 1.030.1-1/88.1-4-К46 Панели 2ПС 57,5.18.3.5…, 2ПС 57,5.21.3.5… 1.030.1-1/88.1-4-К47 Панели 3ПС 51.60.3.5…-Л, 3ПС 51.90.35-Л 1.030.1-1/88.1-4-К48 Панели 3ПС 51.120.3.5…-Л, 3ПС 51.150.35-Л 1.030.1-1/88.1-4-К49 Панели 3ПС 51.180.3.5…-Л, 3ПС 51.210.35-Л 1.030.1-1/88.1-4-К50 Панели 4ПС 51.180.3.5…-Л, 4ПС 51.150.35-Л, 4ПС 51.210.35-Л 1.030.1-1/88.1-4-К51 Панели 1ПСК 57.5.6.3.5…, 1ПСК 57.5.9.3.5… 1.030.1-1/88.1-4-К52 Панели 2ПСК 57.5.6.3.5…, 2ПСК 57.5.9.3.5… 1.030.1-1/88.1-4-К53 Узлы 1… 15 1.030.1-1/88.1-4-РС Ведомость расхода стали |
| Расположен в: |







