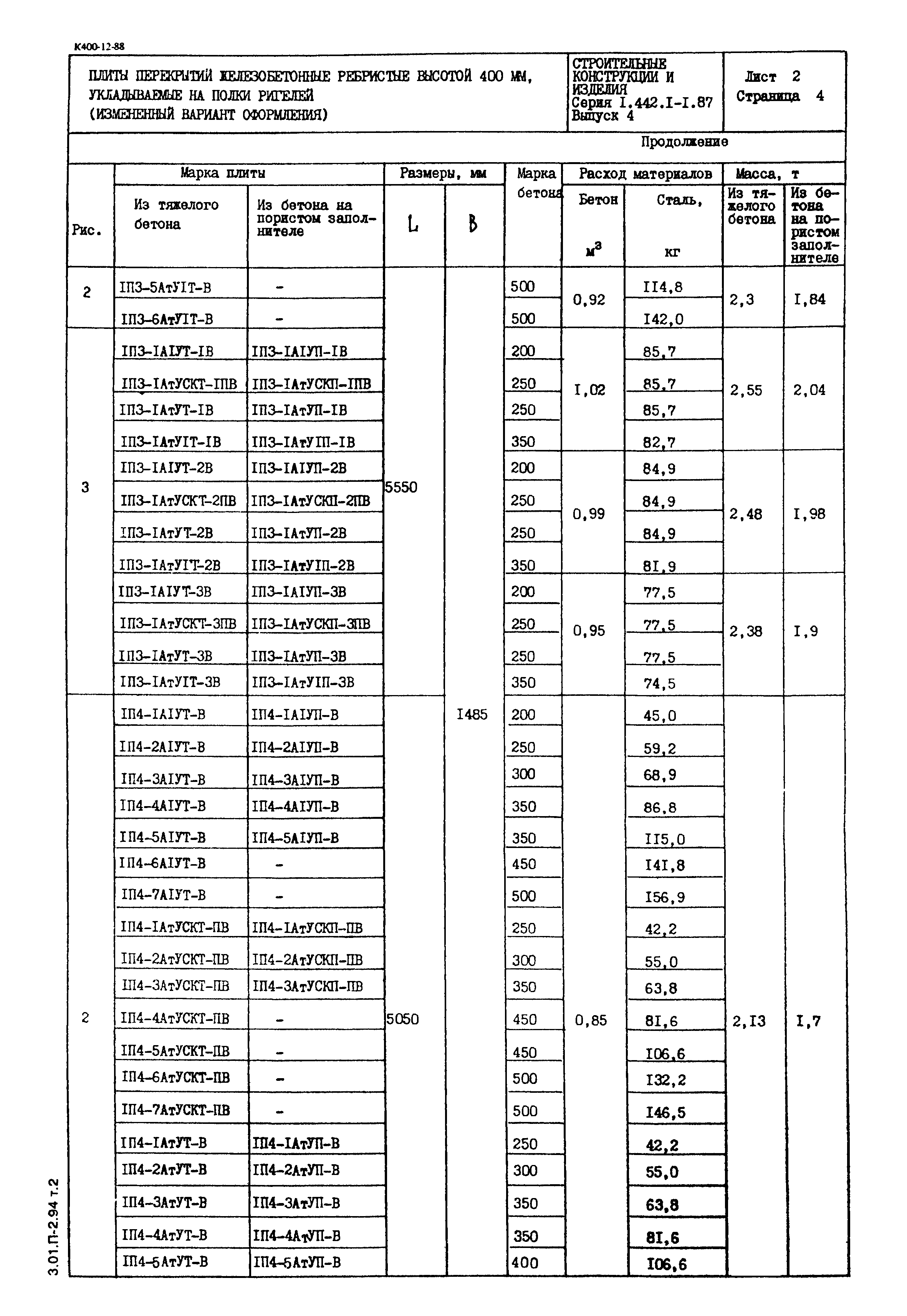
Скачать Серия 1.442.1-1.87 Выпуск 4. Предварительно напряженные плиты шириной 3,0; 1,5 и 0,95 м с вутами и со сниженными величинами усилий натяжения рабочей арматуры (дополнение к выпускам 1 и 2). Рабочие чертежиДата актуализации: 10.08.2017 Серия 1.442.1-1.87
Выпуск 4. Предварительно напряженные плиты шириной 3,0; 1,5 и 0,95 м с вутами и со сниженными величинами усилий натяжения рабочей арматуры (дополнение к выпускам 1 и 2). Рабочие чертежи| Обозначение: | Серия 1.442.1-1.87 | | Обозначение англ: | Series 1.442.1-1.87 | | Статус: | не определен законодательством | | Название рус.: | Выпуск 4. Предварительно напряженные плиты шириной 3,0; 1,5 и 0,95 м с вутами и со сниженными величинами усилий натяжения рабочей арматуры (дополнение к выпускам 1 и 2). Рабочие чертежи | | Дата добавления в базу: | 01.09.2013 | | Дата актуализации: | 05.05.2017 | | Дата введения: | 01.10.1988 | | Расположен в: |
|
     
|