| ||||||||||||||||||||||
Скачать Серия 1.432.1-22 Выпуск 0. Материалы для проектированияДата актуализации: 10.08.2017
|
| Обозначение: | Серия 1.432.1-22 |
| Обозначение англ: | Series 1.432.1-22 |
| Статус: | не действует |
| Название рус.: | Выпуск 0. Материалы для проектирования |
| Дата добавления в базу: | 01.09.2013 |
| Дата актуализации: | 05.05.2017 |
| Дата введения: | 01.05.1999 |
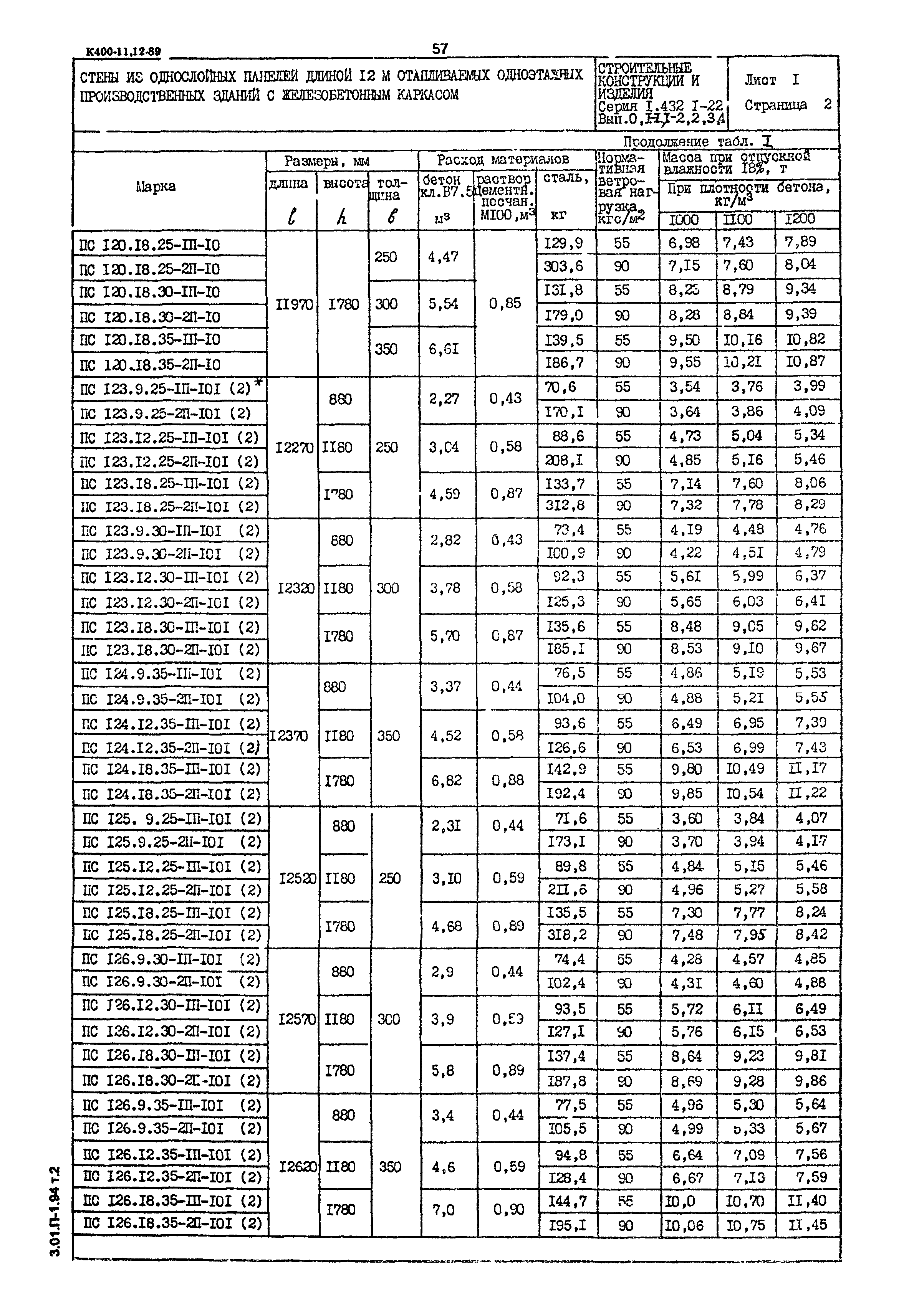
| Область применения: | Стены предназначены для отапливаемых одноэтажных производственных зданий с железобетонным каркасом, с шагом крайних колонн 12 м, с относительной влажностью воздуха внутри помещений до 75 %, строящихся в несейсмических районах с сухим, нормальным и влажным климатом |
| Расположен в: |








