Скачать ОДМ 218.4.009-2017 Методические рекомендации по технологии обеспыливания автомобильных дорог с переходным типом покрытия с использованием битумной эмульсииДата актуализации: 10.08.2017 ОДМ 218.4.009-2017
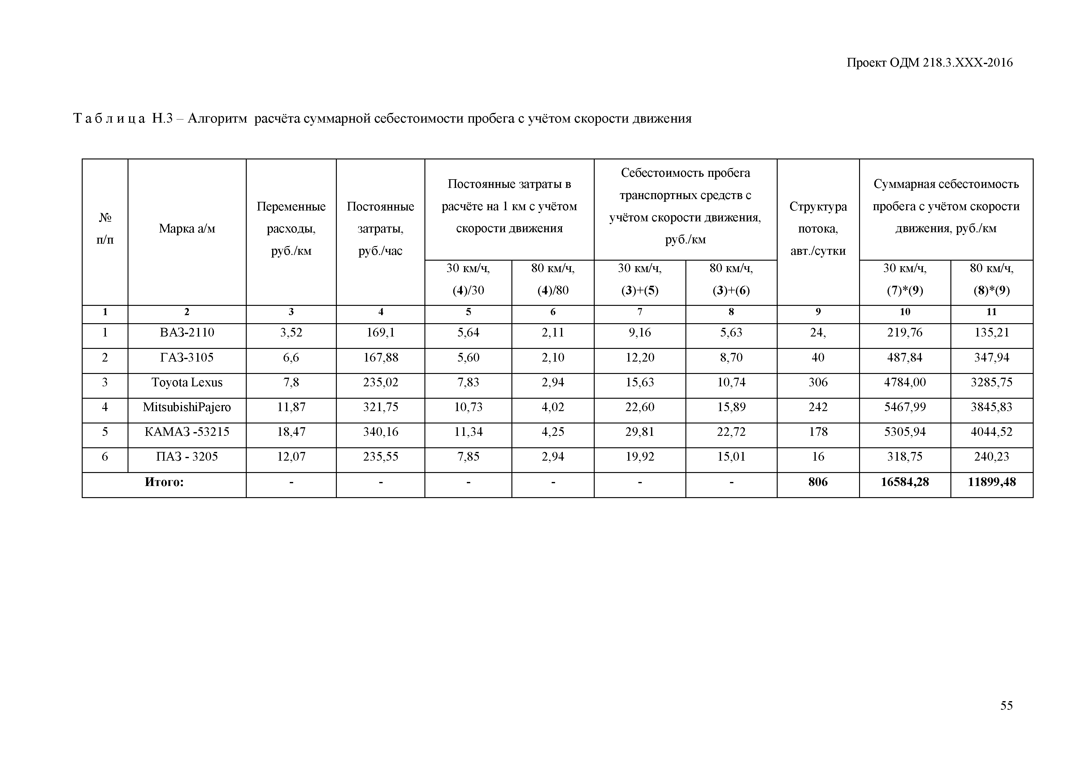
Методические рекомендации по технологии обеспыливания автомобильных дорог с переходным типом покрытия с использованием битумной эмульсии| Обозначение: | ОДМ 218.4.009-2017 | | Обозначение англ: | ODM 218.4.009-2017 | | Статус: | действует | | Название рус.: | Методические рекомендации по технологии обеспыливания автомобильных дорог с переходным типом покрытия с использованием битумной эмульсии | | Дата добавления в базу: | 05.05.2017 | | Дата актуализации: | 05.05.2017 | | Область применения: | Отраслевой дорожный методический документ содержит рекомендации по технологии обеспыливания автомобильных дорог с переходным типом покрытия с использованием битумной эмульсии, направленные на повышение их транспортно-эксплуатационного состояния и потребительских свойств. Рекомендации распространяются во всех дорожно-климатических зонах на автомобильных дорогах со средней приведенной интенсивностью движения до 2000 авт/сут. ОДМ предназначен для применения организациями (предприятиями), осуществляющими дорожную деятельность по содержанию на автомобильных дорогах общего пользования и на временных объездных дорогах. | | Оглавление: | 1 Область применения 2 Нормативные ссылки 3 Термины и определения 4 Требования к материалам 4.1 Минеральные материалы 4.2 Битумные эмульсии 5 Подбор составов смесей и методы лабораторных испытаний 6 Организация и технология производства работ при обеспыливании покрытий переходного типа 6.1 Критерии назначения работ по обеспыливанию 6.2 Основные положения по организации производства работ 6.3 Подготовительные работы 7 Технология работ при обеспыливании методом розлива битумной эмульсии на поверхность покрытия 8 Технология работ при обеспыливании методом смешения битумной эмульсии с материалом покрытия 9 Машины и механизмы, используемые при проведении работ по обеспыливанию автомобильных дорог с переходным типом покрытия 10 Контроль качества при обеспыливании автомобильных дорог с переходным типом покрытия Приложение А (рекомендуемое). Методика определения пылеемкости битумных эмульсий Приложение Б (рекомендуемое). Методика определения дробимости каменного материала после обработки битумной эмульсией Приложение В. Технологическая схема обеспыливания покрытий оптимального гранулометрического состава и влажности методом розлива битумной эмульсии на поверхность покрытия Приложение Г. Технологическая схема обеспыливания покрытий оптимального гранулометрического состава и влажности методом смешения минеральных материалов с битумной эмульсией Приложение Д (обязательное). Методика определения запыленности воздуха на дорогах с переходным типом покрытия Приложение Е. Форма журнала регистрации проб пыли Приложение Ж. Форма журнала входного контроля качества материалов Приложение И. Форма журнала регистрации влажности покрытий Приложение К (рекомендуемое). Схема ограждения места производства дорог Приложение Л. Форма журнала испытания битумных эмульсий Приложение М. Форма журнала промеров поперечных уклонов, ширины и ровности покрытий Приложение Н. Оценка экономической эффективности обеспыливания автомобильных дорог с переходным типом покрытия с использованием битумной эмульсии Библиография | | Разработан: | ИПНГ СО РАН
| | Утверждён: | 28.03.2017 Федеральное дорожное агентство Росавтодор (524-р)
| | Издан: | Росавтодор (2017 г. )
| | Расположен в: |
| | Нормативные ссылки: |   ГОСТ 21718-84 «Материалы строительные. Диэлькометрический метод измерения влажности»  ГОСТ 8267-93 «Щебень и гравий из плотных горных пород для строительных работ. Технические условия»  ГОСТ 8735-88 «Песок для строительных работ. Методы испытаний»  ГОСТ 6613-86 «Сетки проволочные тканые с квадратными ячейками. Технические условия»  ГОСТ 11030-93 «Автогрейдеры. Общие технические условия»  ГОСТ 26980-95 «Экскаваторы одноковшовые. Общие технические условия»  ГОСТ 27535-87 «Машины землеройные. Автогрейдеры. Термины, определения и техническая характеристика для коммерческой документации»  ГОСТ 27811-95 «Автогудронаторы. Общие технические условия»  ГОСТ Р 50597-93 «Автомобильные дороги и улицы. Требования к эксплуатационному состоянию, допустимому по условиям обеспечения безопасности дорожного движения»  ГОСТ 30491-97 «Смеси органоминеральные и грунты, укрепленные органическими вяжущими, для дорожного и аэродромного строительства. Технические условия»  ГОСТ 8269.0-97 «Щебень и гравий из плотных горных пород и отходов промышленного производства для строительных работ. Методы физико-механических испытаний»  ВСН 7-89 «Указания по строительству, ремонту и содержанию гравийных покрытий»  ВСН 8-89 «Инструкция по охране природной среды при строительстве, ремонте и содержании автомобильных дорог»  ГОСТ 450-77 «Кальций хлористый технический. Технические условия» Федеральный закон 7-ФЗ «Об охране окружающей среды»  ГОСТ 22733-2002 «Грунты. Метод лабораторного определения максимальной плотности» ГОСТ 10678-76 «Кислота ортофосфорная термическая. Технические условия» ГОСТ 6968-76 «Кислота уксусная лесохимическая. Технические условия»  ГОСТ 857-95 «Кислота соляная синтетическая техническая. Технические условия»  ГН 2.1.6.1338-03 «Предельно допустимые концентрации (ПДК) загрязняющих веществ в атмосферном воздухе населенных мест»  ГОСТ Р 52289-2004 «Технические средства организации дорожного движения. Правила применения дорожных знаков, разметки, светофоров, дорожных ограждений и направляющих устройств» «Методические рекомендации по ремонту и содержанию автомобильных дорог общего пользования»  РД 11-02-2006 «Требования к составу и порядку ведения исполнительной документации при строительстве, реконструкции, капитальном ремонте объектов капитального строительства и требования, предъявляемые к актам освидетельствования работ, конструкций, участков сетей инженерно-технического обеспечения» Федеральный закон 257-ФЗ «Об автомобильных дорогах и о дорожной деятельности в Российской Федерации и о внесении изменений в отдельные законодательные акты Российской Федерации»  ГОСТ 25607-2009 «Смеси щебеночно-гравийно-песчаные для покрытий и оснований автомобильных дорог и аэродромов. Технические условия»  ОДМ 218.1.002-2010 «Рекомендации по организации и проведению работ по стандартизации в дорожном хозяйстве»  ГОСТ 31424-2010 «Материалы строительные нерудные из отсевов дробления плотных горных пород при производстве щебня. Технические условия»  СП 34.13330.2012 «Автомобильные дороги»  СП 78.13330.2012 «Автомобильные дороги» Технический регламент Таможенного союза 014/2011 «Безопасность автомобильных дорог» ОДМ 218.1.001-2010 «Рекомендации по разработке и применению документов технического регулирования в сфере дорожного хозяйства»  ГОСТ 31954-2012 «Вода питьевая. Методы определения жесткости»  «Классификация работ по капитальному ремонту, ремонту и содержанию автомобильных дорог»  ГОСТ Р 55420-2013 «Дороги автомобильные общего пользования. Эмульсии битумные дорожные катионные. Технические условия»  ГОСТ Р 55421-2013 «Дороги автомобильные общего пользования. Эмульсии битумные дорожные катионные. Метод определения условной вязкости»  ГОСТ Р 55422-2013 «Дороги автомобильные общего пользования. Эмульсии битумные дорожные катионные. Метод определения скорости распада»  ГОСТ Р 55423-2013 «Дороги автомобильные общего пользования. Эмульсии битумные дорожные катионные. Метод определения расслоения»  ГОСТ Р 55424-2013 «Дороги автомобильные общего пользования. Эмульсии битумные дорожные катионные. Метод определения устойчивости при хранении»  ГОСТ Р 55425-2013 «Дороги автомобильные общего пользования. Эмульсии битумные дорожные катионные. Метод извлечения битума путем выпаривания»  ГОСТ Р 55426-2013 «Дороги автомобильные общего пользования. Эмульсии битумные дорожные катионные. Метод определения сцепления с минеральными материалами»  ГОСТ Р 55427-2013 «Дороги автомобильные общего пользования. Эмульсии битумные дорожные катионные. Метод определения содержания вяжущего с эмульгатором»  ГОСТ Р 55428-2013 «Дороги автомобильные общего пользования. Эмульсии битумные дорожные катионные. Метод остатка на сите № 014»  ОДМ 218.2.018-2012 «Методические рекомендации по определению необходимого парка дорожно-эксплуатационной техники для выполнения работ по содержанию автомобильных дорог при разработке проектов содержания автомобильных дорог» ГОСТ 31556-2012 «Фрезы дорожные холодные самоходные. Общие технические условия»  ОДМ 218.2.017-2011 «Методические рекомендации "Проектирование, строительство и эксплуатация автомобильных дорог с низкой интенсивностью движения"» ГОСТ 31548-2012 «Катки дорожные самоходные. Общие технические условия» ОДМ 218.6.009-2013 «Методические рекомендации по оценке безопасности движения при проектировании автомобильных дорог» ГОСТ 12.1.046-2014 «Система стандартов безопасности труда. Строительство. Нормы освещения строительных площадок» ГОСТ 8736-2014 «Песок для строительных работ. Технические условия» ГОСТ 23735-2014 «Смеси песчано-гравийные для строительных работ. Технические условия» ГОСТ 33142-2014 «Дороги автомобильные общего пользования. Битумы нефтяные дорожные вязкие. Метод определения температуры размягчения. Метод "Кольцо и Шар"» ГОСТ 33133-2014 «Дороги автомобильные общего пользования. Битумы нефтяные дорожные вязкие. Технические требования» ГОСТ 33143-2014 «Дороги автомобильные общего пользования. Битумы нефтяные дорожные вязкие. Метод определения температуры хрупкости по Фраасу» ОДМ 218.4.023-2015 «Методические рекомендации по оценке эффективности строительства, реконструкции, капитального ремонта и ремонта автомобильных дорог» ОДМ 218.6.019-2016 «Рекомендации по организации движения и ограждению мест производства дорожных работ»
|
                                                              
|