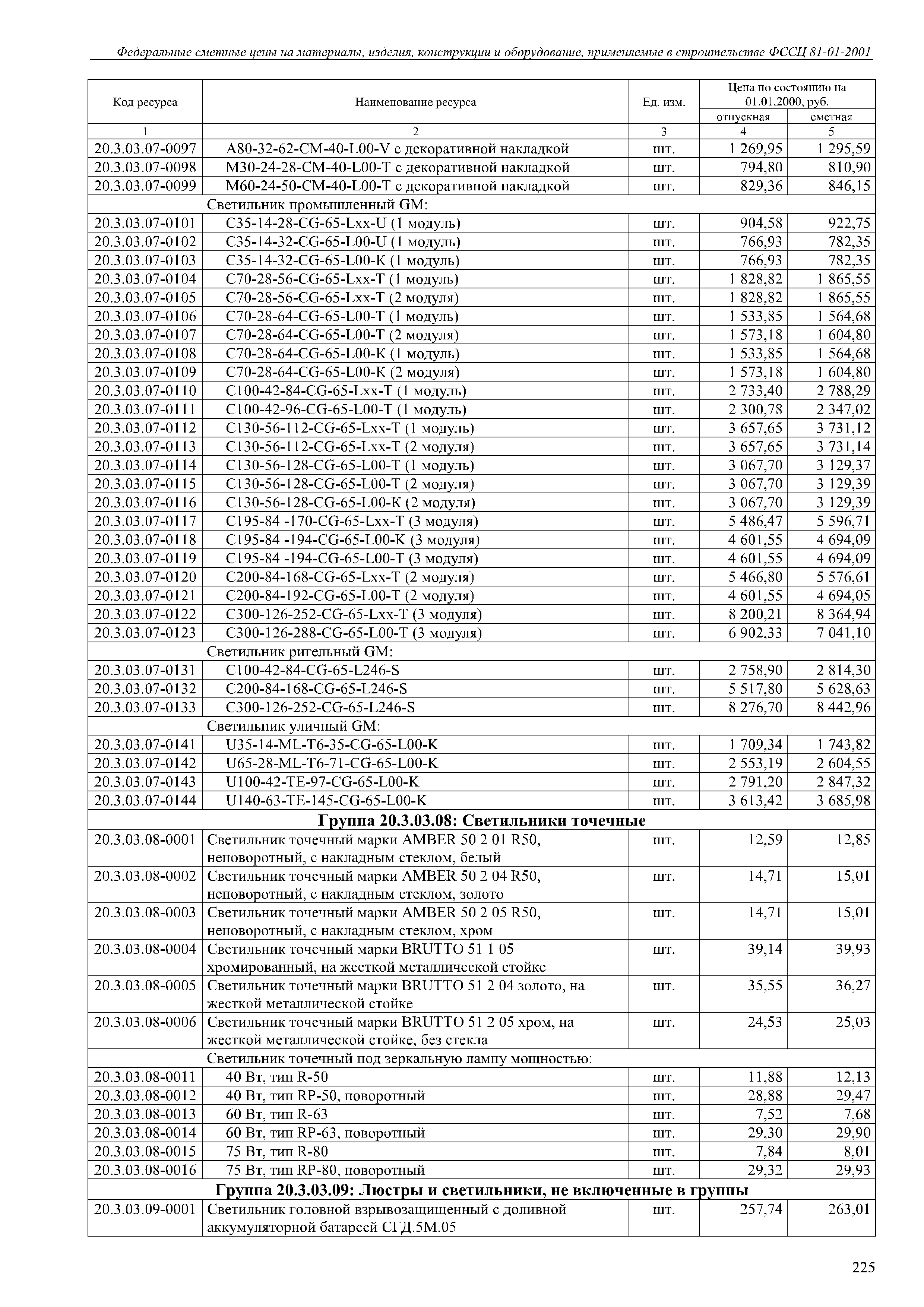
Скачать Книга 20: Материалы монтажные и электроустановочные, изделия и конструкции (27.33 ОКПД2 Изделия электроустановочные). Федеральные сметные цены на материалы изделия, конструкции и оборудование, применяемые в строительстве. Федеральный сборник сметных цен на материалы, изделия и конструкции, применяемые в строительствеДата актуализации: 10.08.2017
Книга 20: Материалы монтажные и электроустановочные, изделия и конструкции (27.33 ОКПД2 Изделия электроустановочные). Федеральные сметные цены на материалы изделия, конструкции и оборудование, применяемые в строительстве. Федеральный сборник сметных цен на материалы, изделия и конструкции, применяемые в строительствеСтатус: | действует | Название рус.: | Книга 20: Материалы монтажные и электроустановочные, изделия и конструкции (27.33 ОКПД2 Изделия электроустановочные). Федеральные сметные цены на материалы изделия, конструкции и оборудование, применяемые в строительстве. Федеральный сборник сметных цен на материалы, изделия и конструкции, применяемые в строительстве | Дата добавления в базу: | 05.05.2017 | Дата актуализации: | 05.05.2017 | Дата введения: | 28.04.2017 | Область применения: | Государственные сметные нормативы "Федеральные сметные цены на материалы, изделия, конструкции и оборудование, применяемые в строительстве" предназначены для определения сметной стоимости строительства, реконструкции и капитального ремонта объектов капитального строительства. | Оглавление: | Часть 20.1: Арматура линейная Раздел 20.1.01: Зажимы линейной арматуры Раздел 20.1.02: Элементы линейной арматуры Часть 20.2: Арматура электромонтажная Раздел 20.2.01: Гильзы Раздел 20.2.02: Изделия защиты Раздел 20.2.03: Комплектующие для кабеленесущих систем металлические Раздел 20.2.04: Короба кабельные металлические Раздел 20.2.05: Короба кабельные пластиковые Раздел 20.2.06: Кронштейны крепления Раздел 20.2.07: Лотки кабельные металлические Раздел 20.2.08: Материалы и изделия для монтажа и крепления Раздел 20.2.09: Муфты кабельные и изделия для муфт Раздел 20.2.10: Наконечники для кабелей и проводов Раздел 20.2.11: Распорки защитные Раздел 20.2.12: Трубы электроизоляционные Часть 20.3: Материалы и изделия осветительные Раздел 20.3.01: Комплектующие светильников Раздел 20.3.02: Лампы Раздел 20.3.03: Люстры и светильники Раздел 20.3.04: Светильники и осветительные устройства прочие Часть 20.4: Материалы и изделия электроустановочные Раздел 20.4.01: Выключатели для электропроводки Раздел 20.4.02: Предохранители плавкие Раздел 20.4.03: Разъемы и розетки штепсельные Раздел 20.4.04: Шкафы, щитки, ящики для установки электроустройств Часть 20.5: Устройства коммутационные и предохранительные для электрических цепей Раздел 20.5.01: Вводы Раздел 20.5.02: Коробки электротехнические Раздел 20.5.03: Мосты шинные и шины Раздел 20.5.04: Соединители электрические, зажимы контактные, наборы зажимов | Утверждён: | 30.12.2016 Минстрой России (Russian Federation Minstroy 1039/пр)
| Расположен в: |
| Нормативные ссылки: | |
                                                                                               
|