Скачать Книга 06: Изделия керамические строительные (23.3 ОКПД2 Материалы керамические строительные). Федеральные сметные цены на материалы изделия, конструкции и оборудование, применяемые в строительстве. Федеральный сборник сметных цен на материалы, изделия и конструкции, применяемые в строительствеДата актуализации: 10.08.2017
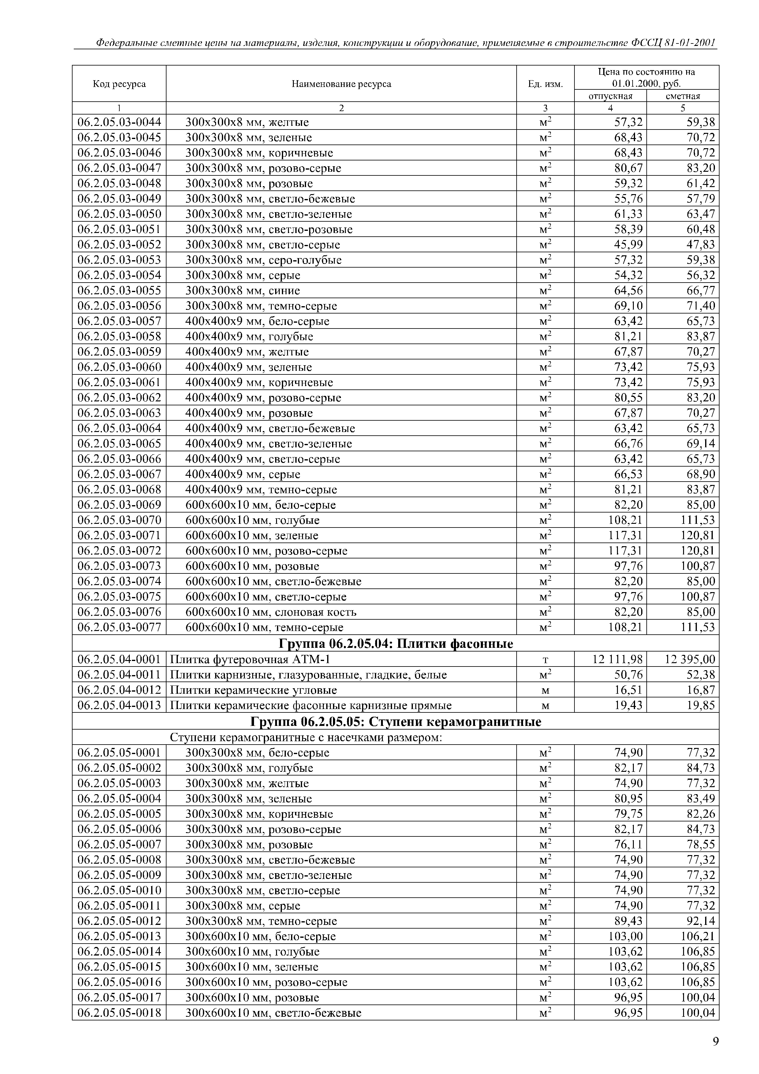
Книга 06: Изделия керамические строительные (23.3 ОКПД2 Материалы керамические строительные). Федеральные сметные цены на материалы изделия, конструкции и оборудование, применяемые в строительстве. Федеральный сборник сметных цен на материалы, изделия и конструкции, применяемые в строительствеСтатус: | действует | Название рус.: | Книга 06: Изделия керамические строительные (23.3 ОКПД2 Материалы керамические строительные). Федеральные сметные цены на материалы изделия, конструкции и оборудование, применяемые в строительстве. Федеральный сборник сметных цен на материалы, изделия и конструкции, применяемые в строительстве | Дата добавления в базу: | 05.05.2017 | Дата актуализации: | 05.05.2017 | Дата введения: | 28.04.2017 | Область применения: | Государственные сметные нормативы "Федеральные сметные цены на материалы, изделия, конструкции и оборудование, применяемые в строительстве" предназначены для определения сметной стоимости строительства, реконструкции и капитального ремонта объектов капитального строительства. | Оглавление: | Часть 06.1: Кирпичи и изделия строительные из обожженной глины Раздел 06.1.01: Кирпичи и камни керамические неогнеупорные строительные Раздел 06.1.02: Изделия керамические строительные прочие Часть 06.2: Плитки керамические Раздел 06.2.01: Плитки керамические глазурованные для внутренней облицовки стен Раздел 06.2.02: Плитки керамические для полов Раздел 06.2.03: Плитки керамические фасадные и ковры из них Раздел 06.2.04: Плитки кислотоупорные и термокислотоупорные керамические Раздел 06.2.05: Плитки керамические прочие | Утверждён: | 30.12.2016 Минстрой России (Russian Federation Minstroy 1039/пр)
| Расположен в: |
| Нормативные ссылки: | |
         
|