| ||||||||||||||||||||||||||||
Скачать МУ 1380-75 Методические указания на колориметрическое определение ацетооксиизопропил-N-фенилкарбамата (ацилат-1), изопропил-N-фенилкарбамата (ИФК) и изопропил-N-хлорфенилкарбамата (хлор-ИФК) в воздухеДата актуализации: 10.08.2017
|
| Обозначение: | МУ 1380-75 |
| Обозначение англ: | MU 1380-75 |
| Статус: | действует |
| Название рус.: | Методические указания на колориметрическое определение ацетооксиизопропил-N-фенилкарбамата (ацилат-1), изопропил-N-фенилкарбамата (ИФК) и изопропил-N-хлорфенилкарбамата (хлор-ИФК) в воздухе |
| Дата добавления в базу: | 01.02.2017 |
| Дата актуализации: | 05.05.2017 |
| Область применения: | Указания предназначены для химиков научно-исследовательских институтов, санитарно-эпидемиологических станций, промышленных лабораторий заводов и медико-санитарных частей, а также для промышленно-санитарных врачей |
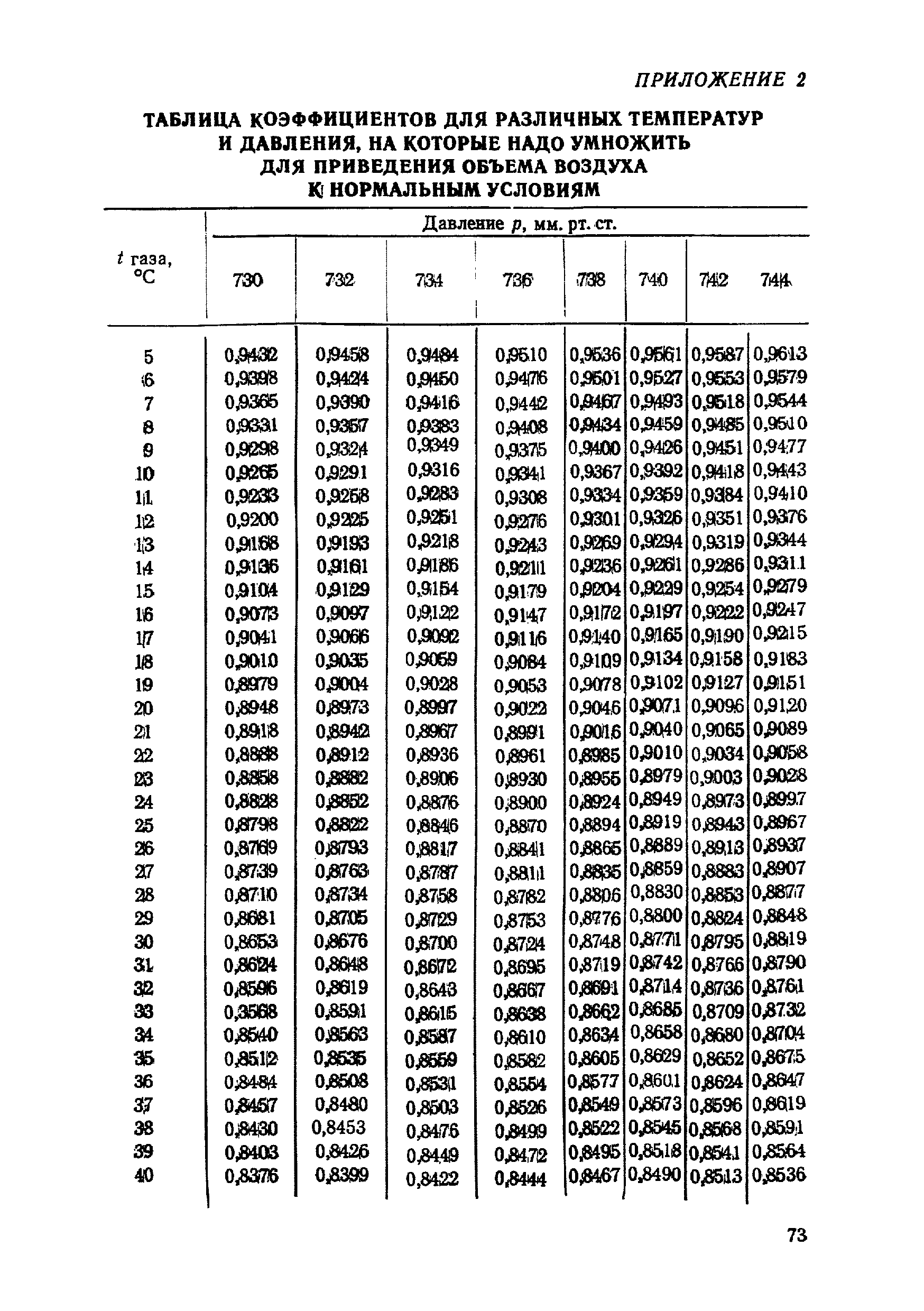
| Оглавление: | I Общая часть II Реактивы и аппаратура III Отбор пробы воздуха IV Описание определения Приложения |
| Утверждён: | 30.12.1975 Заместитель Главного государственного санитарного врача СССР |
| Издан: | Рекламинформбюро ММФ (1977 г. ) |
| Расположен в: | |
| Нормативные ссылки: |












