| ||||||||||||||||||||||||||||||||||||
Скачать ГОСТ Р 56962-2016 Рыба, нерыбные объекты и продукция из них. Метод определения остаточного содержания трифенилметановых красителей с помощью сверхвысокоэффективной жидкостной хроматографии с времяпролетным масс-спектрометрическим детектором высокого разрешенияДата актуализации: 10.08.2017
|
| Обозначение: | ГОСТ Р 56962-2016 |
| Обозначение англ: | GOST R 56962-2016 |
| Статус: | принят |
| Название рус.: | Рыба, нерыбные объекты и продукция из них. Метод определения остаточного содержания трифенилметановых красителей с помощью сверхвысокоэффективной жидкостной хроматографии с времяпролетным масс-спектрометрическим детектором высокого разрешения |
| Название англ.: | Fish, non-fish objects and products from them. Method for determination of residual content of triphenylmethane dyes using ultra performance liquid chromatography-quadrupole-time-of-flight mass spectrometry |
| Дата добавления в базу: | 01.02.2017 |
| Дата актуализации: | 05.05.2017 |
| Дата введения: | 14.06.2016 |
| Дата окончания срока действия: | 01.07.2017 |
| Область применения: | Стандарт распространяется на рыбу, нерыбные объекты (ракообразные, моллюски) и продукцию из них и устанавливает метод сверхвысокоэффективной жидкостной хроматографии с времяпролетным масс-спектрометрическим детектором высокого разрешения (далее - СВЭЖХ-ВПМС/МС) для определения остаточного содержания трифенилметановых красителей в диапазоне измерений от 0,5 до 6,0 мкг/кг. |
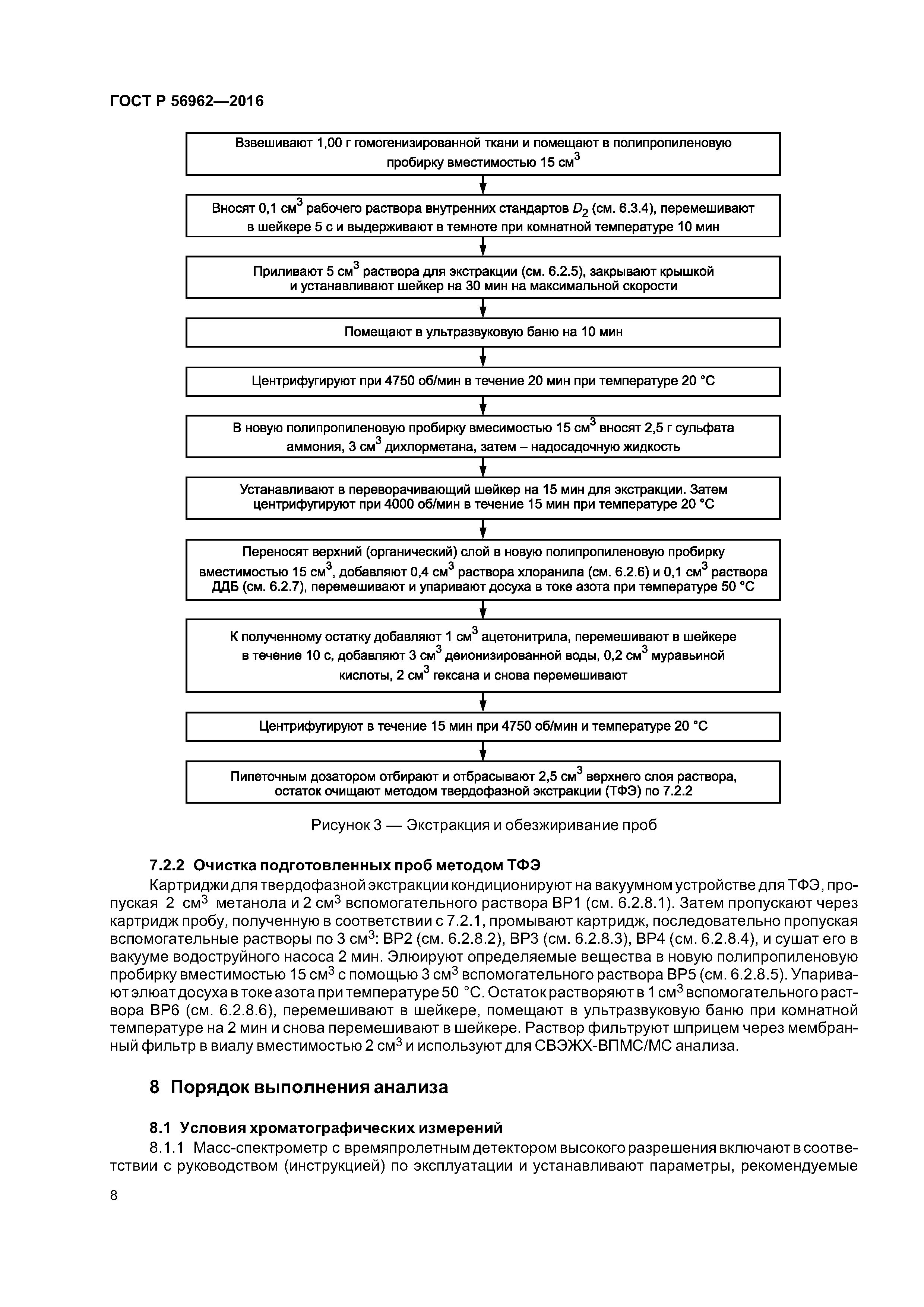
| Оглавление: | 1 Область применения 2 Нормативные ссылки 3 Сущность метода 4 Требования безопасности и условия выполнения измерений 5 Средства измерений, аппаратура, материалы, посуда и реактивы 6 Подготовка к проведению измерений 6.1 Подготовка лабораторной посуды и реактивов 6.2 Приготовление растворов 6.3 Приготовление градуировочных растворов 7 Отбор и подготовка проб 7.1 Отбор проб 7.2 Подготовка проб 8 Порядок выполнения анализа 8.1 Условия хроматографических измерений 8.2 Построение градуировочной характеристики 8.3 СВЭЖХ-ВПМС/МС измерение 9 Обработка результатов измерений 10 Метрологические характеристики 11 Оформление результатов измерений 12 Контроль стабильности результатов измерений |
| Разработан: | ФГБУ ВГНКИ |
| Утверждён: | 14.06.2016 Федеральное агентство по техническому регулированию и метрологии (621-ст) |
| Издан: | Стандартинформ (2016 г. ) |
| Расположен в: | |
| Нормативные ссылки: |
|














