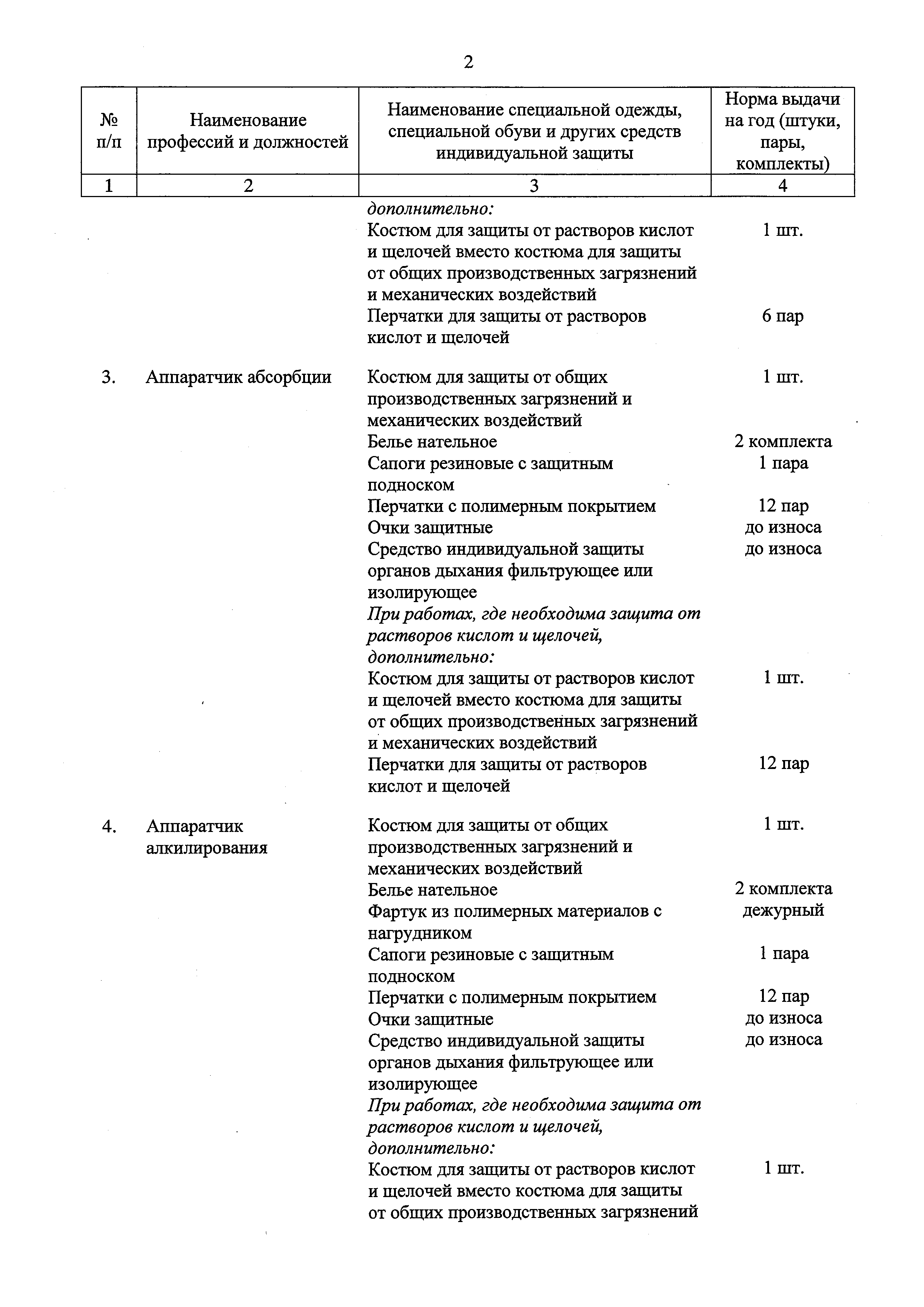
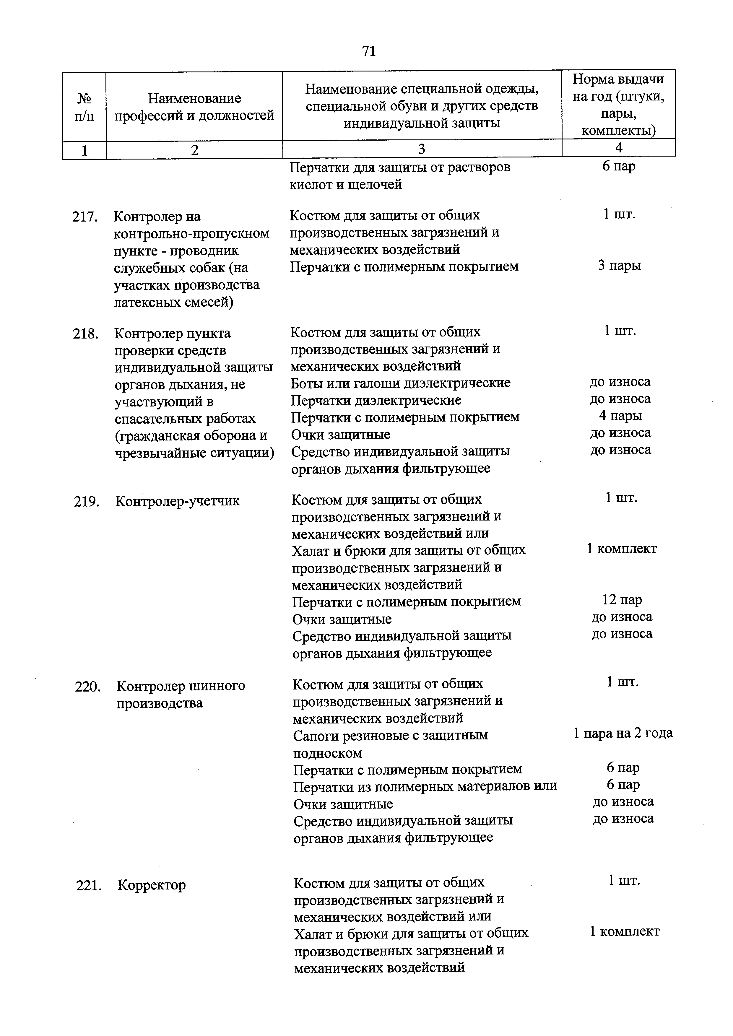
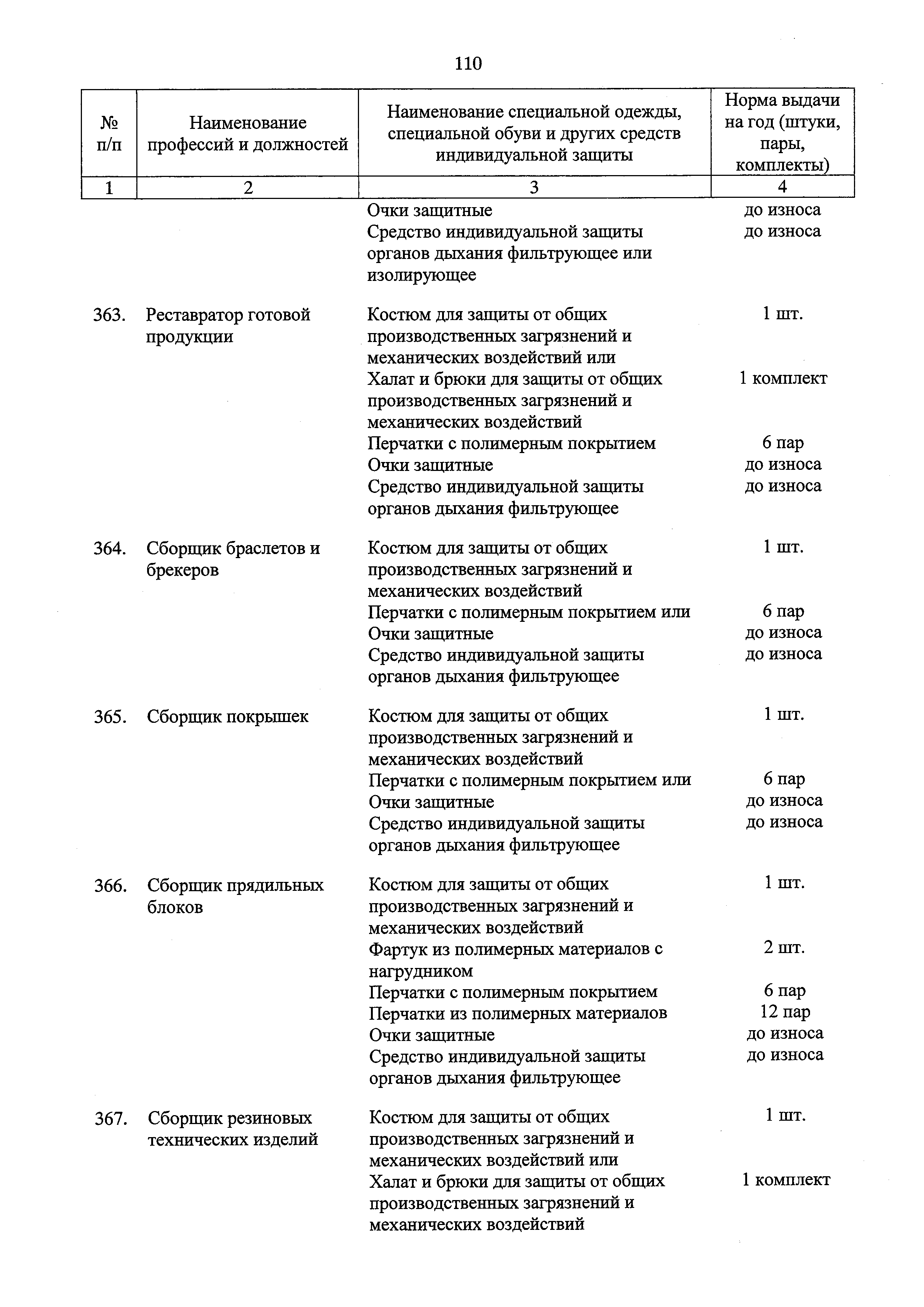
Скачать Приказ 1110н Типовые нормы бесплатной выдачи специальной одежды, специальной обуви и других средств индивидуальной защиты работникам организаций нефтеперерабатывающей и нефтехимической промышленности, занятым на работах с вредными и (или) опасными условиями труда, а также на работах, выполняемых в особых температурных условиях или связанных с загрязнениемДата актуализации: 10.08.2017 Приказ 1110н
Типовые нормы бесплатной выдачи специальной одежды, специальной обуви и других средств индивидуальной защиты работникам организаций нефтеперерабатывающей и нефтехимической промышленности, занятым на работах с вредными и (или) опасными условиями труда, а также на работах, выполняемых в особых температурных условиях или связанных с загрязнением| Обозначение: | Приказ 1110н | | Обозначение англ: | Directive 1110н | | Статус: | действует | | Название рус.: | Типовые нормы бесплатной выдачи специальной одежды, специальной обуви и других средств индивидуальной защиты работникам организаций нефтеперерабатывающей и нефтехимической промышленности, занятым на работах с вредными и (или) опасными условиями труда, а также на работах, выполняемых в особых температурных условиях или связанных с загрязнением | | Дата добавления в базу: | 12.02.2016 | | Дата актуализации: | 05.05.2017 | | Дата введения: | 28.04.2016 | | Утверждён: | 22.12.2015 Министерство труда и социальной защиты РФ (1110н)
| | Издан: | Официальный интернет-портал правовой информации (www.pravo.gov.ru) (от 27.01.2016 г. Номер опубликования: 0001201601270023)
| | Расположен в: |
|
                                                                                                                            
|