| ||||||||||||||||||||||||||||||||||
Скачать ГОСТ Р 50645-94 Туристско-экскурсионное обслуживание. Классификация гостиницДата актуализации: 10.08.2017
|
| Обозначение: | ГОСТ Р 50645-94 |
| Обозначение англ: | GOST R 50645-94 |
| Статус: | отменен |
| Название рус.: | Туристско-экскурсионное обслуживание. Классификация гостиниц |
| Название англ.: | Tourist and excursion service. Classification for hotels |
| Дата добавления в базу: | 01.02.2017 |
| Дата актуализации: | 05.05.2017 |
| Дата введения: | 26.06.2003 |
| Область применения: | Стандарт устанавливает классификацию гостиниц (мотелей) различных организационно-правовых форм вместимостью не менее 10 номеров. Классификация не распространяется на дома и помещения, сдаваемые внаем для проживания. Стандарт пригоден для применения в целях сертификации гостиниц (мотелей). |
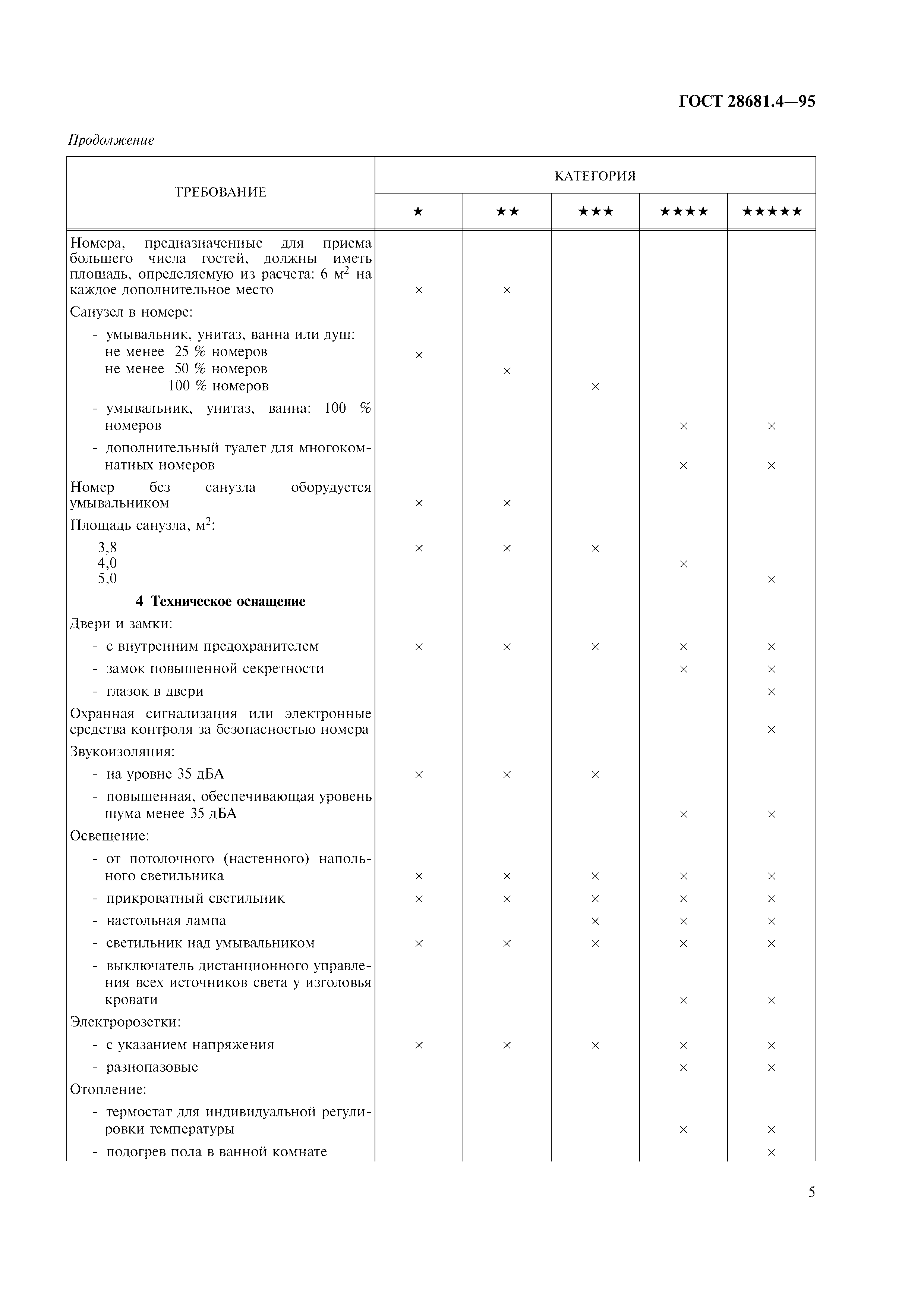
| Оглавление: | 1 Область применения 2 Нормативные ссылки 3 Определения 4 Общие требования к гостиницам Приложение А (обязательное) Требования к гостиницам различных категорий |
| Разработан: | ТК 199 Туристские услуги и услуги средств размещения |
| Утверждён: | 21.02.1994 Госстандарт России (Russian Federation Gosstandart 33) |
| Издан: | ИПК Издательство стандартов (2004 г. ) |
| Расположен в: | |
| Нормативные ссылки: |















