| ||||||||||||||||||||||||||||||||||||
Скачать ГОСТ IEC 60958-1-2014 Интерфейс цифровой звуковой. Часть 1. Общие положенияДата актуализации: 10.08.2017
|
| Обозначение: | ГОСТ IEC 60958-1-2014 |
| Обозначение англ: | 60958-1-2014 |
| Статус: | введен впервые |
| Название рус.: | Интерфейс цифровой звуковой. Часть 1. Общие положения |
| Название англ.: | Digital audio interface. Part 1. General |
| Дата добавления в базу: | 01.02.2017 |
| Дата актуализации: | 05.05.2017 |
| Дата введения: | 01.11.2016 |
| Область применения: | Стандарт распространяется на последовательный однонаправленный самосинхронизирующийся интерфейс для подключения цифровой звуковой аппаратуры бытового и профессионального применения. |
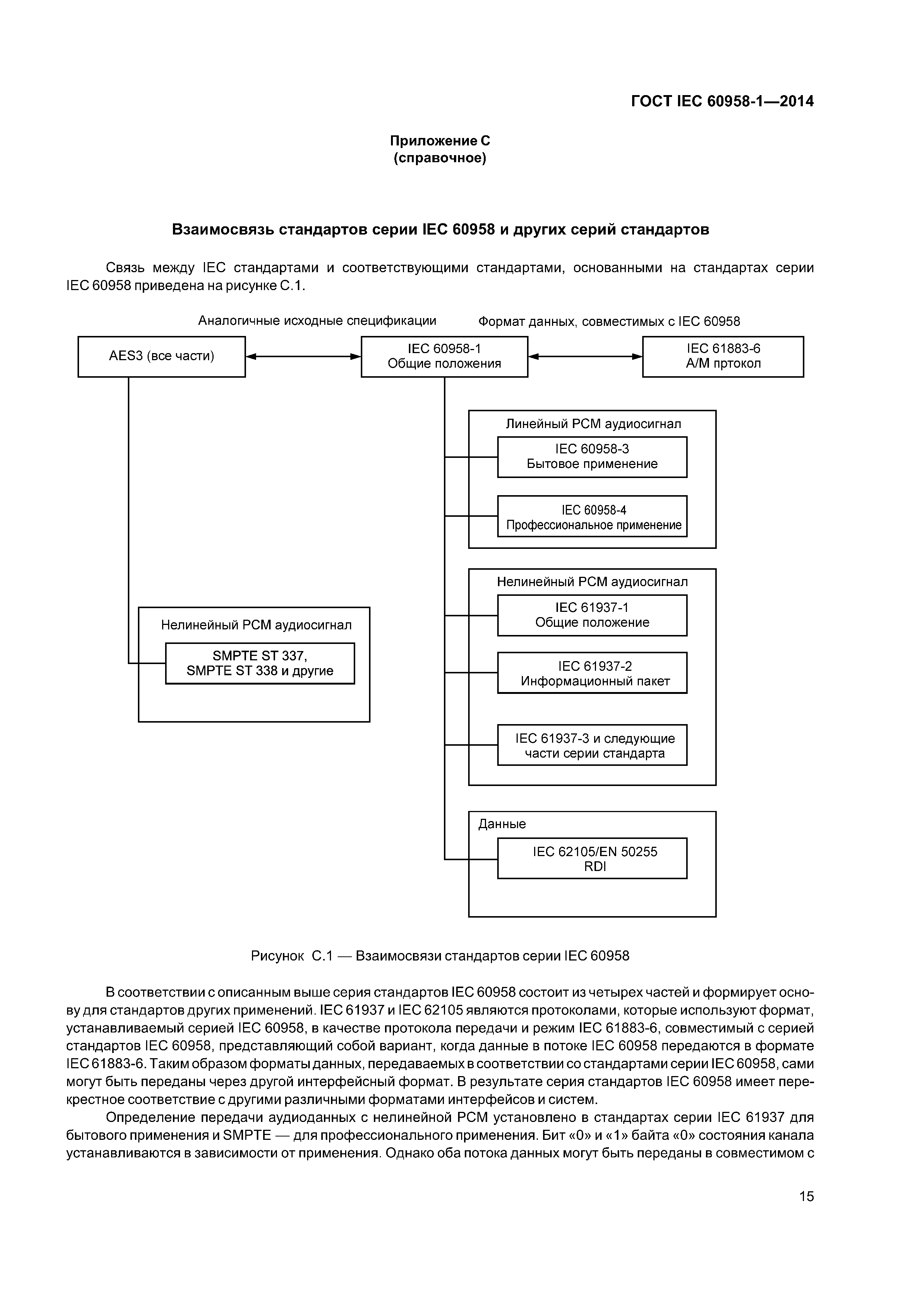
| Оглавление: | 1 Область применения 2 Нормативные ссылки 3 Термины и определения 4 Формат интерфейса 4.1 Структура формата 4.2 Кодирование в канале 4.3 Преамбулы 4.4 Бит достоверности 5 Состояние канала 5.1 Общие положения 5.2 Применения 5.3 Основные значения первых двух битов состояния канала 5.4 Коды категорий 6 Данные пользователя 6.1 Общие положения 6.2 Применения 7 Электрические требования 7.1 Бытовое применение 7.2 Профессиональное применение 8 Оптические требования 8.1 Бытовое применение 8.2 Профессиональное применение Приложение А (справочное) Применение бита достоверности Приложение В (справочное) Документы и спецификации для различных видов применений Приложение С (справочное) Взаимосвязь стандартов серии IЕС 60958 и других серий стандартов Приложение D (справочное) Передача данных компакт-диска (СD), отличных от аудиосигнала с линейной РСМ Приложение Е (справочное) Формат данных, совместимый с форматом данных стандартов серии IЕС 60958 Приложение F (справочное) Смена потока Приложение G (справочное) Характеристики оптического соединения Приложение ДА (справочное) Сведения о соответствии межгосударственных стандартов ссылочным международным стандартам Библиография |
| Разработан: | АНО НТЦ СЭ ИСЭП |
| Утверждён: | 04.12.2014 Межгосударственный Совет по стандартизации, метрологии и сертификации (Inter-Governmental Council on Standardization, Metrology, and Certification 46) 13.10.2015 Федеральное агентство по техническому регулированию и метрологии (1547-ст) |
| Издан: | Стандартинформ (2016 г. ) |
| Расположен в: | |
| Список изменений: |
|
| Нормативные ссылки: |




























Текстовое изменение Поправка от 30.05.2016