| ||||||||||||||||||||||||||||||||||
Скачать ГОСТ IEC 61606-4-2014 Аудио- и аудиовизуальное оборудование. Компоненты цифровой аудиоаппаратуры. Основные методы измерений звуковых характеристик. Часть 4. Персональный компьютерДата актуализации: 10.08.2017
|
| Обозначение: | ГОСТ IEC 61606-4-2014 |
| Обозначение англ: | 61606-4-2014 |
| Статус: | введен впервые |
| Название рус.: | Аудио- и аудиовизуальное оборудование. Компоненты цифровой аудиоаппаратуры. Основные методы измерений звуковых характеристик. Часть 4. Персональный компьютер |
| Название англ.: | Audio and audiovisual equipment. Digital audio parts. Basic measurement methods of audio characteristics. Part 4. Personal computer |
| Дата добавления в базу: | 01.02.2017 |
| Дата актуализации: | 05.05.2017 |
| Дата введения: | 01.11.2016 |
| Область применения: | Стандарт устанавливает основные методы измерений сигнала с линейной импульсно-кодовой модуляцией (PCM) для аудио компонентов персональных компьютеров и применяется как к настольным, так и к портативным компьютерам. |
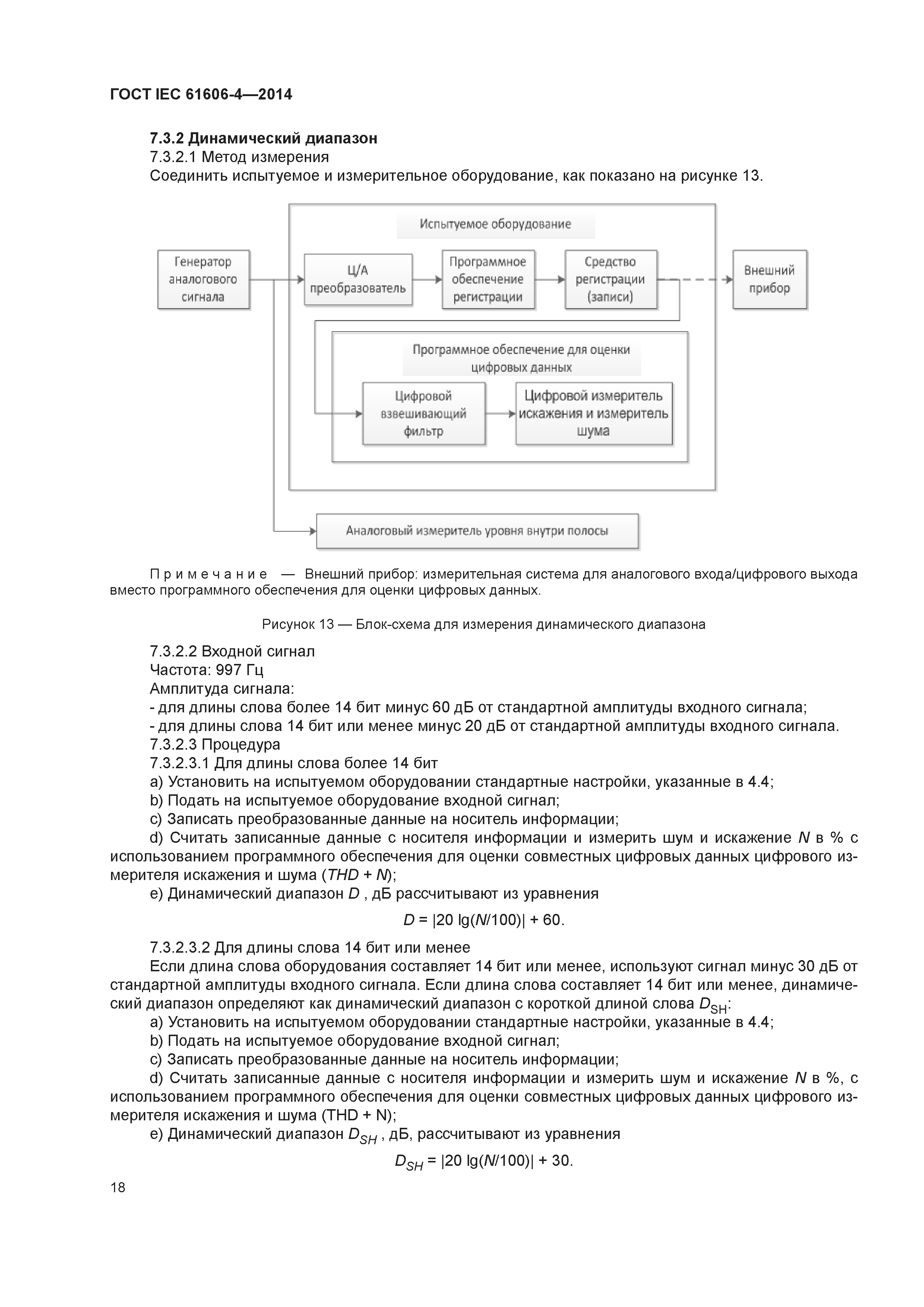
| Оглавление: | 1 Область применения 2 Нормативные ссылки 3 Термины, определения и аббревиатуры 3.1 Термины и определения 3.2 Аббревиатуры 3.3 Номинальные значения 4 Условия измерений 4.1 Условия окружающей среды 4.2 Источник электропитания 4.3 Частоты испытательного сигнала 4.4 Стандартная настойка 4.5 Рабочие настойки 4.6 Предварительная выдержка при заданных условиях 5 Измерительные приборы 5.1 Генератор аналоговых сигналов 5.2 Измеритель уровня аналоговый внутриполосовой 5.3 Аналоговый низкочастотный фильтр 5.4 Аналоговый взвешивающий фильтр 5.5 Стандартный носитель информации 5.6 Регистрирующий носитель информации (средство регистрации) 5.7 Программное обеспечение для оценки цифровых данных 5.8 Измеритель кратковременных искажений 5.9 Другие приборы 6 Методы измерений (цифровой вход/аналоговый выход) 6.1 Характеристики входа/выхода 6.2 Амплитудно-частотная характеристика 6.3 Характеристики шума 6.4 Характеристики искажения 7 Методы измерений (аналоговый вход/цифровой выход) 7.1 Характеристики входа/выхода 7.2 Амплитудно-частотная характеристика 7.3 Характеристики шума 7.4 Характеристики искажения Приложение ДА (справочное) Сведения о соответствии межгосударственных стандартов ссылочным международным стандартам |
| Разработан: | АНО НТЦ СЭ ИСЭП |
| Утверждён: | 04.12.2014 Межгосударственный Совет по стандартизации, метрологии и сертификации (Inter-Governmental Council on Standardization, Metrology, and Certification 46) 31.08.2015 Федеральное агентство по техническому регулированию и метрологии (1231-ст) |
| Издан: | Стандартинформ (2016 г. ) |
| Расположен в: | |
| Нормативные ссылки: |
|





























