Информационная система
«Ёшкин Кот»

Скачать базу одним архивом
Скачать обновления
История создания базы
Карта сайта

Скачать ГОСТ Р ИСО 20140-1-2014 Системы промышленной автоматизации и интеграция. Оценка энергетической эффективности и прочих факторов производственных систем, воздействующих на окружающую среду. Часть 1. Обзор и общие принципы

Дата актуализации: 10.08.2017

ГОСТ Р ИСО 20140-1-2014

Системы промышленной автоматизации и интеграция. Оценка энергетической эффективности и прочих факторов производственных систем, воздействующих на окружающую среду. Часть 1. Обзор и общие принципы

Обозначение: ГОСТ Р ИСО 20140-1-2014
Обозначение англ: GOST R ISO 20140-1-2014
Статус:введен впервые
Название рус.:Системы промышленной автоматизации и интеграция. Оценка энергетической эффективности и прочих факторов производственных систем, воздействующих на окружающую среду. Часть 1. Обзор и общие принципы
Название англ.:Automation systems and integration. Evaluating energy efficiency and other factors of manufacturing systems that influence the environment. Part 1. Overview and general principles
Дата добавления в базу:12.02.2016
Дата актуализации:05.05.2017
Дата введения:01.01.2016
Область применения:Стандарт содержит обзор и общие принципы метода оценки воздействия производственных систем на окружающую среду. ИСО 20140 устанавливает для отраслей промышленности с дискретным производством основные положения и методологию оценки воздействия на окружающую среду в части энергетической эффективности и прочих факторов производства. Это повышает эффективность использования целевых методов в характерных ситуациях. В область применения настоящего стандарта не входит: - методология оценки воздействия на окружающую среду для систем, находящихся за пределами производственной системы (например, прочие системы рассматриваемого производственного объекта или прочие системы всего предприятия); - методология оценки воздействия на окружающую среду, связанная с управлением жизненным циклом продукции; - методы и данные оценки окружающей среды, относящиеся к конкретной области производства, конкретному производителю или оборудованию.
Оглавление:1 Область применения
2 Нормативные ссылки
3 Термины, определения и сокращения
   3.1 Термины и определения
   3.2 Сокращения
4 Производственная система и оценка ее воздействия на окружающую среду
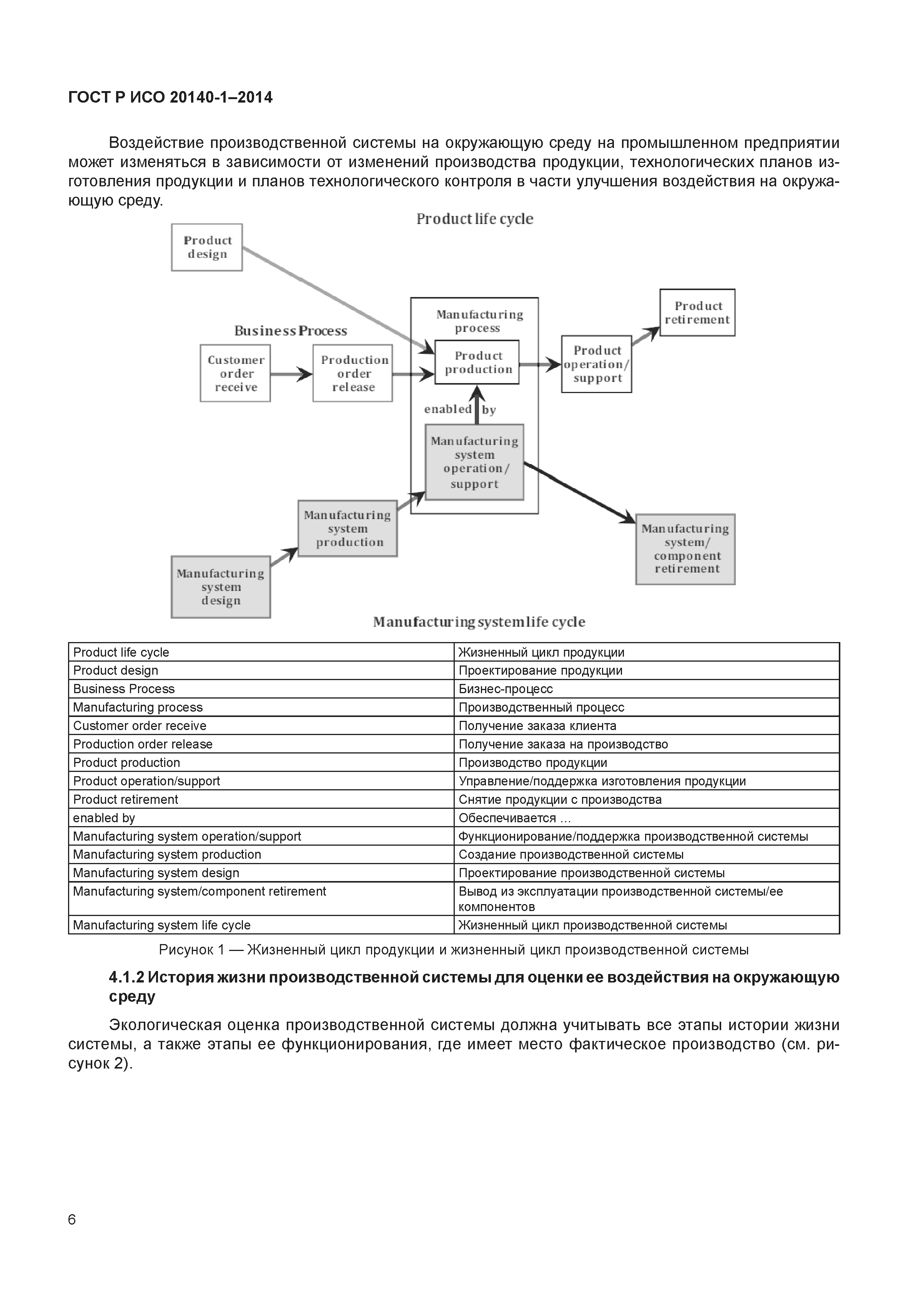
   4.1 Жизненный цикл продукции и история жизни производственной системы
   4.2 Иерархическая структура производственной системы
   4.3 Оценка воздействия на окружающую среду
5 Метод оценки воздействия на окружающую среду
   5.1 Методология оценки воздействия на окружающую среду
   5.2 Единичный процесс производственного процесса
   5.3 Воздействие на окружающую среду
   5.4 Оценка индекса окружающей среды
6 Процесс оценки воздействия на окружающую среду
   6.1 Процесс оценки индекса окружающей среды
   6.2 Процесс агрегации воздействия на окружающую среду
   6.3 Процесс распределения/накопления непрямого воздействия/CRR-воздействия
7 Данные для оценки воздействия на окружающую среду
   7.1 Общие положения
   7.2 Категории данных оценки воздействия на окружающую среду
   7.3 Фактические данные на этапе функционирования
   7.4 Фактические данные на этапах построения/реконфигурирования и вывода системы из эксплуатации
   7.5 Справочные данные
   7.6 Данные о характеристиках окружающей среды (ECD)
   7.7 Существующие стандарты данных
Приложение А (справочное) Модель истории жизни производственной системы и ее воздействия на окружающую среду
Приложение В (справочное) Ответственность организации в части воздействия на окружающую среду
Приложение С (справочное) Примеры применения ИСО 20140
Приложение D (Справочное) Входные/выходные данные единичного процесса
Приложение Е (справочное) Классы соответствия ИСО 20140
Приложение F (справочное) Структура ИСО 20140
Приложение ДА (справочное) Сведения о соответствии ссылочных международных стандартов ссылочным национальным стандартам Российской Федерации
Библиография
Разработан: ООО НИИ Интерэкомс
Утверждён:26.11.2014 Федеральное агентство по техническому регулированию и метрологии (1872-ст)
Издан: Стандартинформ (2015 г. )
Расположен в:Техническая документация Электроэнергия МАШИНОСТРОЕНИЕ Промышленные автоматизированные системы Промышленные автоматизированные системы в целом Экология МАШИНОСТРОЕНИЕ Промышленные автоматизированные системы Промышленные автоматизированные системы в целом
Нормативные ссылки:
ГОСТ Р ИСО 20140-1-2014ГОСТ Р ИСО 20140-1-2014ГОСТ Р ИСО 20140-1-2014ГОСТ Р ИСО 20140-1-2014ГОСТ Р ИСО 20140-1-2014ГОСТ Р ИСО 20140-1-2014ГОСТ Р ИСО 20140-1-2014ГОСТ Р ИСО 20140-1-2014ГОСТ Р ИСО 20140-1-2014ГОСТ Р ИСО 20140-1-2014ГОСТ Р ИСО 20140-1-2014ГОСТ Р ИСО 20140-1-2014ГОСТ Р ИСО 20140-1-2014ГОСТ Р ИСО 20140-1-2014ГОСТ Р ИСО 20140-1-2014ГОСТ Р ИСО 20140-1-2014ГОСТ Р ИСО 20140-1-2014ГОСТ Р ИСО 20140-1-2014ГОСТ Р ИСО 20140-1-2014ГОСТ Р ИСО 20140-1-2014ГОСТ Р ИСО 20140-1-2014ГОСТ Р ИСО 20140-1-2014ГОСТ Р ИСО 20140-1-2014ГОСТ Р ИСО 20140-1-2014ГОСТ Р ИСО 20140-1-2014ГОСТ Р ИСО 20140-1-2014ГОСТ Р ИСО 20140-1-2014ГОСТ Р ИСО 20140-1-2014ГОСТ Р ИСО 20140-1-2014ГОСТ Р ИСО 20140-1-2014ГОСТ Р ИСО 20140-1-2014ГОСТ Р ИСО 20140-1-2014ГОСТ Р ИСО 20140-1-2014ГОСТ Р ИСО 20140-1-2014ГОСТ Р ИСО 20140-1-2014ГОСТ Р ИСО 20140-1-2014ГОСТ Р ИСО 20140-1-2014ГОСТ Р ИСО 20140-1-2014ГОСТ Р ИСО 20140-1-2014ГОСТ Р ИСО 20140-1-2014ГОСТ Р ИСО 20140-1-2014ГОСТ Р ИСО 20140-1-2014ГОСТ Р ИСО 20140-1-2014ГОСТ Р ИСО 20140-1-2014ГОСТ Р ИСО 20140-1-2014ГОСТ Р ИСО 20140-1-2014ГОСТ Р ИСО 20140-1-2014ГОСТ Р ИСО 20140-1-2014ГОСТ Р ИСО 20140-1-2014ГОСТ Р ИСО 20140-1-2014ГОСТ Р ИСО 20140-1-2014ГОСТ Р ИСО 20140-1-2014ГОСТ Р ИСО 20140-1-2014ГОСТ Р ИСО 20140-1-2014ГОСТ Р ИСО 20140-1-2014ГОСТ Р ИСО 20140-1-2014ГОСТ Р ИСО 20140-1-2014ГОСТ Р ИСО 20140-1-2014

© 2013 Ёшкин Кот :-) Карта сайта