| ||||||||||||||||||||||||||||||||||
Скачать ГОСТ Р 56269-2014 Экологический менеджмент. Оценка жизненного цикла. Примеры применения ИСО 14044 к ситуациям воздействияДата актуализации: 10.08.2017
|
| Обозначение: | ГОСТ Р 56269-2014 |
| Обозначение англ: | GOST R 56269-2014 |
| Статус: | введен впервые |
| Название рус.: | Экологический менеджмент. Оценка жизненного цикла. Примеры применения ИСО 14044 к ситуациям воздействия |
| Название англ.: | Environmental management. Life cycle assessment. Illustrative examples on how to apply ISO 14044 to impact assessment situations |
| Дата добавления в базу: | 12.02.2016 |
| Дата актуализации: | 05.05.2017 |
| Дата введения: | 01.01.2016 |
| Область применения: | Стандарт устанавливает примеры, иллюстрирующие существующую методику проведения оценки негативных воздействий на окружающую среду на стадиях жизненного цикла продукции согласно ИСО 14044:2006. Эти примеры являются небольшой частью возможных способов удовлетворения требований ИСО 14044 и предлагают «способ» или «способы», а не «уникальный способ» применения ИСО 14044. Примеры отражают ключевые элементы фазы оценки воздействий при оценке жизненного цикла продукции (ОВЖЦ). Примеры, представленные в настоящем стандарте, не являются исключительными, существуют и другие примеры решения методологических проблем. |
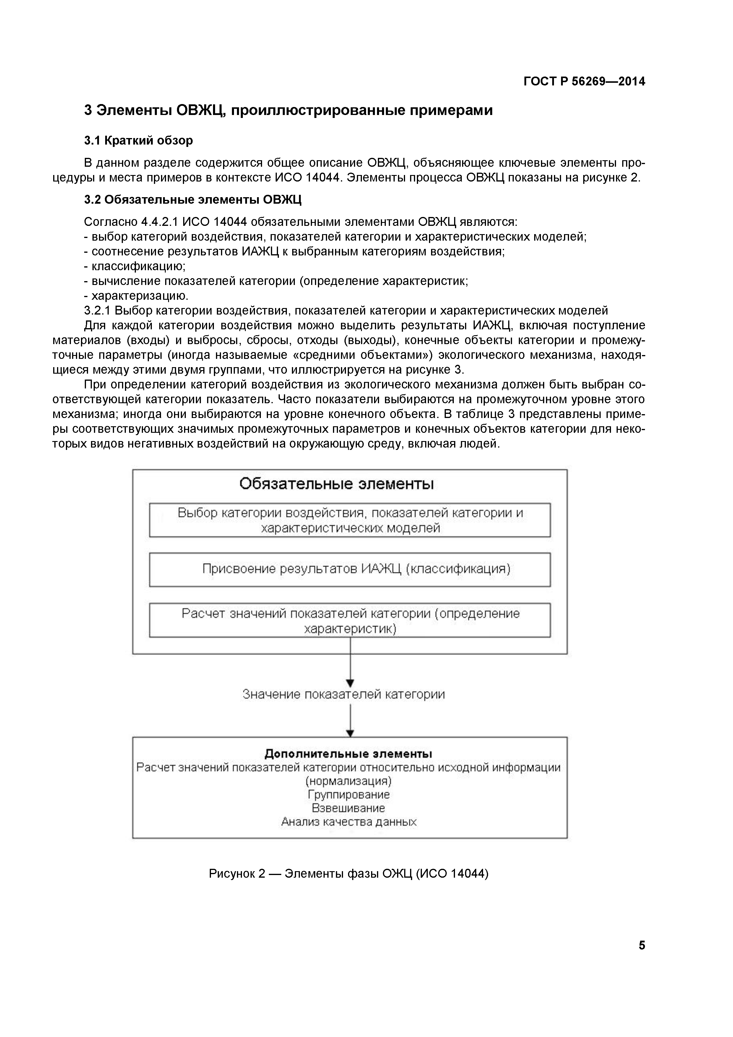
| Оглавление: | 1 Область применения 2 Построение примеров в настоящем стандарте 2.1 Обязательные и дополнительные элементы 2.2 Область применения примеров 3 Элементы ОВЖЦ, проиллюстрированные примерами 3.1 Краткий обзор 3.2 Обязательные элементы ОВЖЦ 3.3 Дополнительные элементы ОВЖЦ (4.4.3 ИСО 14044) 4 Примеры обязательных элементов ОВЖЦ 4.1 Общее описание 4.2 Пример 1. Использование двух различных материалов для газовых трубопроводов 4.3 Пример 2. два показателя категории воздействия при окислении 4.4 Пример 3. Воздействия выбросов парникового газа (ПГ) и осадков углерода на лесохозяйственную деятельность 4.5 Пример 4. Оценка показателей категории в конечном объекте 4.6 Пример 5. Выбор материала для ветровых закрылков при исследовании проекта автомобиля 5 Примеры дополнительных элементов ОВЖЦ 5.1 Краткий обзор 5.2 Пример 1. Продолжение 5.3 Пример 2. Продолжение 5.4 Пример 6. Нормализация значений показателей ОВЖЦ при использовании различных холодильных газов 5.5 Пример 7. Нормализация в исследованиях по управлению отходами 5.6 Пример 1.Продолжение 5.7 Пример 5. Продолжение 5.8 Пример 8. Метод определения весовых коэффициентов 5.9 Пример 1. Продолжение 5.10 Пример 5. Продолжение 5.11 Пример 1.Продолжение Приложение ДА (справочное) Сведения о соответствии ссылочных международных стандартов ссылочным национальным стандартам Российской Федерации Библиография |
| Разработан: | АНО Международная академия качества бизнеса |
| Утверждён: | 26.11.2014 Федеральное агентство по техническому регулированию и метрологии (1855-ст) |
| Издан: | Стандартинформ (2015 г. ) |
| Расположен в: | |
| Нормативные ссылки: |
|







































































































