| ||||||||||||||||||||||||
Скачать Рекомендации по расчету оснований фундаментов с наклонной подошвойДата актуализации: 10.08.2017 |
| Статус: | cправочные материалы, мп, тпр |
| Название рус.: | Рекомендации по расчету оснований фундаментов с наклонной подошвой |
| Дата добавления в базу: | 21.05.2015 |
| Дата актуализации: | 05.05.2017 |
| Область применения: | Рекомендации содержат разработанную применительно к фундаментам с наклонной подошвой методику расчета оснований по несущей способности, апробированную на ряде объектов сельского строительства. |
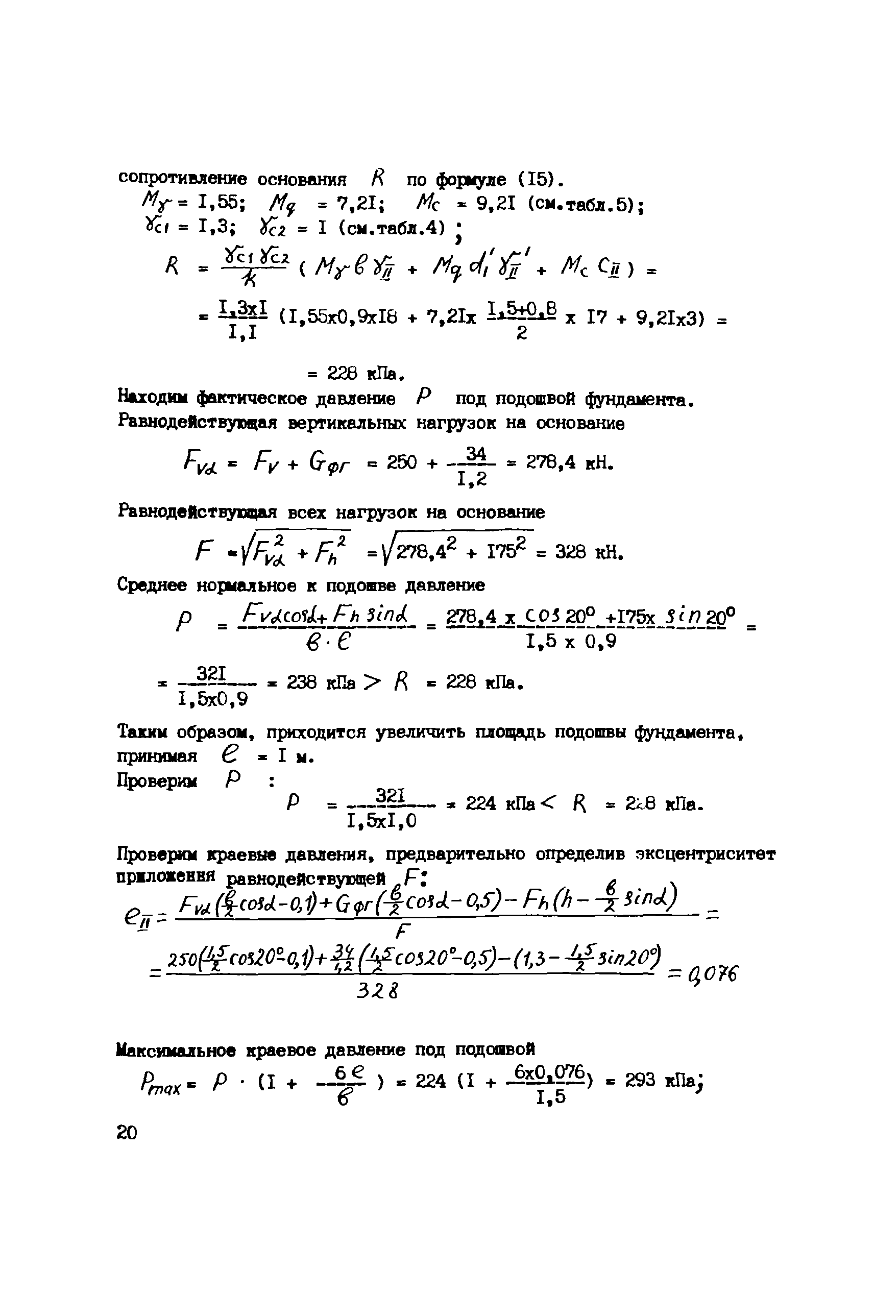
| Оглавление: | I. Общие положения . II. Расчет оснований по первому предельному состоянию ( по несущей способности) III. Расчет оснований по второму предельному состоянию, по деформациям) IV Примеры расчета Приложения. Номограммы для определения коэффициентов N |
| Разработан: | НИИОСП им. Н.М. Герсеванова Госстроя СССР |
| Утверждён: | НИИОСП им. Н.М. Герсеванова Госстроя СССР (Gersevanov NIIOSP, USSR Gosstroy ) |
| Расположен в: | |
| Нормативные ссылки: |


























