| ||||||||||||||||||||||||||||||
Скачать ТЕР 2001-24 Московской области Теплоснабжение и газопроводы - наружные сети. Территориальные единичные расценки для определения стоимости строительства в Московской областиДата актуализации: 10.08.2017
|
| Обозначение: | ТЕР 2001-24 Московской области |
| Обозначение англ: | TER 2001-24 Московской области |
| Статус: | действует |
| Название рус.: | Теплоснабжение и газопроводы - наружные сети. Территориальные единичные расценки для определения стоимости строительства в Московской области |
| Дата добавления в базу: | 21.05.2015 |
| Дата актуализации: | 05.05.2017 |
| Область применения: | Предназначены для определения прямых затрат в сметной стоимости строительно-монтажных работ по подземной и надземной прокладке тепловых сетей, включая бесканальную и подвальную прокладку трубопроводов в армопенобетонной, битумоперлитовой и пенополиуретановой изоляции, а также для расчетов за выполненные работы. |
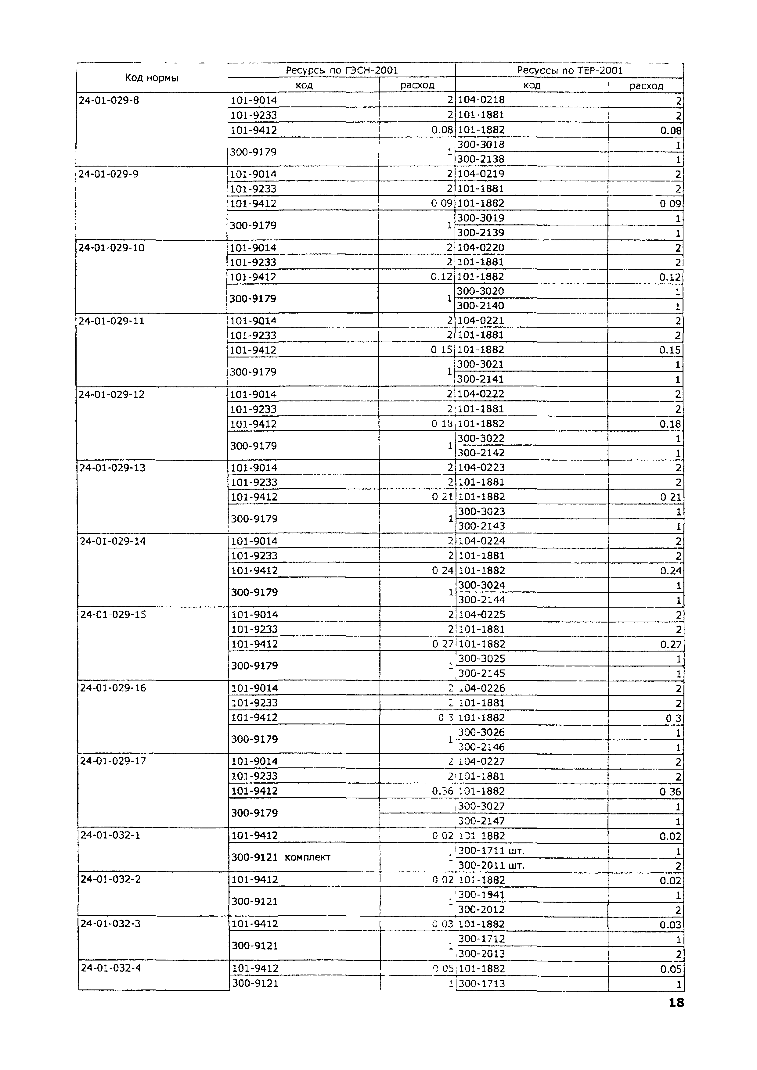
| Оглавление: | Техническая часть 1. Общие указания 2. Правила исчисления объемов работ 3. Коэффициенты к расценкам Таблица 24-01-001. Прокладка трубопроводов в каналах и надземная при условном давлении 0,6 МПа, температуре 115 градусов Цельсия Таблица 24-01-002. Прокладка трубопроводов в непроходном канале при условном давлении 1,6 МПа, температуре 150 градусов Цельсия Таблица 24-01-003. Прокладка трубопроводов в проходном канале при условном давлении 1,6 МПа, температуре 150 градусов Цельсия Таблица 24-01-004. Надземная прокладка трубопроводов при условном давлении 1,6 МПа, температуре 150 градусов Цельсия Таблица 24-01-005. Прокладка трубопроводов в непроходном канале при условном давлении 2,5 МПа, температуре 300 градусов Цельсия Таблица 24-01-006. Прокладка трубопроводов в проходном канале при условном давлении 2,5 МПа, температуре 300 градусов Цельсия Таблица 24-01-007. Надземная прокладка трубопроводов при условном давлении 2,5 МПа, температуре температуре 300 градусов Цельсия Таблица 24-01-008. Прокладка трубопроводов в непроходном канале в изоляции из пенополиуретана (ППУ) при условном давлении 1,6 МПа, температуре 150 градусов Цельсия Таблица 24-01-009. Надземная прокладка трубопроводов в изоляции из пенополиуретана (ППУ) при условном давлении 1,6 МПа, температуре 150 градусов Цельсия Таблица 24-01-010. Подвальная прокладка трубопроводов в изоляции из пенополиуретана (ППУ) с изоляцией стыков при условном давлении 1,6 МПа, температуре 150 градусов Цельсия Таблица 24-01-017. Бесканальная прокладка трубопроводов в битумоперлитовой изоляции при условном давлении 1,6 МПа, температуре 150 градусов Цельсия Таблица 24-01-018. Бесканальная прокладка подающих и обратных трубопроводов диаметром до 250 мм в армопенобетонной изоляции при условном давления 1,6 МПа, температуре 150 градусов Цельсия Таблица 24-01-019. Бесканальная прокладка подающих и обратных трубопроводов диаметром свыше 300 мм в армопенобетонной изоляции при условном давлении 1,6 МПа, температуре 150 градусов Цельсия Таблица 24-01-020. Бесканальная прокладка трубопроводов в изоляции из пенополнуретана (ППУ) с изоляцией стыков скорлупами при условном давлении 1,6 МПа, температуре 150 градусов Цельсия Таблица 24-01-021. Бесканальная прокладка трубопроводов в изоляции из пенополиуретана (ППУ) с изоляцией стыков методом заливки при условном давлении 1,6 МПа, температуре 150 градусов Цельсия Таблица 24-01-027. Установка сальниковых компенсаторов Таблица 24-01-028. Установка П-образных компенсаторов Таблица 24-01-029. Установка сильфонных компенсаторов с несъемным кожухом Таблица 24-01-032. Установка задвижек или клапанов стальных для горячей воды и пара Таблица 24-01-033. Установка вентилей и клапанов обратных муфтовых Таблица 24-01-034. Установка грязевиков Таблица 24-03-001. Укладка лежневых опор для золошлакопроводов из сборных железобетонных элементов Таблица 24-03-002. Укладка золошлакопроводов из стальных труб Таблица 24-03-003. Приварка фасонных сварных стальных частей Приложение. Сборник сметных расценок на эксплуатацию строительных машин и сметных цен на материалы, изделия и конструкции (в базисных ценах Московской области по состоянию на 01.01.2000) Затраты труда рабочих-строителей Эксплуатация строительных машин Сметные цены на материальные ресурсы |
| Разработан: | Мособлгосэкспертиза ООО ИНАС |
| Утверждён: | 04.11.2002 Минмособлстрой (Minmosoblstroy 176) 13.04.1998 Правительство Московской области (Government of the Moscow Region 38/11) |
| Издан: | Минмособлстрой (2002 г. ) |
| Расположен в: | |
| Нормативные ссылки: |
|












































