Скачать ФССЦ 04-2001 Часть 4. Бетонные, железобетонные и керамические изделия. Нерудные материалы. Товарные бетоны и размеры (редакция 2014 года). Бетонные, железобетонные и керамические изделия. Нерудные материалы. Товарные бетоны и растворы. Федеральный сборник сметных цен на материалы, изделия и конструкции, применяемые в строительствеДата актуализации: 10.08.2017 ФССЦ 04-2001
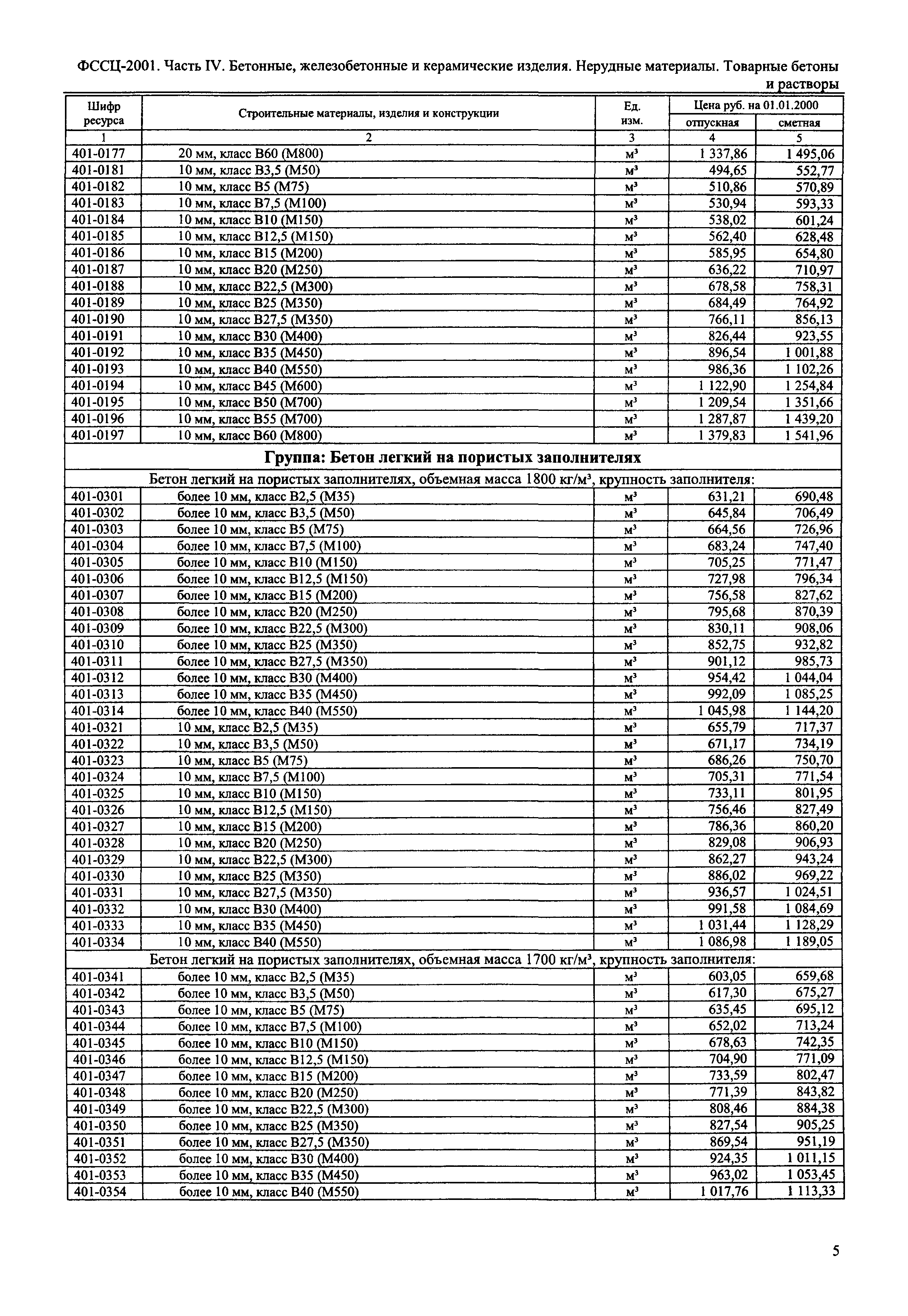
Часть 4. Бетонные, железобетонные и керамические изделия. Нерудные материалы. Товарные бетоны и размеры (редакция 2014 года). Бетонные, железобетонные и керамические изделия. Нерудные материалы. Товарные бетоны и растворы. Федеральный сборник сметных цен на материалы, изделия и конструкции, применяемые в строительствеОбозначение: | ФССЦ 04-2001 | Обозначение англ: | FSSTs 04-2001 | Статус: | не подлежит применению | Название рус.: | Часть 4. Бетонные, железобетонные и керамические изделия. Нерудные материалы. Товарные бетоны и размеры (редакция 2014 года). Бетонные, железобетонные и керамические изделия. Нерудные материалы. Товарные бетоны и растворы. Федеральный сборник сметных цен на материалы, изделия и конструкции, применяемые в строительстве | Дата добавления в базу: | 01.10.2014 | Дата актуализации: | 05.05.2017 | Дата введения: | 28.04.2017 | Область применения: | Федеральные сметные цены на материалы, изделия и конструкции, применяемые в строительстве предназначены для определения сметной стоимости строительно-монтажных (ремонтно-строительных) работ, а также при разработке Федеральных единичных расценок на строительные, монтажные и ремонтно-строительные работы. | Оглавление: | Раздел 4.01 Бетоны Подраздел: Бетоны готовые к употреблению Подраздел: Сухие бетонные смеси Раздел 4.02 Растворы строительные Подраздел: Растворы готовые к употреблению Подраздел: Сухие растворные смеси Раздел 4.03 Бетонные и железобетонные изделия Подраздел: Бетонные изделия Подраздел: Железобетонные изделия Раздел 4.04 Кирпич, камни, черепица Подраздел: Кирпич Подраздел: Камни, черепица Раздел 4.05 Известь и гипсовые вяжущие Раздел 4.06 Заполнители керамзитовые, шунгизитовые, аглопоритовые и другие Раздел 4.07 Земля, глина, торф, грунт, грунтовые смеси Раздел 4.08 Щебень, гравий, песок и смеси из природных материалов Подраздел: Щебень, гравий Подраздел: Песок Подраздел: Смеси Подраздел: Материалы из отсевов дробления изверженных и осадочных горных пород Раздел 4.09 Щебень, песок, шлак и смеси из металлургических шлаков Раздел 4.10 Продукция асфальтобетонная и асфальтобитумная Подраздел: Материалы Подраздел: Смеси асфальтобетонные дорожные, аэродромные и асфальтобетон Подраздел: Асфальт литой Раздел 4.11 Вода, пар, сжатый воздух, электроэнергия Раздел 4.12 Изделия облицовочные из природного камня Подраздел: Изделия архитектурно-строительные Подраздел: Плиты декоративные на основе природного камня Раздел 4.13 Камни бортовые и стеновые из природного камня Раздел 4.14 Материалы для озеленения Раздел 4.15 Гипсовые и цементные изделия | Разработан: | Федеральный центр ценообразования в строительстве и промышленности строительных материалов
| Утверждён: | 30.01.2014 Министерство регионального развития Российской Федерации (31/пр)
| Издан: | ООО Стройинформиздат (2014 г. )
| Расположен в: |
| Список изменений: | | Чем заменён: | | Нормативные ссылки: | |
                                                                                                                                                                                                                                                                                                 
Текстовое изменение № 81-01-2001-И1(9)
                                                                                                                                                                                                                                                                                                                                               
Текстовое изменение № 81-01-2001-И2(10) от 11.12.2015
         
|