Информационная система
«Ёшкин Кот»

Скачать базу одним архивом
Скачать обновления
История создания базы
Карта сайта

Скачать ГОСТ Р ИСО/МЭК 19794-5-2013 Информационные технологии. Биометрия. Форматы обмена биометрическими данными. Часть 5. Данные изображения лица

Дата актуализации: 10.08.2017

ГОСТ Р ИСО/МЭК 19794-5-2013

Информационные технологии. Биометрия. Форматы обмена биометрическими данными. Часть 5. Данные изображения лица

Обозначение: ГОСТ Р ИСО/МЭК 19794-5-2013
Обозначение англ: GOST R ISO/IEC 19794-5-2013
Статус:взамен
Название рус.:Информационные технологии. Биометрия. Форматы обмена биометрическими данными. Часть 5. Данные изображения лица
Название англ.:Information technology. Biometrics. Biometric data interchange formats. Part 5. Face image data
Дата добавления в базу:12.02.2016
Дата актуализации:05.05.2017
Дата введения:01.01.2015
Область применения:Стандарт устанавливает требования к: - формату записи данных для хранения, регистрации и передачи информации об одном или более изображениях лица или к видеопотоку изображений лица; - условиям получения изображений лица; - фотографированию для получения изображений лица; - характеристикам цифровых изображений лица; - обеспечению лучшего метода организации фотографирования лица.
Оглавление:1 Область применения
2 Соответствие
3 Нормативные ссылки
4 Термины и определения
5 Формат записи изображения лица
   5.1 Общие положения
   5.2 Представление данных
   5.3 Блок "Общий заголовок"
   5.4 Блок "Заголовок представления"
   5.5 Блок "Информация о лице"
   5.6 Блок "Контрольная точка"
   5.7 Блок "Информация об изображении"
   5.8 Блок "Данные представления"
   5.9 Блок "Данные изображения"
   5.10 Блок "Информация о трехмерном изображении"
   5.11 Блок "Данные трехмерного изображения"
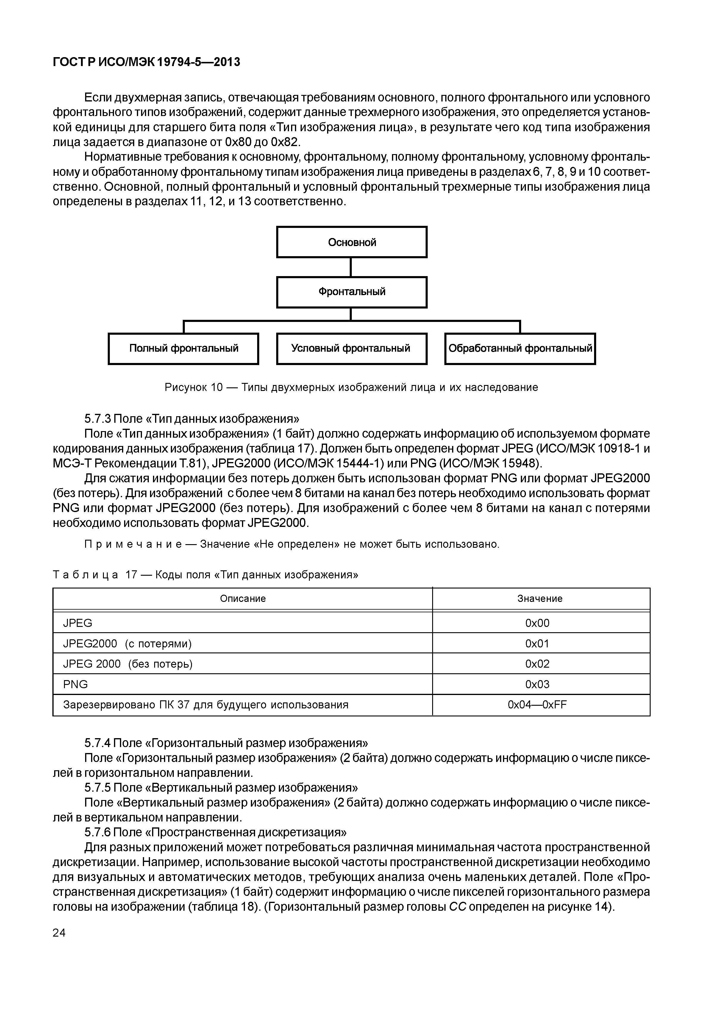
6 Основной тип изображения лица
   6.1 Требования наследования для основного типа изображения лица
   6.2 Требования к кодированию данных изображения для основного типа изображения лица
   6.3 Требования к сжатию данных изображения для основного типа изображения лица
   6.4 Требования к формату записи данных для основного типа изображения лица
7 Фронтальный тип изображения лица
   7.1 Требования наследования для фронтального типа изображения лица
   7.2 Требования к условиям получения фронтального типа изображения лица
   7.3 Требования к фотографированию для фронтального типа изображения лица
   7.4 Требования к параметрам цифрового изображения для фронтального типа изображения лица
   7.5 Требования к формату записи данных для получения фронтального типа изображения лица
8 Полный фронтальный тип изображения лица
   8.1 Требования наследования для полного фронтального типа изображения лица
   8.2 Требования к условиям получения полного фронтального типа изображения лица
   8.3 Требования к фотографированию для полного фронтального типа изображения лица
   8.4 Требования к параметрам цифрового изображения лица полного фронтального типа
   8.5 Требования к формату записи данных для полного фронтального типа изображения лица
9 Условный фронтальный тип изображения лица
   9.1 Требования наследования для условного фронтального типа изображения лица
   9.2 Требования к параметрам цифрового изображения лица условного фронтального типа
   9.3 Требования к формату записи данных условного фронтального типа изображения лица
10 Обработанный фронтальный тип изображения лица
   10.1 Общие положения
   10.2 Требования наследования для обработанного фронтального типа изображения лица
   10.3 Требования к формату записи данных для обработанного фронтального типа изображения лица
11 Основной трехмерный тип изображения лица
   11.1 Требования наследования для основного трехмерного типа изображения лица
   11.2 Требования к основному трехмерному типу изображения лица с использованием карты точек
   11.3 Требования к основному трехмерному типу изображения лица с использованием вершин
12 Полный фронтальный трехмерный тип изображения лица
   12.1 Требования наследования
   12.2 Требования к типу системы координат
   12.3 Требования к положению головы в трехмерном представлении
   12.4 Требования к калибровке точности текстурной проекции
   12.5 Требования к полному фронтальному трехмерному типу изображения лица с использованием карты глубины
   12.6 Требования к полному фронтальному трехмерному типу изображения лица с использованием карты точек
   12.7 Требования к полному фронтальному трехмерному типу изображения лица с использованием вершин
13 Условный фронтальный трехмерный тип изображения лица
   13.1 Требования наследования
   13.2 Требования к условному фронтальному трехмерному типу изображения лица с использованием карты глубины
   13.3 Требования к условному фронтальному трехмерному типу изображения лица с использованием карты точек
   13.4 Требования к условному фронтальному трехмерному типу изображения лица с использованием вершин
14 Идентификатор типа зарегистрированного формата
Приложение А (обязательное) Методология испытаний на соответствие
Приложение В (справочное) Рекомендации для типов изображения лица
Приложение С (справочное) Условия регистрации изображений лица
Приложение D (справочное) Экспериментальные исследования
Приложение Е (справочное) Франкфуртская горизонталь
Приложение ДА (справочное) Сведения о соответствии ссылочных международных стандартов национальным стандартам Российской Федерации
Библиография
Разработан: Ассоциация автоматической идентификации ЮНИСКАН/ГС1 РУС
НИИЦ БТ МГТУ им. Баумана
Утверждён:06.09.2013 Федеральное агентство по техническому регулированию и метрологии (987-ст)
Издан: Стандартинформ (2015 г. )
Расположен в:Техническая документация Электроэнергия ИНФОРМАЦИОННЫЕ ТЕХНОЛОГИИ. МАШИНЫ КОНТОРСКИЕ Наборы знаков и кодирование информации Экология ИНФОРМАЦИОННЫЕ ТЕХНОЛОГИИ. МАШИНЫ КОНТОРСКИЕ Наборы знаков и кодирование информации
Заменяет собой:
Нормативные ссылки:
ГОСТ Р ИСО/МЭК 19794-5-2013ГОСТ Р ИСО/МЭК 19794-5-2013ГОСТ Р ИСО/МЭК 19794-5-2013ГОСТ Р ИСО/МЭК 19794-5-2013ГОСТ Р ИСО/МЭК 19794-5-2013ГОСТ Р ИСО/МЭК 19794-5-2013ГОСТ Р ИСО/МЭК 19794-5-2013ГОСТ Р ИСО/МЭК 19794-5-2013ГОСТ Р ИСО/МЭК 19794-5-2013ГОСТ Р ИСО/МЭК 19794-5-2013ГОСТ Р ИСО/МЭК 19794-5-2013ГОСТ Р ИСО/МЭК 19794-5-2013ГОСТ Р ИСО/МЭК 19794-5-2013ГОСТ Р ИСО/МЭК 19794-5-2013ГОСТ Р ИСО/МЭК 19794-5-2013ГОСТ Р ИСО/МЭК 19794-5-2013ГОСТ Р ИСО/МЭК 19794-5-2013ГОСТ Р ИСО/МЭК 19794-5-2013ГОСТ Р ИСО/МЭК 19794-5-2013ГОСТ Р ИСО/МЭК 19794-5-2013ГОСТ Р ИСО/МЭК 19794-5-2013ГОСТ Р ИСО/МЭК 19794-5-2013ГОСТ Р ИСО/МЭК 19794-5-2013ГОСТ Р ИСО/МЭК 19794-5-2013ГОСТ Р ИСО/МЭК 19794-5-2013ГОСТ Р ИСО/МЭК 19794-5-2013ГОСТ Р ИСО/МЭК 19794-5-2013ГОСТ Р ИСО/МЭК 19794-5-2013ГОСТ Р ИСО/МЭК 19794-5-2013ГОСТ Р ИСО/МЭК 19794-5-2013ГОСТ Р ИСО/МЭК 19794-5-2013ГОСТ Р ИСО/МЭК 19794-5-2013ГОСТ Р ИСО/МЭК 19794-5-2013ГОСТ Р ИСО/МЭК 19794-5-2013ГОСТ Р ИСО/МЭК 19794-5-2013ГОСТ Р ИСО/МЭК 19794-5-2013ГОСТ Р ИСО/МЭК 19794-5-2013ГОСТ Р ИСО/МЭК 19794-5-2013ГОСТ Р ИСО/МЭК 19794-5-2013ГОСТ Р ИСО/МЭК 19794-5-2013ГОСТ Р ИСО/МЭК 19794-5-2013ГОСТ Р ИСО/МЭК 19794-5-2013ГОСТ Р ИСО/МЭК 19794-5-2013ГОСТ Р ИСО/МЭК 19794-5-2013ГОСТ Р ИСО/МЭК 19794-5-2013ГОСТ Р ИСО/МЭК 19794-5-2013ГОСТ Р ИСО/МЭК 19794-5-2013ГОСТ Р ИСО/МЭК 19794-5-2013ГОСТ Р ИСО/МЭК 19794-5-2013ГОСТ Р ИСО/МЭК 19794-5-2013ГОСТ Р ИСО/МЭК 19794-5-2013ГОСТ Р ИСО/МЭК 19794-5-2013ГОСТ Р ИСО/МЭК 19794-5-2013ГОСТ Р ИСО/МЭК 19794-5-2013ГОСТ Р ИСО/МЭК 19794-5-2013ГОСТ Р ИСО/МЭК 19794-5-2013ГОСТ Р ИСО/МЭК 19794-5-2013ГОСТ Р ИСО/МЭК 19794-5-2013ГОСТ Р ИСО/МЭК 19794-5-2013ГОСТ Р ИСО/МЭК 19794-5-2013ГОСТ Р ИСО/МЭК 19794-5-2013ГОСТ Р ИСО/МЭК 19794-5-2013ГОСТ Р ИСО/МЭК 19794-5-2013ГОСТ Р ИСО/МЭК 19794-5-2013ГОСТ Р ИСО/МЭК 19794-5-2013ГОСТ Р ИСО/МЭК 19794-5-2013ГОСТ Р ИСО/МЭК 19794-5-2013ГОСТ Р ИСО/МЭК 19794-5-2013ГОСТ Р ИСО/МЭК 19794-5-2013ГОСТ Р ИСО/МЭК 19794-5-2013ГОСТ Р ИСО/МЭК 19794-5-2013ГОСТ Р ИСО/МЭК 19794-5-2013ГОСТ Р ИСО/МЭК 19794-5-2013ГОСТ Р ИСО/МЭК 19794-5-2013ГОСТ Р ИСО/МЭК 19794-5-2013ГОСТ Р ИСО/МЭК 19794-5-2013ГОСТ Р ИСО/МЭК 19794-5-2013ГОСТ Р ИСО/МЭК 19794-5-2013ГОСТ Р ИСО/МЭК 19794-5-2013ГОСТ Р ИСО/МЭК 19794-5-2013ГОСТ Р ИСО/МЭК 19794-5-2013ГОСТ Р ИСО/МЭК 19794-5-2013ГОСТ Р ИСО/МЭК 19794-5-2013ГОСТ Р ИСО/МЭК 19794-5-2013ГОСТ Р ИСО/МЭК 19794-5-2013ГОСТ Р ИСО/МЭК 19794-5-2013ГОСТ Р ИСО/МЭК 19794-5-2013ГОСТ Р ИСО/МЭК 19794-5-2013ГОСТ Р ИСО/МЭК 19794-5-2013ГОСТ Р ИСО/МЭК 19794-5-2013ГОСТ Р ИСО/МЭК 19794-5-2013ГОСТ Р ИСО/МЭК 19794-5-2013ГОСТ Р ИСО/МЭК 19794-5-2013ГОСТ Р ИСО/МЭК 19794-5-2013ГОСТ Р ИСО/МЭК 19794-5-2013ГОСТ Р ИСО/МЭК 19794-5-2013ГОСТ Р ИСО/МЭК 19794-5-2013ГОСТ Р ИСО/МЭК 19794-5-2013ГОСТ Р ИСО/МЭК 19794-5-2013ГОСТ Р ИСО/МЭК 19794-5-2013ГОСТ Р ИСО/МЭК 19794-5-2013ГОСТ Р ИСО/МЭК 19794-5-2013ГОСТ Р ИСО/МЭК 19794-5-2013ГОСТ Р ИСО/МЭК 19794-5-2013ГОСТ Р ИСО/МЭК 19794-5-2013ГОСТ Р ИСО/МЭК 19794-5-2013ГОСТ Р ИСО/МЭК 19794-5-2013ГОСТ Р ИСО/МЭК 19794-5-2013ГОСТ Р ИСО/МЭК 19794-5-2013ГОСТ Р ИСО/МЭК 19794-5-2013ГОСТ Р ИСО/МЭК 19794-5-2013ГОСТ Р ИСО/МЭК 19794-5-2013ГОСТ Р ИСО/МЭК 19794-5-2013ГОСТ Р ИСО/МЭК 19794-5-2013ГОСТ Р ИСО/МЭК 19794-5-2013ГОСТ Р ИСО/МЭК 19794-5-2013ГОСТ Р ИСО/МЭК 19794-5-2013

© 2013 Ёшкин Кот :-) Карта сайта