Скачать ГОСТ Р 54918-2012 Трубы обсадные, насосно-компрессорные, бурильные и трубы для трубопроводов нефтяной и газовой промышленности. Формулы и расчет свойствДата актуализации: 10.08.2017 ГОСТ Р 54918-2012
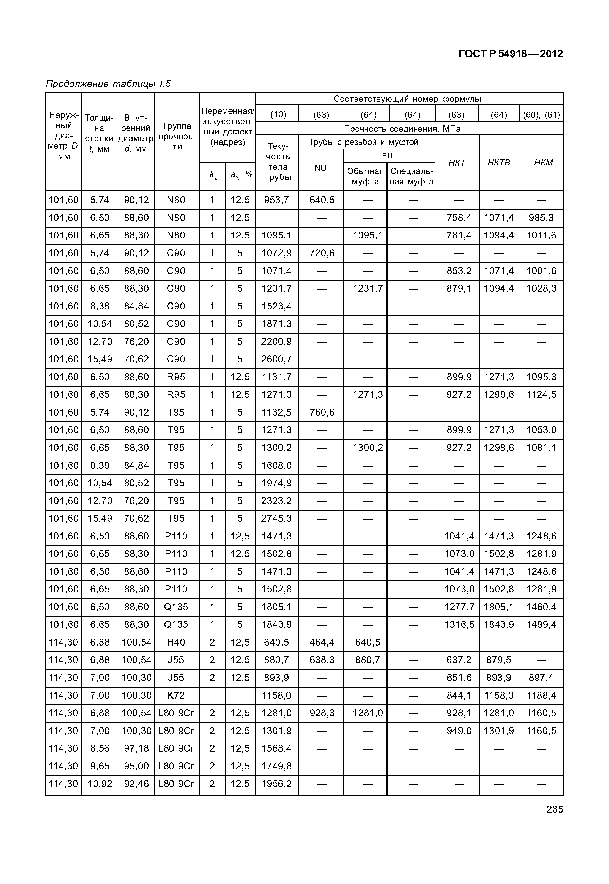
Трубы обсадные, насосно-компрессорные, бурильные и трубы для трубопроводов нефтяной и газовой промышленности. Формулы и расчет свойствОбозначение: | ГОСТ Р 54918-2012 | Обозначение англ: | GOST R 54918-2012 | Статус: | действует | Название рус.: | Трубы обсадные, насосно-компрессорные, бурильные и трубы для трубопроводов нефтяной и газовой промышленности. Формулы и расчет свойств | Название англ.: | Casing, tubing, drill and line pipes for petroleum and natural gas industries. Equation and calculation of properties | Дата добавления в базу: | 01.10.2014 | Дата актуализации: | 05.05.2017 | Дата введения: | 01.10.2013 | Область применения: | Стандарт распространяется на обсадные, насосно-компрессорные и бурильные трубы для нефтяной и газовой промышленности, а также на трубы для трубопроводов, применяемые в качестве обсадных и насосно-компрессорных труб. | Оглавление: | 1 Общие положения 2 Нормативные ссылки 3 Термины и определения 4 Обозначения 5 Сокращения 6 Трехмерная текучесть тела трубы 6.1 Общие положения 6.2 Допущения и ограничения 6.3 Требования к исходным данным 6.4 Формула проектной трехмерной текучести тела трубы 6.5 Применение формулы проектной трехмерной текучести тела трубы к трубам для трубопроводов 6.6 Примеры расчета 7 Пластическое разрушение тела трубы 7.1 Общие положения 7.2 Допущения и ограничения 7.3 Требования к исходным данным 7.4 Формулы проектного давления пластического разрушения тела трубы с торцевым уплотнением 7.5 Учет влияния осевого растяжения и наружного давления 7.6 Примеры расчета 8 Стойкость к смятию 8.1 Выбор метода 8.2 Расчетные формулы стойкости к смятию 8.3 Примеры расчета 9 Прочность соединений 9.1 Общие положения 9.2 Прочность при растяжении резьбовых соединений обсадных труб 9.3 Прочность при растяжении соединений насосно-компрессорных труб 9.4 Прочность при растяжении соединений труб для трубопроводов 10 Расчет стойкости муфт при действии давления 10.1 Общие положения 10.2 Внутреннее давление возникновения текучести в муфте с треугольной и трапецеидальной резьбой 10.3 Стойкость к утечкам под действием внутреннего давления муфт с треугольной и трапецеидальной резьбой 11 Расчет массы 11.1 Общие положения 11.2 Расчет номинальной массы 11.3 Расчет массы трубы без резьбы и высадки 11.4 Расчет массы трубы с отделкой концов 11.5 Расчет массы трубы после нарезания резьбы и свинчивания с муфтой 11.6 Расчет массы трубы после высадки 11.7 Расчет массы муфты 11.8 Расчет массы, удаляемой при нарезании резьбы на трубе 11.9 Расчет увеличения массы трубы при высадке 12 Удлинение 13 Испытание на сплющивание 13.1 Испытание на сплющивание сварных обсадных и насосно-компрессорных труб 13.2 Испытание на сплющивание сварных труб для трубопроводов 14 Испытательное гидростатическое давление 14.1 Испытательное гидростатическое давление для труб без резьбы 14.2 Испытательное гидростатическое давление труб с резьбой и муфтами 15 Крутящий момент для обсадных и насосно-компрессорных труб с треугольной резьбой 16 Испытание на направленный загиб труб для трубопроводов, сваренных дуговой сваркой под флюсом 16.1 Общие положения 16.2 Исходные данные 17 Определение минимального размера образцов для испытания на ударный изгиб 17.1 Критическая толщина стенки 17.2 Расчетная толщина стенки трубной заготовки для муфт 17.3 Расчетная толщина стенки для изготовления поперечных образцов 17.4 Расчетная толщина стенки для изготовления продольных образцов 17.5 Размеры образцов для испытания на ударный изгиб муфт 17.6 Размеры образцов для испытания на ударный изгиб труб 17.7 Образцы большего размера 17.8 Справочная информация Приложение А (справочное) Расчет трехмерной текучести тела трубы Приложение В (справочное) Расчет давления пластического разрушения Приложение С (справочное) Метод испытания на разрушение Приложение D (справочное) Расчет давления хрупкого разрушения Приложение Е (справочное) Расчет проектной стойкости к смятию по результатам испытаний на смятие Приложение F (справочное) Расчет проектной стойкости к смятию по показателям качества Приложение G (справочное) Испытание труб на смятие Приложение Н (справочное) Расчет прочности соединений Приложение I (справочное) Таблицы расчетных показателей Приложение ДА (справочное) Сопоставление структуры настоящего стандарта со структурой примененного в нем международного стандарта Приложение ДБ (справочное) Сведения о соответствии ссылочных национальных и межгосударственных стандартов международным стандартам, использованным в качестве ссылочных в примененном международном стандарте Библиография | Разработан: | ТК 357 Стальные и чугунные трубы и баллоны ООО Специализированная переводческая фирма Интерсервис Подкомитет ПК 7 Трубы нарезные нефтяного сортамента
| Утверждён: | 27.06.2012 Федеральное агентство по техническому регулированию и метрологии (123-ст)
| Издан: | Стандартинформ (2014 г. )
| Расположен в: |
| Нормативные ссылки: | |
                                                                                                                                                                                                                                                          
|