| ||||||||||||||||||||||||||||||||||
Скачать ГОСТ 8.623-2013 Государственная система обеспечения единства измерений. Анализаторы серы в нефти и нефтепродуктах. Методика поверкиДата актуализации: 10.08.2017
|
| Обозначение: | ГОСТ 8.623-2013 |
| Обозначение англ: | GOST 8.623-2013 |
| Статус: | введен впервые |
| Название рус.: | Государственная система обеспечения единства измерений. Анализаторы серы в нефти и нефтепродуктах. Методика поверки |
| Название англ.: | State system for ensuring the traceability of measurements. Analyzers for determination of sulphur in petroleum and petroleum products. Verification procedure |
| Дата добавления в базу: | 01.11.2014 |
| Дата актуализации: | 05.05.2017 |
| Дата введения: | 01.01.2015 |
| Область применения: | Стандарт распространяется на анализаторы серы в нефти и нефтепродуктах и устанавливает методику их первичной и периодической поверок. Стандарт распространяется на анализаторы, основанные на следующих методах измерений: - рентгено-флуоресцентный метод (рентгенофлуоресцентные анализаторы), - метод энергодисперсионной рентгенофлуоресцентной спектрометрии (рентгенофлуоресцентные энергодисперсионные анализаторы), - метод рентгенофлуоресцентной спектрометрии с дисперсией по длине волны (рентгенофлуоресцентные волнодисперсионные анализаторы), - метод ультрафиолетовой флуоресценции (анализаторы с детектированием флуоресценции в ультрафиолетовой области). Стандарт распространяется на анализаторы с метрологическими характеристиками: - нижний предел измерений массовой доли серы, не менее 0,0005 %; - пределы допускаемой относительной погрешности, в диапазоне измерений массовой доли серы 0,0005 % - 0,010 %, ±10 % или более; в диапазоне измерений массовой доли серы св. 0,010 %, ± 5 % или более. Интервал между поверками установлен при утверждении типа анализаторов. |
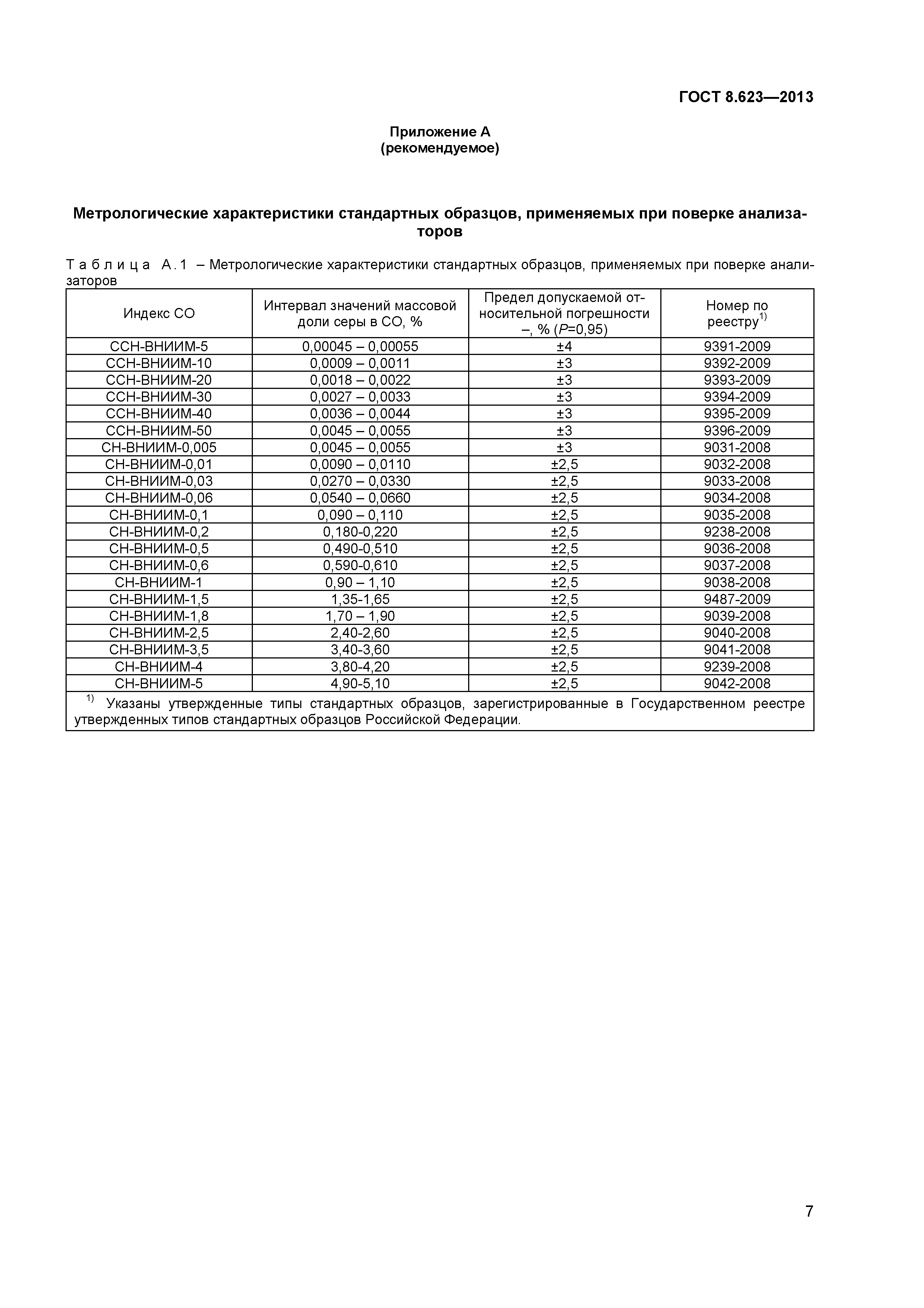
| Оглавление: | 1 Область применения 2 Нормативные ссылки 3 Сокращения 4 Операции поверки 5 Средства поверки 6 Требования безопасности и требования к квалификации поверителей 7 Условия поверки 8 Подготовка к поверке 9 Проведение поверки 10 Обработка результатов измерений 11 Оформление результатов поверки Приложение А (рекомендуемое) Метрологические характеристики стандартных образцов, применяемых при поверке анализаторов Приложение Б (рекомендуемое) Форма протокола поверки анализаторов Библиография |
| Разработан: | ФГУП ВНИИМ им. Д. И. Менделеева |
| Утверждён: | 28.08.2013 Межгосударственный Совет по стандартизации, метрологии и сертификации (Inter-Governmental Council on Standardization, Metrology, and Certification 58-П) 22.11.2013 Федеральное агентство по техническому регулированию и метрологии (1751-ст) |
| Издан: | Стандартинформ (2014 г. ) |
| Расположен в: | |
| Нормативные ссылки: |
|











