Информационная система
«Ёшкин Кот»

Скачать базу одним архивом
Скачать обновления
История создания базы
Карта сайта

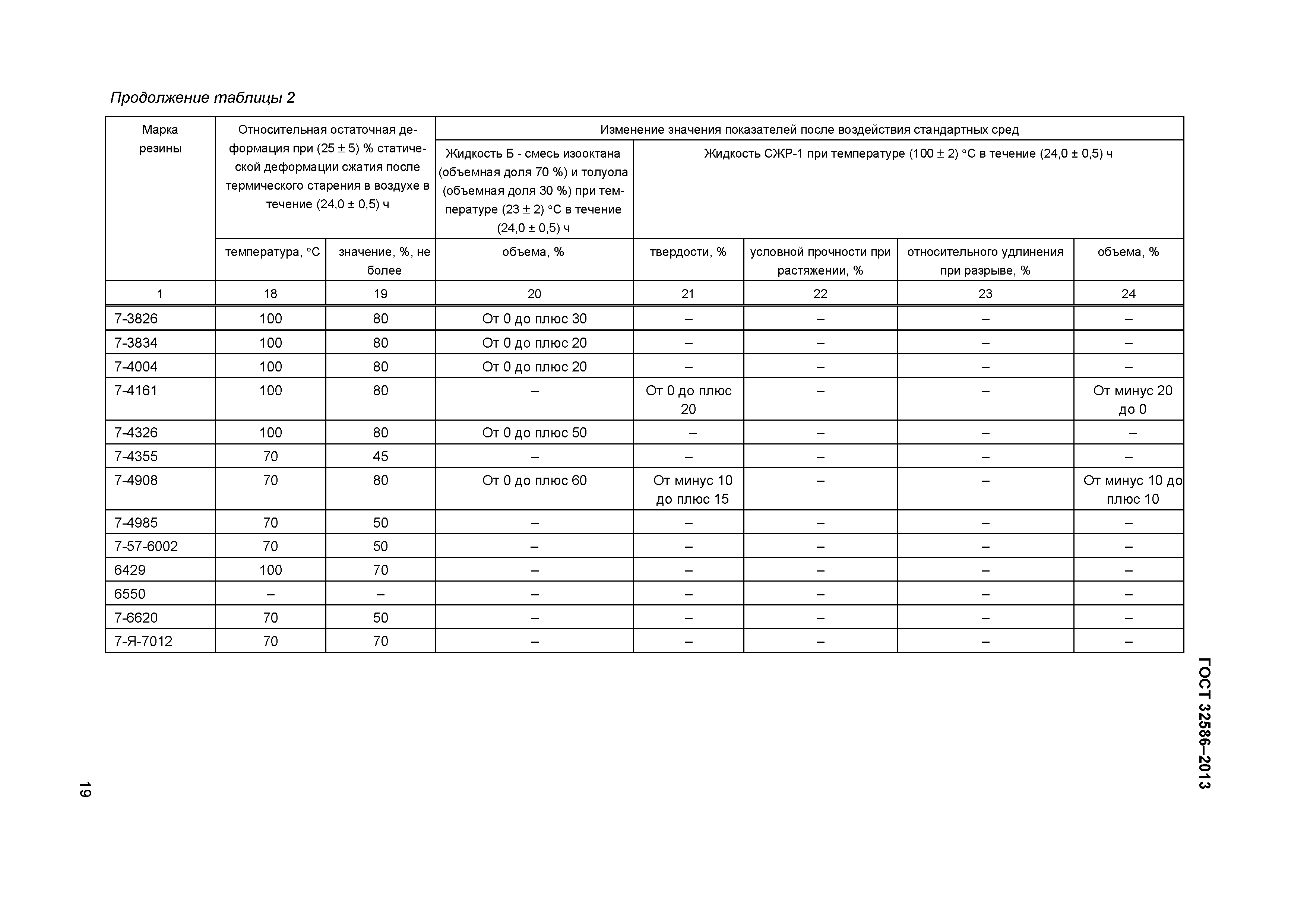
Скачать ГОСТ 32586-2013 Виброизоляторы резиновые и резиноармированные для автотракторной техники. Технические условия

Дата актуализации: 10.08.2017

ГОСТ 32586-2013

Виброизоляторы резиновые и резиноармированные для автотракторной техники. Технические условия

Обозначение: ГОСТ 32586-2013
Обозначение англ: GOST 32586-2013
Статус:введен впервые
Название рус.:Виброизоляторы резиновые и резиноармированные для автотракторной техники. Технические условия
Название англ.:Vibroinsulators rubber and rubber-reinforced for automotive technic. Specifications
Дата добавления в базу:21.05.2015
Дата актуализации:05.05.2017
Дата введения:01.01.2015
Область применения:Стандарт распространяется на резиновые и резиноармированные виброизоляторы для автотракторной техники, в том числе подушки, опоры, буферы и другие изделия (далее – виброизоляторы), изготовленные формовым и неформовым способами и предназначенные для комплектования автомобилей, автобусов, мотоциклов, тракторов, сельскохозяйственных, строительных и дорожных машин, а также вибрационных центрифуг и других машин, эксплуатирующихся в зависимости от марок применяемых резин при температуре от минус 60 °C до плюс 130 °С. При применении виброизоляторов в других условиях эксплуатации потребитель оформляет протокол разрешения применения по ГОСТ 2.124. Стандарт не распространяется на виброизоляторы для автомобилей ВАЗа.
Оглавление:1 Область применения
2 Нормативные ссылки
3 Технические требования
4 Требования безопасности
5 Требования охраны окружающей среды
6 Правила приемки
7 Методы испытаний
8 Транспортирование и хранение
9 Указания по монтажу и эксплуатации
10 Гарантии изготовителя
Приложение А (справочное) Коды ОКП на виброизоляторы
Приложение Б (обязательное) Методические указания к выполнению чертежей на виброизоляторы
Приложение В (обязательное) Методика определения показателей жесткости при статическом нагружении резиновых и резиноармированных виброизоляторов
Приложение Г (обязательное) Методика испытания резиноармированных виброизоляторов на прочность связи резины с арматурой
Приложение Д (обязательное) Методика определения относительного гистерезиса резины при сжатии
Приложение Е (обязательное) Требования к металлическим дискам, используемым при определении прочности связи резин с металлами при отрыве
Приложение Ж (рекомендуемое) допустимые напряжения на виброизоляторы, отнесенные к минимальному поперечному сечению резинового массива недеформированного виброизолятора, рекомендуемые при выборе их конструкции и условий эксплуатации
Приложение И (справочное) Изменение массы и объема маслобензостойких резин после воздействия среды в течение 24 ч
Приложение К (справочное) Выбор предельных отклонений на размеры виброизоляторов
Библиография
Разработан: ООО НИИЭМИ
ТК 160 Продукция нефтехимического комплекса , подкомитет ПК 2 Резиновые технические изделия
Утверждён:14.11.2013 Межгосударственный Совет по стандартизации, метрологии и сертификации (Inter-Governmental Council on Standardization, Metrology, and Certification 44-2013)
22.11.2013 Федеральное агентство по техническому регулированию и метрологии (2066-ст)
Издан: Стандартинформ (2015 г. )
Расположен в:Техническая документация Электроэнергия РЕЗИНОВАЯ, РЕЗИНОТЕХНИЧЕСКАЯ, АСБЕСТОТЕХНИЧЕСКАЯ И ПЛАСТМАССОВАЯ ПРОМЫШЛЕННОСТЬ Резиновые и пластмассовые изделия Уплотнения Экология РЕЗИНОВАЯ, РЕЗИНОТЕХНИЧЕСКАЯ, АСБЕСТОТЕХНИЧЕСКАЯ И ПЛАСТМАССОВАЯ ПРОМЫШЛЕННОСТЬ Резиновые и пластмассовые изделия Уплотнения
Нормативные ссылки:
ГОСТ 32586-2013ГОСТ 32586-2013ГОСТ 32586-2013ГОСТ 32586-2013ГОСТ 32586-2013ГОСТ 32586-2013ГОСТ 32586-2013ГОСТ 32586-2013ГОСТ 32586-2013ГОСТ 32586-2013ГОСТ 32586-2013ГОСТ 32586-2013ГОСТ 32586-2013ГОСТ 32586-2013ГОСТ 32586-2013ГОСТ 32586-2013ГОСТ 32586-2013ГОСТ 32586-2013ГОСТ 32586-2013ГОСТ 32586-2013ГОСТ 32586-2013ГОСТ 32586-2013ГОСТ 32586-2013ГОСТ 32586-2013ГОСТ 32586-2013ГОСТ 32586-2013ГОСТ 32586-2013ГОСТ 32586-2013ГОСТ 32586-2013ГОСТ 32586-2013ГОСТ 32586-2013ГОСТ 32586-2013ГОСТ 32586-2013ГОСТ 32586-2013ГОСТ 32586-2013ГОСТ 32586-2013ГОСТ 32586-2013ГОСТ 32586-2013ГОСТ 32586-2013ГОСТ 32586-2013ГОСТ 32586-2013ГОСТ 32586-2013ГОСТ 32586-2013ГОСТ 32586-2013ГОСТ 32586-2013ГОСТ 32586-2013ГОСТ 32586-2013

© 2013 Ёшкин Кот :-) Карта сайта