| ||||||||||||||||||||||||||||||||||
Скачать ГОСТ Р ИСО/ТС 10303-1214-2013 Системы автоматизации производства и их интеграция. Представление данных об изделии и обмен этими данными. Часть 1214. Прикладной модуль. Структурная схема деления системыДата актуализации: 10.08.2017
|
| Обозначение: | ГОСТ Р ИСО/ТС 10303-1214-2013 |
| Обозначение англ: | GOST R ISO/TS 10303-1214-2013 |
| Статус: | введен впервые |
| Название рус.: | Системы автоматизации производства и их интеграция. Представление данных об изделии и обмен этими данными. Часть 1214. Прикладной модуль. Структурная схема деления системы |
| Название англ.: | Industrial automation systems and integration. Product data representation and exchange. Part 1214. Application module. The structural scheme of the system's division |
| Дата добавления в базу: | 21.05.2015 |
| Дата актуализации: | 05.05.2017 |
| Дата введения: | 01.09.2014 |
| Область применения: | Стандарт определяет прикладной модуль «Структурная схема деления системы». В область применения стандарта входят: - обозначение структурной схемы деления системы; - обозначение элементов системы, образующих структурную схему деления; - обозначение отношений предок-потомок между элементами структурной схемы деления системы; - связи между элементами в различных структурных схемах деления системы; - представление того, как элемент структурной схемы деления системы реализован в изделии. В область применения стандарта не входят: - структура сборочных единиц изделия; - декомпозиция требований. |
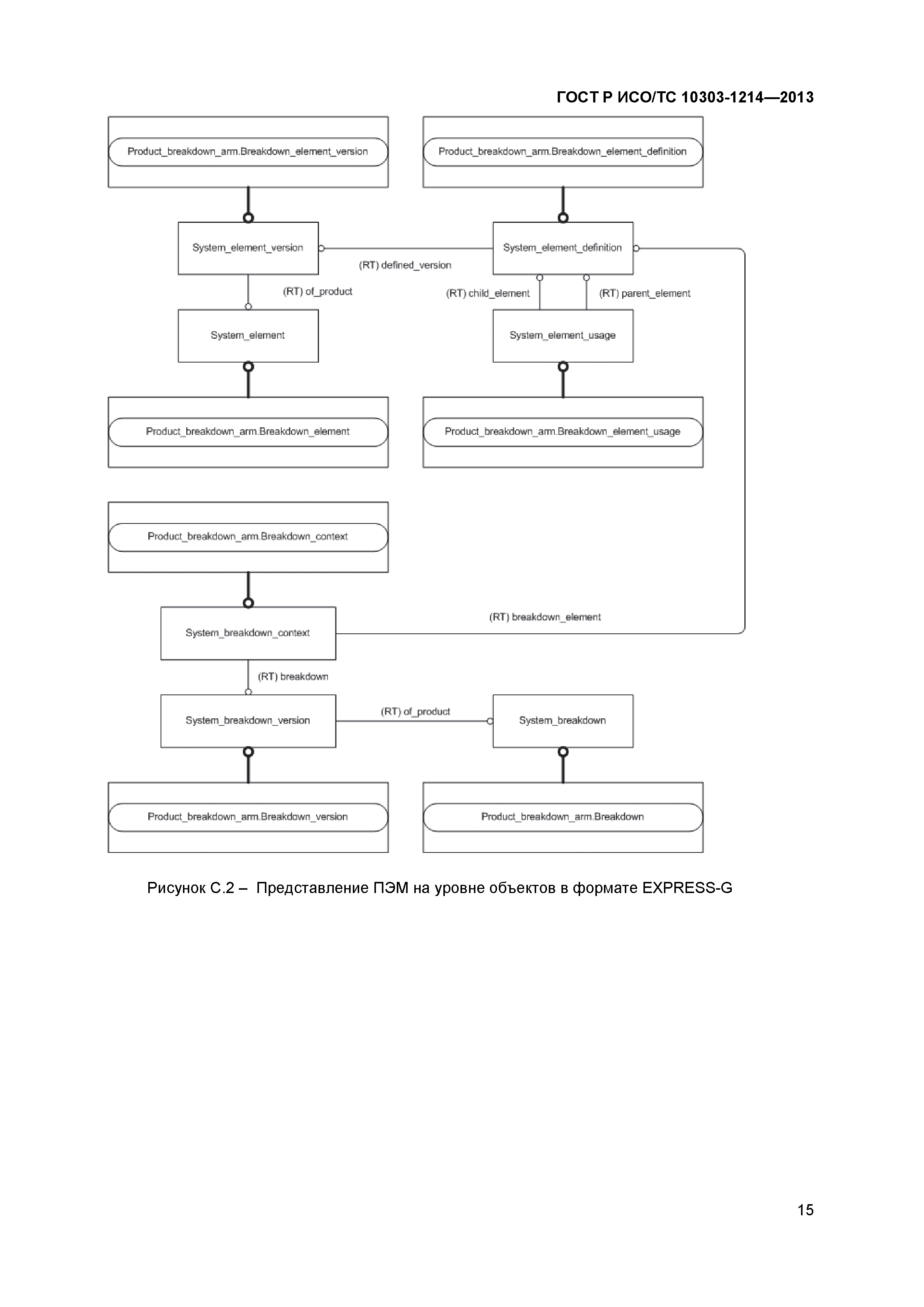
| Оглавление: | 1 Область применения 2 Нормативные ссылки 3 Термины и сокращения 4 Информационные требования 5 Интерпретированная модель модуля Приложение А (обязательное) Сокращенные наименования объектов ИММ Приложение В (обязательное) Регистрация информационного объекта Приложение С (справочное) EXPRESS-G диаграммы ПЭМ Приложение D (справочное) EXPRESS-G диаграмма ИММ Приложение Е (справочное) Машинно-интерпретируемые листинги Приложение ДА (справочное) Сведения о соответстви ссылочных международных стандартов и документов ссылочным национальным стандартам Российской Федерации |
| Разработан: | ООО Корпоративные электронные системы |
| Утверждён: | 31.10.2013 Федеральное агентство по техническому регулированию и метрологии (1310-ст) |
| Издан: | Стандартинформ (2015 г. ) |
| Расположен в: | |
| Нормативные ссылки: |
|





















