| ||||||||||||||||||||||||||||||||||
Скачать ГОСТ Р ИСО/ТС 10303-1108-2012 Системы автоматизации производства и их интеграция. Представление данных об изделии и обмен этими данными. Часть 1108. Прикладной модуль. Конфигурация на основе спецификацииДата актуализации: 10.08.2017
|
| Обозначение: | ГОСТ Р ИСО/ТС 10303-1108-2012 |
| Обозначение англ: | GOST R ISO/TS 10303-1108-2012 |
| Статус: | действует |
| Название рус.: | Системы автоматизации производства и их интеграция. Представление данных об изделии и обмен этими данными. Часть 1108. Прикладной модуль. Конфигурация на основе спецификации |
| Название англ.: | Industrial automation systems and integration. Product data representation and exchange. Part 1108. Application module: Specification based configuration |
| Дата добавления в базу: | 01.10.2014 |
| Дата актуализации: | 05.05.2017 |
| Дата введения: | 01.09.2013 |
| Область применения: | Стандарт определяет прикладной модуль «Конфигурация на основе спецификации». Требования стандарта распространяются на: -формализацию варианта использования данных об изделии или процессе с помощью булевых комбинаций характеристик изделия; -формализацию варианта проектирования данных об изделии или процессе с помощью булевых комбинаций характеристик изделия; -задание применяемости на основе календаря для варианта использования; -задание варианта использования для экземпляра детали. |
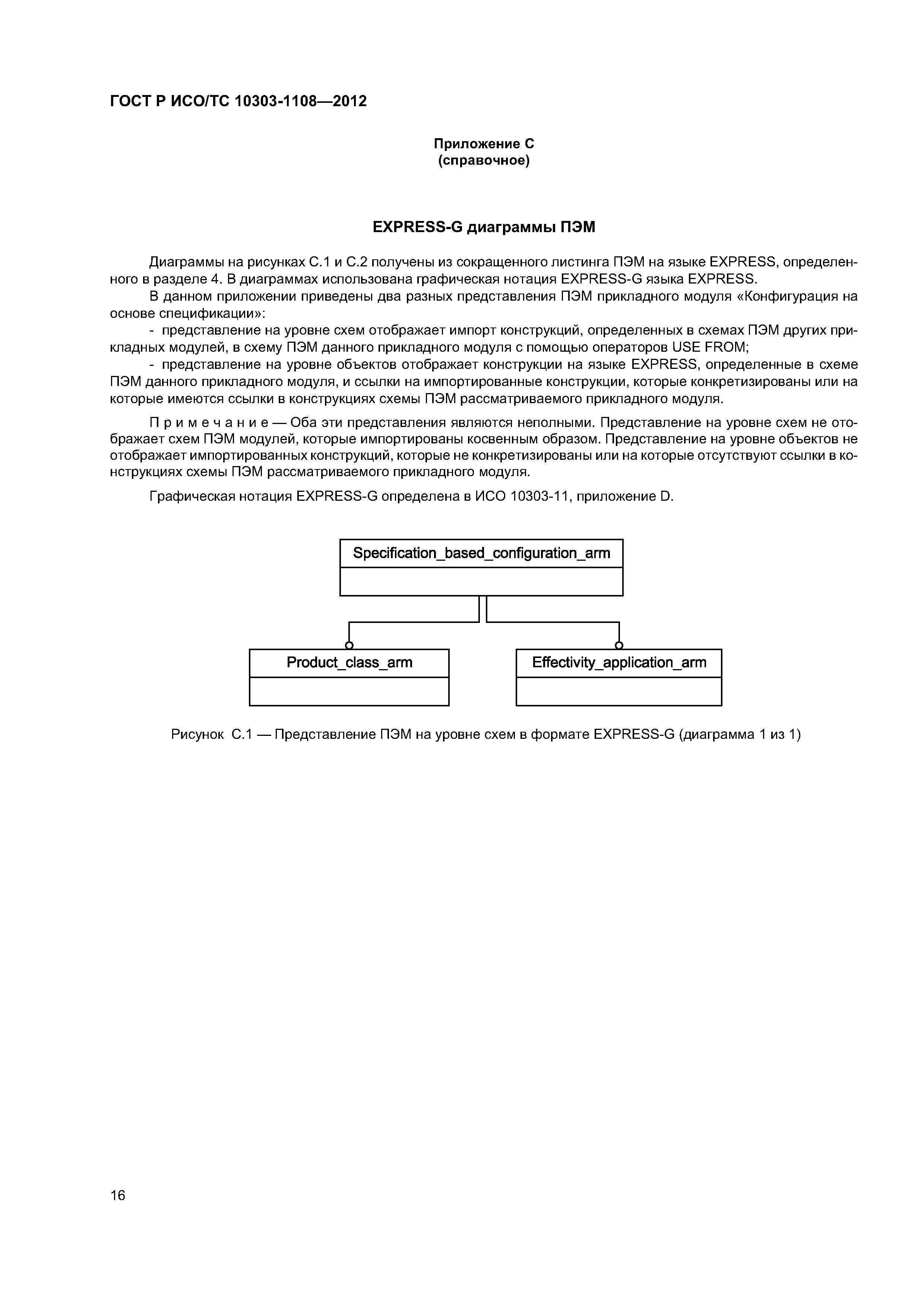
| Оглавление: | 1 Область применения 2 Нормативные ссылки 3 Термины и сокращения 4 Информационные требования 4.1 Необходимые ПЭМ прикладных модулей 4.2 Определение типов данных ПЭМ 4.2.1 Тип данных configuration_item_select 4.2.2 Тип данных configuration_kind 4.2.3 Тип данных configuration_inheritance_types 4.2.4 Тип данных configuration_specification_select 4.2.5 Тип данных effectivity_for_configuration 4.3 Определение объекта ПЭМ 4.3.1 Объект Configuration 4.4 Определение функций ПЭМ 4.4.1 Функция type_of_set 4.4.2 Функция consistent_configuration_type 4.5 Определение правила ПЭМ 4.5.1 Правило restrict_to_dated_effectivity 5 Интерпретированная модель модуля 5.1 Спецификация отображения 5.1.1 Объект Configuratio 5.2 Сокращенный листинг ИММ на языке EXPRESS 5.2.1 Определение типов данных ИММ 5.2.2 Определение объектов ИММ Приложение А (обязательное) Сокращенные наименования объектов ИММ Приложение В (обязательное) Регистрация информационных объектов Приложение С (справочное) EXPRESS-G диаграммы ПЭМ Приложение D (справочное) EXPRESS-G диаграммы ИММ Приложение Е (справочное) Машинно-интерпретируемые листинги Приложение ДА (справочное) Сведения о соответствии ссылочных международных стандартов и документов национальным стандартам Российской Федерации Библиография |
| Разработан: | Федеральное государственное автономное научное учреждение Центральный научно-исследовательский и опытно-конструкторский институт робототехники и технической кибернетики |
| Утверждён: | 13.11.2012 Федеральное агентство по техническому регулированию и метрологии (755-ст) |
| Издан: | Стандартинформ (2014 г. ) |
| Расположен в: | |
| Нормативные ссылки: |
|



























