| ||||||||||||||||||||||||||||||||||
Скачать ГОСТ Р 8.769-2011 Государственная система обеспечения единства измерений. Газ природный. Фактор сжимаемости газовой фазы. Метод расчетного определения на основе данных о физических свойствах газаДата актуализации: 10.08.2017
|
| Обозначение: | ГОСТ Р 8.769-2011 |
| Обозначение англ: | GOST R 8.769-2011 |
| Статус: | действует |
| Название рус.: | Государственная система обеспечения единства измерений. Газ природный. Фактор сжимаемости газовой фазы. Метод расчетного определения на основе данных о физических свойствах газа |
| Название англ.: | State system for ensuring the uniformity of measurements. Natural gas. Compression factor of gas phase. Method of calculation using physical properties |
| Дата добавления в базу: | 01.10.2014 |
| Дата актуализации: | 05.05.2017 |
| Дата введения: | 01.01.2013 |
| Область применения: | Стандарт устанавливает метод расчетного определения фактора сжимаемости природного газа, подготовленного для транспортирования и распределения по магистральным газопроводам, при условии его нахождения только в газовой фазе. Стандарт распространяется на подготовленные для транспортирования по магистральным газопроводам газы в диапазонах давления и температуры, при которых на практике осуществляют транспортирование и распределение этих газов. |
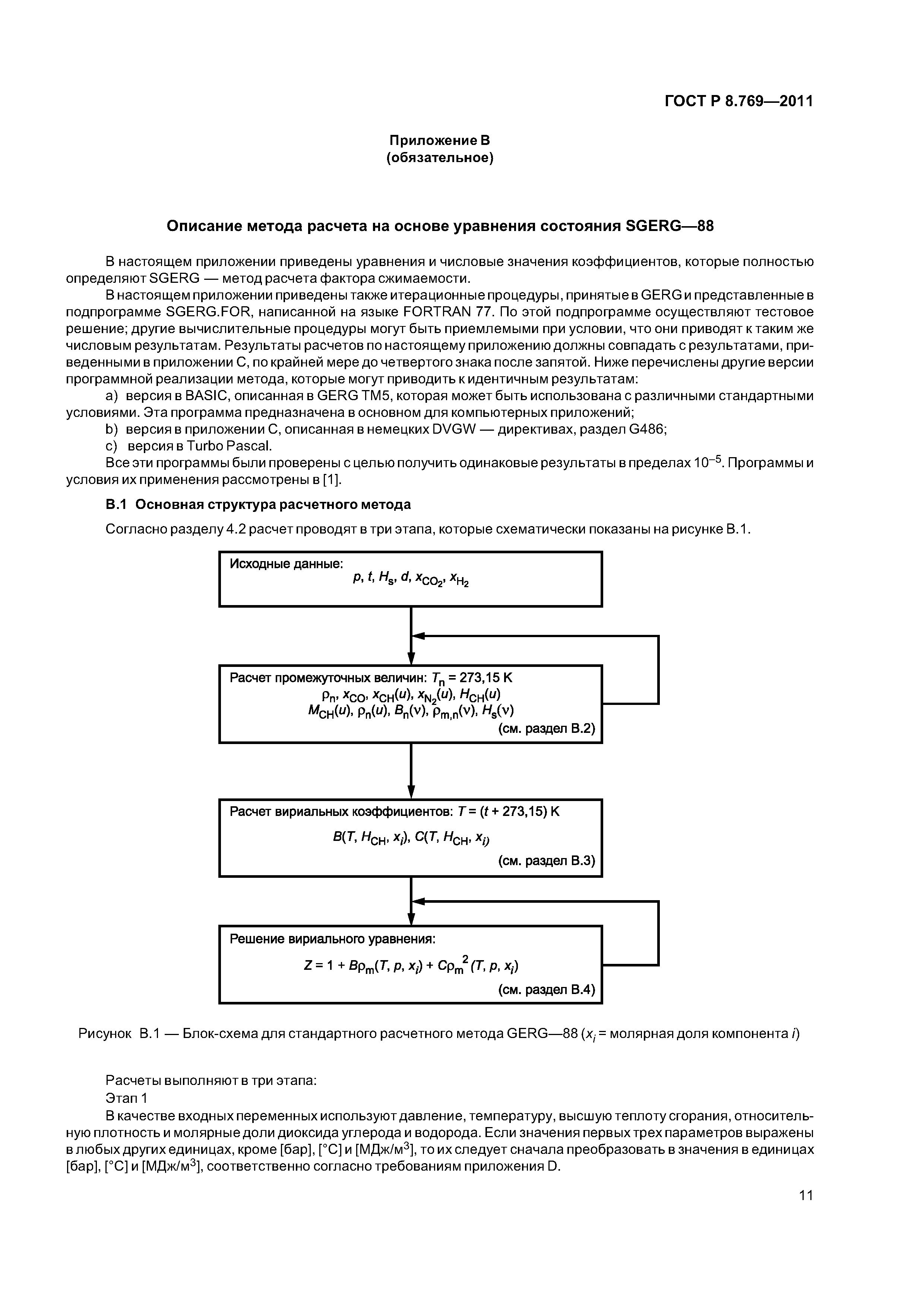
| Оглавление: | 1 Область применения 2 Нормативные ссылки 3 Термины, определения и обозначения 3.1 Термины и определения 3.2 Обозначения 4 Метод расчетного определения 4.1 Сущность метода 4.2 Уравнение состояния SGERG-88 4.3 Входные переменные 4.4 Условия применения метода 4.5 Оценка неопределенности вычислений 5 Программное обеспечение метода Приложение А (справочное) Газ, подготовленный для транспортирования и распределения по магистральным газопроводам Приложение В (обязательное) Описание метода расчета на основе уравнения состояния SGERG-88 Приложение С (обязательное) Контрольные примеры расчетов Приложение D (обязательное) Коэффициенты преобразования Приложение Е (справочное) Возможности распространения метода на расширенные диапазоны применения Приложение F (справочное) Подпрограмма SGERG.FOR на языке FORTRAN Приложение ДА (справочное) Сопоставление структуры настоящего стандарта со структурой примененного в нем международного стандарта Библиография |
| Разработан: | ФГУП СТАНДАРТИНФОРМ |
| Утверждён: | 13.12.2011 Федеральное агентство по техническому регулированию и метрологии (1101-ст) |
| Издан: | Стандартинформ (2013 г. ) |
| Расположен в: | |
| Нормативные ссылки: |
|


































