| ||||||||||||||||||||||||||||||||||
Скачать ГОСТ Р 54418.21-2011 Возобновляемая энергетика. Ветроэнергетика. Установки ветроэнергетические. Часть 21. Измерение и оценка характеристик, связанных с качеством электрической энергии, ветроэнергетических установок, подключенных к электрической сетиДата актуализации: 10.08.2017
|
| Обозначение: | ГОСТ Р 54418.21-2011 |
| Обозначение англ: | GOST R 54418.21-2011 |
| Статус: | действует |
| Название рус.: | Возобновляемая энергетика. Ветроэнергетика. Установки ветроэнергетические. Часть 21. Измерение и оценка характеристик, связанных с качеством электрической энергии, ветроэнергетических установок, подключенных к электрической сети |
| Название англ.: | Renewable power engineering. Wind power engineering. Wind turbines. Part 21. Measurement and assessment of power quality characteristics of grid connected wind turbines |
| Дата добавления в базу: | 01.09.2013 |
| Дата актуализации: | 05.05.2017 |
| Дата введения: | 01.07.2012 |
| Область применения: | Стандарт устанавливает: - характеристики, значения которых должны быть определены для применения ветроэнергетических установок (ВЭУ), подключенных к электрической сети, с тем, чтобы сделать вывод о качестве электрической энергии, поставляемой ВЭУ, а также требования к этим характеристикам; - порядок проведения измерений для количественного определения характеристик; - порядок оценки соответствия требованиям к качеству электрической энергии, включая оценку качества электрической энергии, поставляемой ВЭУ конкретного вида, расположенной на заданной площадке, а также, возможно, при групповом размещении. |
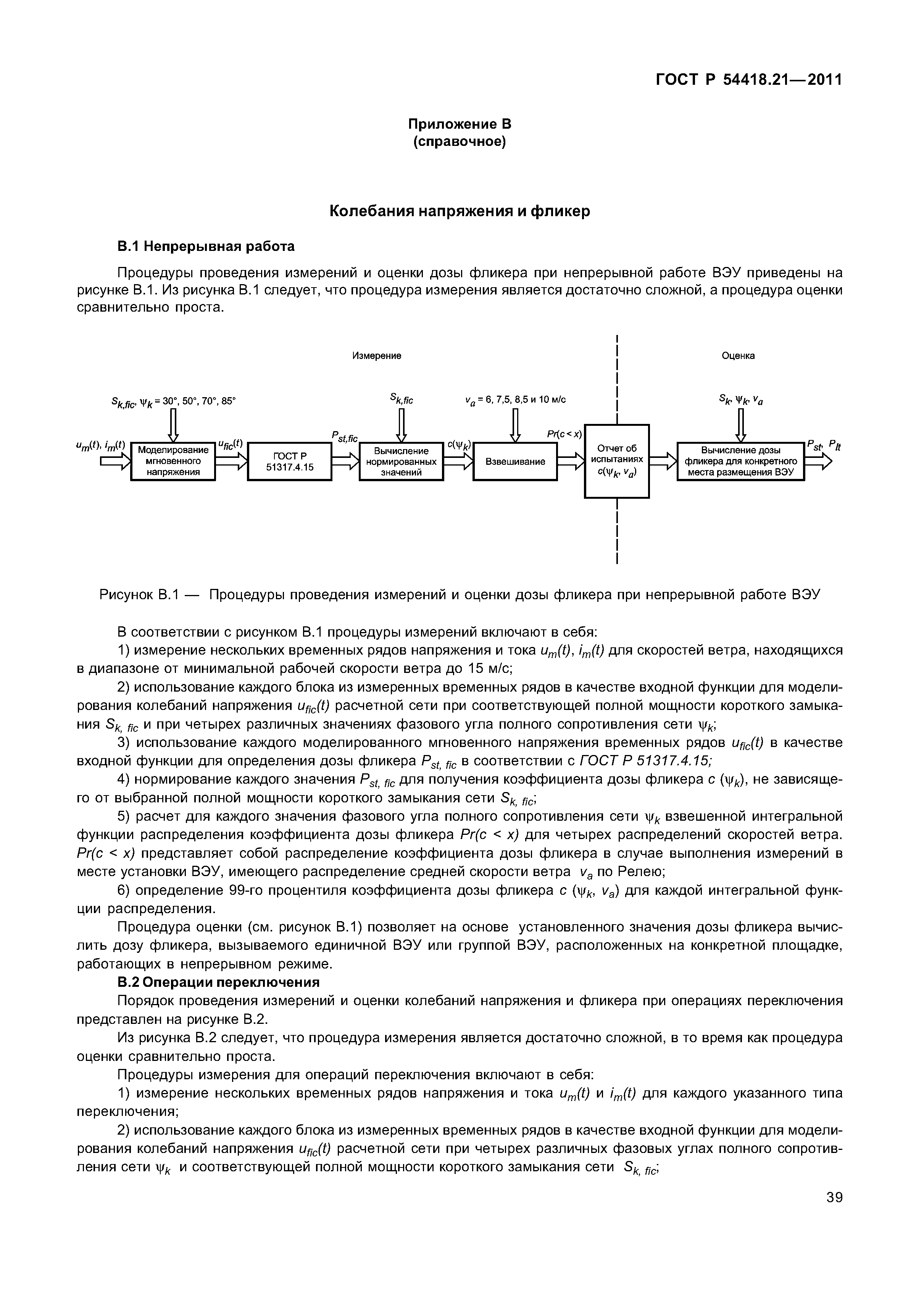
| Оглавление: | 1 Область применения 2 Нормативные ссылки 3 Термины и определения 4 Обозначения и единицы физических величин 5 Сокращения 6 Характеристики ветроэлектрических установок, связанные с качеством электрической энергии 6.1 Общие положения 6.2 Технические характеристики ветроэлектрической установки 6.3 Колебания напряжения 6.3.1 Общие положения 6.3.2 Непрерывная работа 6.3.3 Операции переключения 6.4 Гармоники тока, интергармоники и составляющие более высоких частот 6.5 Воздействие провалов напряжения 6.6 Активная мощность 6.6.1 Максимальная измеренная мощность 6.6.2 Ограничение изменения мощности 6.6.3 Управление по заданным уставкам 6.7 Реактивная мощность 6.7.1 Максимально допустимая реактивная мощность 6.7.2 Управление по заданным уставкам 6.8 Защита сети 6.9 Время повторного подключения 7 Методы измерений 7.1 Общие положения 7.1.1 достоверность результатов измерений 7.1.2 Условия проведения измерений 7.1.3 Средства измерений 7.2 Технические характеристики ветроэлектрической установки 7.3 Колебания напряжения 7.3.1 Общие положения 7.3.2 Расчетная электрическая сеть 7.3.3 Непрерывная работа 7.3.4 Операции переключения 7.4 Гармоники тока, интергармоники и составляющие более высоких частот 7.5 Воздействие провалов напряжения 7.6 Активная мощность 7.6.1 Максимальная измеренная мощность 7.6.2 Ограничение изменения мощности 7.6.3 Управление по заданным уставкам 7.7 Реактивная мощность 7.7.1 Максимально допустимая реактивная мощность 7.7.2 Управление по заданным уставкам 7.8 Защита электрической сети 7.9 Время повторного подключения 8 Оценка качества электрической энергии 8.1 Общие положения 8.2 Колебания напряжения 8.2.1 Общие положения 8.2.2 Непрерывная работа 8.2.3 Операции переключения 8.3 Гармоники тока, интергармоники и составляющие более высоких частот Приложение А (справочное) Форма отчета об испытаниях Приложение В (справочное) Колебания напряжения и фликер Приложение С (справочное) Измерение напряжения, активной и реактивной мощности Приложение ДА (справочное) Сведения о соответствии ссылочных национальных стандартов международным стандартам, использованным в качестве ссылочных в примененном международном стандарте Библиография |
| Разработан: | ВНИИНМАШ |
| Утверждён: | 28.09.2011 Федеральное агентство по техническому регулированию и метрологии (341-ст) |
| Издан: | Стандартинформ (2012 г. ) |
| Расположен в: | |
| Нормативные ссылки: |
|























































