| ||||||||||||||||||||||||||||||||
Скачать СТО ГУ ГГИ 08.29-2009 Учет руслового процесса на участках подводных переходов трубопроводов через рекиДата актуализации: 10.08.2017
|
| Обозначение: | СТО ГУ ГГИ 08.29-2009 |
| Обозначение англ: | 08.29-2009 |
| Статус: | действует |
| Название рус.: | Учет руслового процесса на участках подводных переходов трубопроводов через реки |
| Дата добавления в базу: | 01.09.2013 |
| Дата актуализации: | 05.05.2017 |
| Дата введения: | 01.01.2010 |
| Область применения: | Стандарт разработан в развитие ведомственных строительных норм ВСН 163-83 и на современном уровне регламентирует учет деформаций русловых процессов на подводных переходах трубопроводов через реки. |
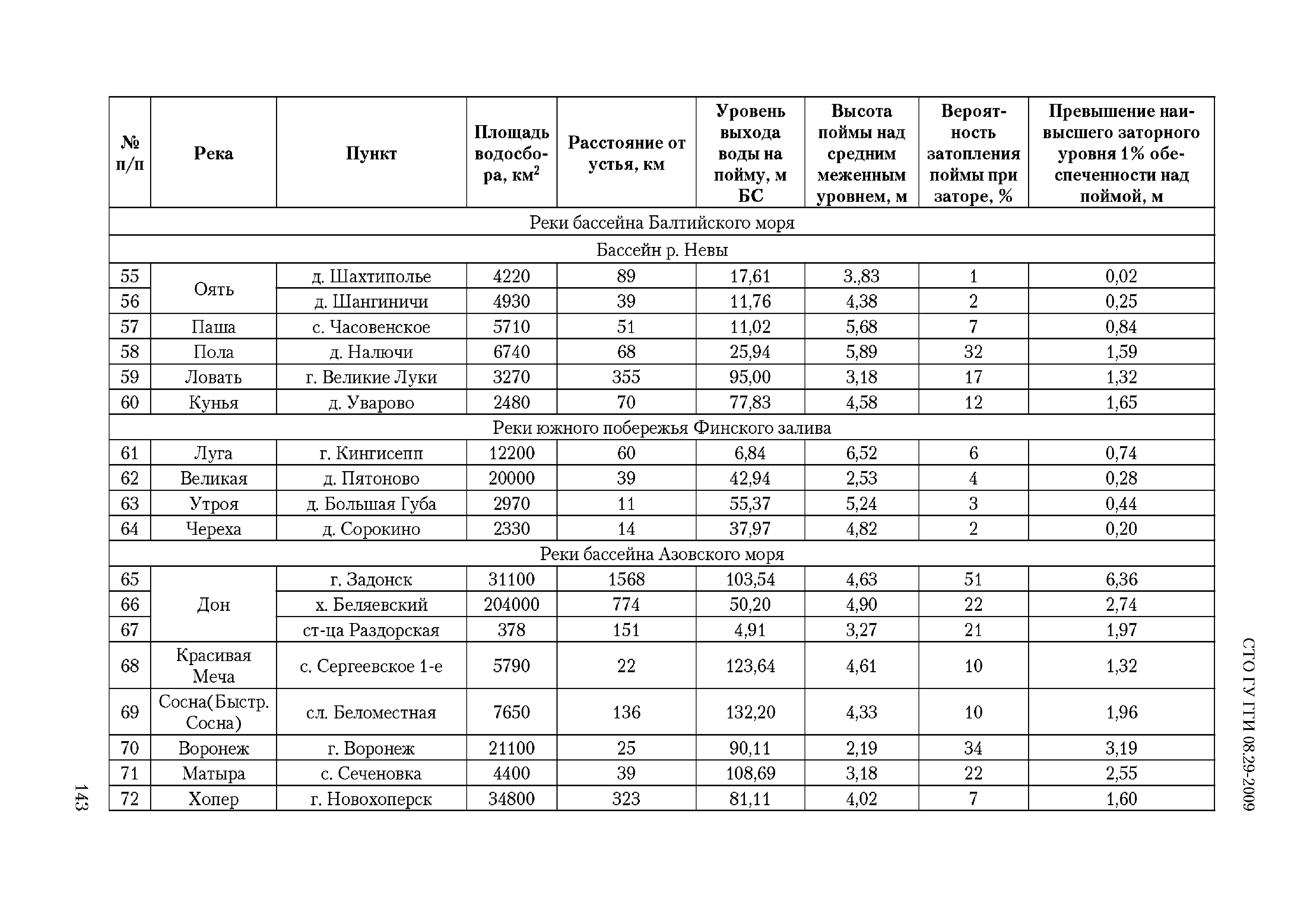
| Оглавление: | 1 Область применения 2 Нормативные ссылки 3 Термины и определения 4 Общие положения 5 Основные характеристики типов руслового процесса и речных пойм 6 Связь методов пересечения рек трубопроводами с типами руслового процесса речных русел 7 Инженерно-гидрометеорологические изыскания 7.1 Общие указания 7.2 Состав инженерно-гидрометеорологических изыскания, общие технические требования 7.3 Инженерно-гидрометеорологические изыскания для разработки предпроектной документации 7.4 Инженерно-гидрометеорологические изыскания для разработки проекта 8 Выбор участков и створов переходов магистральных трубопроводов при пересечении рек траншейным способом наклонного бурения 8.1 Траншейный метод 8.2 Метод наклонного бурения 9 Оценка характеристик транспорта насосов и деформаций русел и пойм рек при разных способах прокладки трубопроводов 9.1 Расчеты подвижности руслового аллювиального материала, характеристик русловых микроформ и расхода донных насосов 9.2 Прогнозирование скорости перемещения затопляемых мезоформ речного русла или их фрагментов 9.3 Примеры расчета смещения мезоформ за прогнозируемый период 9.4 Прогнозирование плановых деформаций русла 10 Построение ППР русел равнинных рек при траншейном способе прокладки перехода трубопровода 11 Построение ППР русел равнинных и горно-предгорных рек в случае прокладки трубопровода методом наклонного бурения 11.1 Основные параметры ППР 11.2 Этапы построения профиля предельного размыва русла 11.3 Определение ориентировочных значений параметров ППР (I этап) 11.4 Определений значений параметров ППР русла для морфологически однородного участка реки и для конкретного створа перехода (II и III этапы) 12 Построение ППР русел горно-предгорных рек при траншейном способе прокладки перехода трубопроводов 13 Оценка заносимости подводных траншей при строительстве подводных переходов 13.1 Проектно-технологические задачи 13.2 Расчетные методы определения заносимости траншей 13.3 Натурные методы определения заносимости траншей 13.4 Примеры решения проектно-технологических задач по учету заносимости подводных траншей 14 Организация мониторинга на участках переходов магистральных трубопроводов через реки 14.1 Общие положения 14.2 Цели и программы проведения гидроморфологического мониторинга на различных этапах проектирования и реализации проекта 14.3 Рекомендации по выполнению отдельных видов наблюдений и работ в составе гидроморфологического мониторинга водных объектов Приложения Библиография |
| Разработан: | ГУ Государственный гидрологический институт Росгидромета |
| Утверждён: | 22.09.2009 ГУ Государственный гидрологический институт |
| Издан: | Издательство Нестор-История (2009 г. ) |
| Расположен в: | |
| Нормативные ссылки: |
|























































































































































































