| ||||||||||||||||||||||||||||||||||
Скачать ГОСТ Р ИСО 15926-1-2008 Промышленные автоматизированные системы и интеграция. Интеграция данных жизненного цикла для перерабатывающих предприятий, включая нефтяные и газовые производственные предприятия. Часть 1. Обзор и основополагающие принципыДата актуализации: 10.08.2017
|
| Обозначение: | ГОСТ Р ИСО 15926-1-2008 |
| Обозначение англ: | GOST R ISO 15926-1-2008 |
| Статус: | действует |
| Название рус.: | Промышленные автоматизированные системы и интеграция. Интеграция данных жизненного цикла для перерабатывающих предприятий, включая нефтяные и газовые производственные предприятия. Часть 1. Обзор и основополагающие принципы |
| Название англ.: | Industrial automation systems and integration. Integration of life-cycle data for process plants including oil and gas production facilities. Part 1. Overview and fundamental principles |
| Дата добавления в базу: | 01.09.2013 |
| Дата актуализации: | 05.05.2017 |
| Дата введения: | 01.01.2010 |
| Область применения: | Стандарт применяют для предоставления информации, связанной с проектированием, строительством и эксплуатацией перерабатывающих предприятий. Стандарт устанавливает: - требования к информации перерабатывающих секторов промышленности на всех этапах жизненного цикла предприятия; - правила распределения и интеграции информации между сторонами, участвующими в жизненном цикле предприятия. Область применения стандарта распространяется на: - общую, концептуальную модель данных, подкрепляющую представление всех аспектов жизненного цикла перерабатывающего предприятия; - исходные данные, представляющие информацию общую для многих перерабатывающих предприятий и пользователей; - требования к области деятельности и информации по дополнительным исходным данным; - процедуры регистрации и ведения исходных данных; - шаблоны обмена данными, используемые в определенном контексте и их картографию к концептуальной модели данных; - методы разработки таких шаблонов и их картографию к концептуальной модели данных; - соответствие требованиям стандарта. |
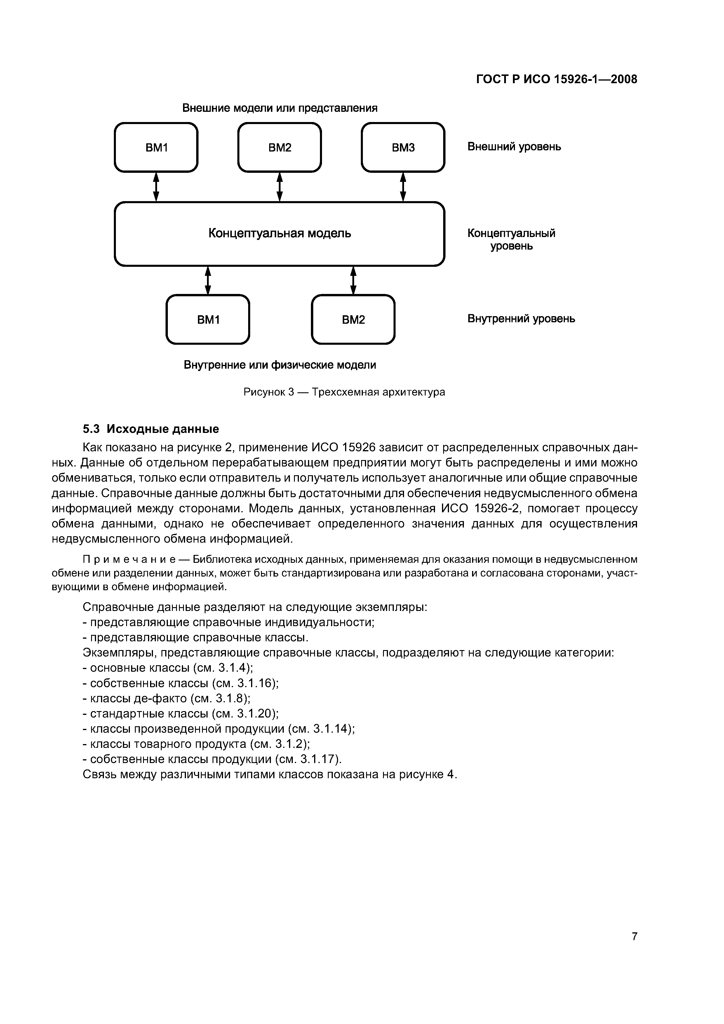
| Оглавление: | 1 Область применения 2 Нормативные ссылки 3 Термины, определения и сокращения 4 Обзор ИСО 15926 5 Основополагающие принципы 5.1 Архитектура 5.2 Концептуальные модели данных 5.3 Исходные данные 5.4 Регистрация и ведение исходных данных 6 Соответствие 6.1 Обзор 6.2 Файлы обмена 6.3 Интерфейсы информационной системы 6.3.1 Интерфейс файла обмена 6.3.2 Интерфейс программирования применения 7 Связь с другими стандартами на промышленные данные 7.1 Стандарты на представление промышленных данных 7.1.1 ИСО 10303 «Представление данных по продукции и обмен информацией» 7.1.2 ИСО 13584 «Библиотека деталей» 7.2 Стандарты на продукцию и производство Приложение А (справочное) Регистрация информационного объекта Библиография |
| Разработан: | НИИ ИНТЕРЭКОМС |
| Утверждён: | 18.12.2008 Федеральное агентство по техническому регулированию и метрологии (619-ст) |
| Издан: | Стандартинформ (2010 г. ) |
| Расположен в: | |
| Нормативные ссылки: |


















