Информационная система
«Ёшкин Кот»

Скачать базу одним архивом
Скачать обновления
История создания базы
Карта сайта

Скачать ГОСТ Р ИСО/МЭК 15408-1-2008 Информационная технология. Методы и средства обеспечения безопасности. Критерии оценки безопасности информационных технологий. Часть 1. Введение и общая модель

Дата актуализации: 10.08.2017

ГОСТ Р ИСО/МЭК 15408-1-2008

Информационная технология. Методы и средства обеспечения безопасности. Критерии оценки безопасности информационных технологий. Часть 1. Введение и общая модель

Обозначение: ГОСТ Р ИСО/МЭК 15408-1-2008
Обозначение англ: GOST R ISO/IEC 15408-1-2008
Статус:заменен
Название рус.:Информационная технология. Методы и средства обеспечения безопасности. Критерии оценки безопасности информационных технологий. Часть 1. Введение и общая модель
Название англ.:Information technology. Security techniques. Evaluation criteria for IT security. Part 1. Introduction and general model
Дата добавления в базу:01.09.2013
Дата актуализации:05.05.2017
Дата введения:01.12.2013
Область применения:Стандарт предназначен для использования в качестве основы при оценке характеристик безопасности продуктов или систем информационных технологий (ИТ). Устанавливая общую базу критериев, стандарт позволяет сделать результаты оценки безопасности ИТ значимыми для более широкой аудитории.
Оглавление:1 Область применения
2 Термины и определения
3 Обозначения и сокращения
4 Краткий обзор
   4.1 Введение
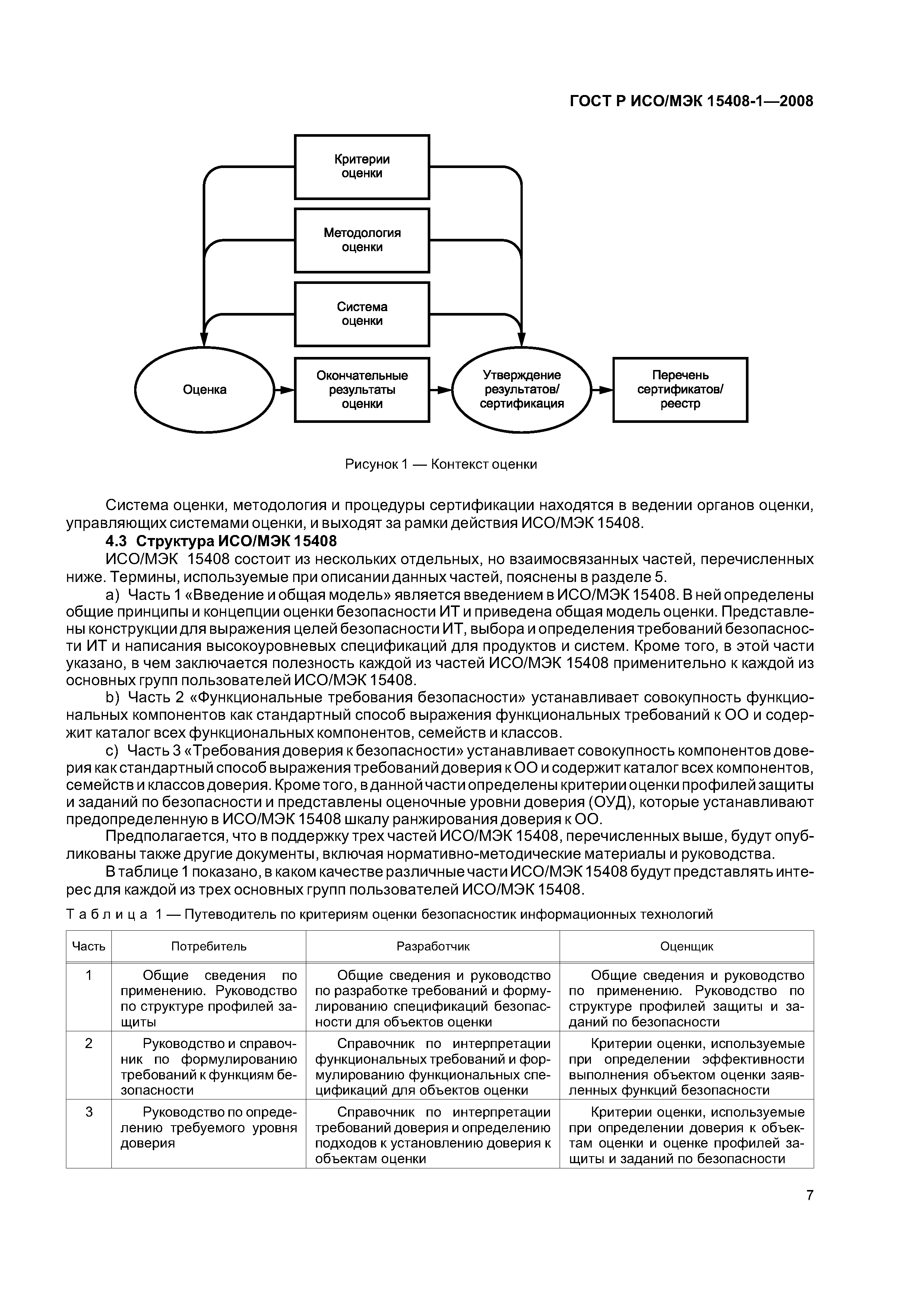
   4.2 Контекст оценки
   4.3 Структура ИСО/МЭК 15408
5 Общая модель
   5.1 Контекст безопасности
   5.2 Подход ИСО/МЭК 15408
   5.3 Понятия безопасности
   5.4 Описательные возможности ИСО/МЭК 15408
6 Требования ИСО/МЭК 15408 и результаты оценки
   6.1 Введение
   6.2 Требования, включаемые в профиль защиты и задание по безопасности
   6.3 Требования к объекту оценки
   6.4 Результаты оценки соответствия
   6.5 Использование результатов оценки объекта оценки
Приложение А (обязательное) Спецификация профилей защиты
Приложение В (обязательное) Спецификация заданий по безопасности
Приложение С (обязательное) Сведения о соответствии национальных стандартов ссылочным международным стандартам.......................................33
Библиография
Разработан: ООО ЦБИ
ФГУ 4 ЦНИИ Минобороны России
ФГУП Центр Атомзащитаинформ
ФГУП ЦНИИАТОМИНФОРМ
Утверждён:18.12.2008 Федеральное агентство по техническому регулированию и метрологии (519-ст)
Издан: Стандартинформ (2009 г. )
Расположен в:Техническая документация Электроэнергия ИНФОРМАЦИОННЫЕ ТЕХНОЛОГИИ. МАШИНЫ КОНТОРСКИЕ Наборы знаков и кодирование информации Экология ИНФОРМАЦИОННЫЕ ТЕХНОЛОГИИ. МАШИНЫ КОНТОРСКИЕ Наборы знаков и кодирование информации
Заменяет собой:
Чем заменён:
Нормативные ссылки:
ГОСТ Р ИСО/МЭК 15408-1-2008ГОСТ Р ИСО/МЭК 15408-1-2008ГОСТ Р ИСО/МЭК 15408-1-2008ГОСТ Р ИСО/МЭК 15408-1-2008ГОСТ Р ИСО/МЭК 15408-1-2008ГОСТ Р ИСО/МЭК 15408-1-2008ГОСТ Р ИСО/МЭК 15408-1-2008ГОСТ Р ИСО/МЭК 15408-1-2008ГОСТ Р ИСО/МЭК 15408-1-2008ГОСТ Р ИСО/МЭК 15408-1-2008ГОСТ Р ИСО/МЭК 15408-1-2008ГОСТ Р ИСО/МЭК 15408-1-2008ГОСТ Р ИСО/МЭК 15408-1-2008ГОСТ Р ИСО/МЭК 15408-1-2008ГОСТ Р ИСО/МЭК 15408-1-2008ГОСТ Р ИСО/МЭК 15408-1-2008ГОСТ Р ИСО/МЭК 15408-1-2008ГОСТ Р ИСО/МЭК 15408-1-2008ГОСТ Р ИСО/МЭК 15408-1-2008ГОСТ Р ИСО/МЭК 15408-1-2008ГОСТ Р ИСО/МЭК 15408-1-2008ГОСТ Р ИСО/МЭК 15408-1-2008ГОСТ Р ИСО/МЭК 15408-1-2008ГОСТ Р ИСО/МЭК 15408-1-2008ГОСТ Р ИСО/МЭК 15408-1-2008ГОСТ Р ИСО/МЭК 15408-1-2008ГОСТ Р ИСО/МЭК 15408-1-2008ГОСТ Р ИСО/МЭК 15408-1-2008ГОСТ Р ИСО/МЭК 15408-1-2008ГОСТ Р ИСО/МЭК 15408-1-2008ГОСТ Р ИСО/МЭК 15408-1-2008ГОСТ Р ИСО/МЭК 15408-1-2008ГОСТ Р ИСО/МЭК 15408-1-2008ГОСТ Р ИСО/МЭК 15408-1-2008ГОСТ Р ИСО/МЭК 15408-1-2008ГОСТ Р ИСО/МЭК 15408-1-2008ГОСТ Р ИСО/МЭК 15408-1-2008ГОСТ Р ИСО/МЭК 15408-1-2008ГОСТ Р ИСО/МЭК 15408-1-2008ГОСТ Р ИСО/МЭК 15408-1-2008

© 2013 Ёшкин Кот :-) Карта сайта