| ||||||||||||||||||||||||||||||||||||
Скачать ГОСТ Р 52706-2007 Лампы накаливания вольфрамовые для бытового и аналогичного общего освещения. Эксплуатационные требованияДата актуализации: 10.08.2017
|
| Обозначение: | ГОСТ Р 52706-2007 |
| Обозначение англ: | GOST R 52706-2007 |
| Статус: | действует |
| Название рус.: | Лампы накаливания вольфрамовые для бытового и аналогичного общего освещения. Эксплуатационные требования |
| Название англ.: | Tungsten filament lamps for domestic and similar general lighting purposes. Рerformance requirements |
| Дата добавления в базу: | 01.09.2013 |
| Дата актуализации: | 05.05.2017 |
| Дата введения: | 01.01.2008 |
| Область применения: | Стандарт распространяется на вольфрамовые лампы накаливания для бытового и аналогичного общего освещения, удовлетворяющие требованиям безопасности для ламп мощностью до 200 Вт включительно по ГОСТ Р 52712, для ламп мощностью 300 Вт и более по ГОСТ 12.2.007.13 и имеющие: - номинальную мощность от 15 до 200, 300, 500, 750 и 1000 Вт включительно; - номинальное напряжение от 100 до 250 В включительно; если маркируют диапазон напряжения, то предельные значения диапазона не должны отличаться от среднего значения более чем на плюс минус 2,5%; - колбы формы A, PS или М; - колбы прозрачные, матированные или с эквивалентным матированию покрытием, белым покрытием, опаловые, опалиновые или молочные; - цоколи B22d, E26, E27 или Е40. Стандарт устанавливает эксплуатационные требования, методы испытаний, приемку. |
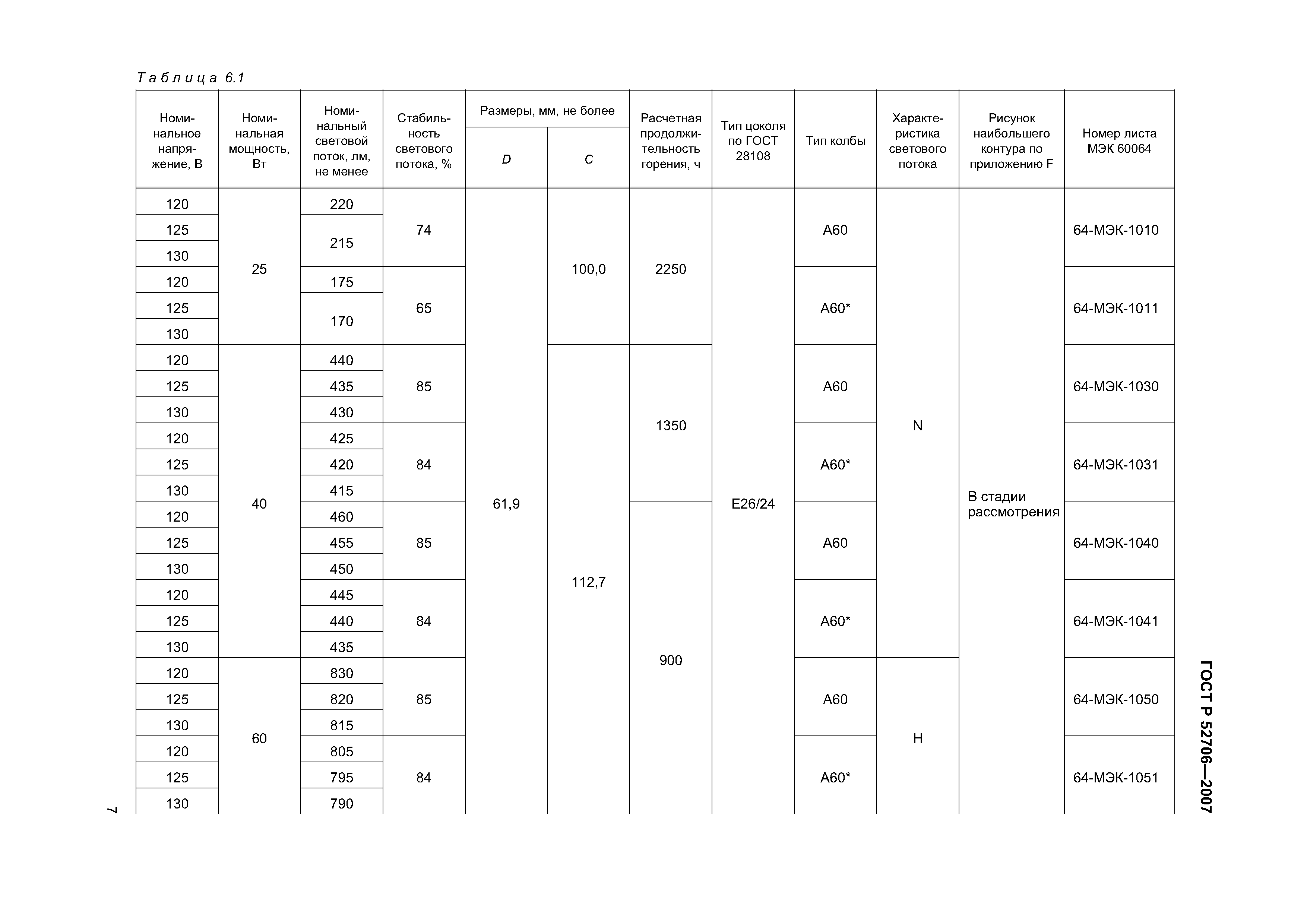
| Оглавление: | 1 Общие положения 1.1 Область применения 1.2 Нормативные ссылки 1.3 Общая структура 1.4 Форма колб 1.5 Термины и определения 2 Параметры и характеристики 3 Общие положения, требования к размерам, электрическим, световым параметрам и продолжительности горения 3.1 Общие положения 3.2 Маркировка 3.3 Размеры 3.4 Параметры и допуски на начальные значения 3.5 Стабильность светового потока 3.6 Требования к испытанию на продолжительность гоения 4 Приемка 5 Обозначения размеров для измерения 5.1 Лампы накаливания с колбой формы А или PS и цоколем B22d 5.2 Лампы накаливания с колбой формы А или PS и резьбовым цоколем 5.3 Лампы накаливания с колбой формы М и цоколем B22d 5.4 Лампы накаливания с колбой формы М и резьбовым цоколем 6 Параметры ламп Приложение А Методика испытаний Приложение В Расчет продолжительности горения и ее ограничение Приложение С Характеристики испытательного стенда Приложение D Форма колб Приложение Е Калибры для проверки наличия контакта Приложение F Наибольшие контуры ламп Приложение G Соответствие требований настоящего стандарта требованиям международных стандартов Приложение H Сопоставление структуры настоящего стандарта со структурой примененного в нем международного стандарта Приложение J Сведения о соответствии ссылочных международных стандартов национальным стандартам Российской Федерации, использованным в настоящем стандарте в качетсве нормативных ссылок |
| Разработан: | ОАО Лисма-ВНИИИС им. А.Н. Лодыгина |
| Утверждён: | 28.01.2007 Федеральное агентство по техническому регулированию и метрологии (2-ст) |
| Издан: | Стандартинформ (2007 г. ) |
| Расположен в: | |
| Заменяет собой: | |
| Нормативные ссылки: |
|

















































