Информационная система
«Ёшкин Кот»

Скачать базу одним архивом
Скачать обновления
История создания базы
Карта сайта

Скачать ГОСТ Р 40.003-2005 Система сертификации ГОСТ Р. Регистр систем качества. Порядок сертификации систем менеджмента качества на соответствие ГОСТ Р ИСО 9001–2001 (ИСО 9001:2000)

Дата актуализации: 10.08.2017

ГОСТ Р 40.003-2005

Система сертификации ГОСТ Р. Регистр систем качества. Порядок сертификации систем менеджмента качества на соответствие ГОСТ Р ИСО 9001–2001 (ИСО 9001:2000)

Обозначение: ГОСТ Р 40.003-2005
Обозначение англ: GOST R 40.003-2005
Статус:заменен
Название рус.:Система сертификации ГОСТ Р. Регистр систем качества. Порядок сертификации систем менеджмента качества на соответствие ГОСТ Р ИСО 9001–2001 (ИСО 9001:2000)
Название англ.:GOST R certification system. Register of quality systems. Certification procedure of quality management systems to accordance with GOST R ISO 9001-2001 (ISO 9001:2000)
Дата добавления в базу:01.09.2013
Дата актуализации:05.05.2017
Дата введения:01.12.2009
Область применения:Стандарт устанавливает порядок сертификаци систем менеджмента качества на соответствие требованиям ГОСТ Р ИСО 9001 в Системе сертификации ГОСТ Р. Стандарт предназначен для применения органами по сертификации систем менеджмента качества Системы сертификации ГОСТ Р, организациями, претендующими на получение сертификата соответствия системы менеджмента качества,организациями - держателями таких сертификатов.
Оглавление:1 Область применения
2 Нормативные ссылки
3 Термины и определения
4 Цели проведения сертификации систем менеджмента качества
5 Требования к условиям проведения сертификации
6 Объекты аудита
7 Процессы сертификации СМК
   7.1 Этапы работ
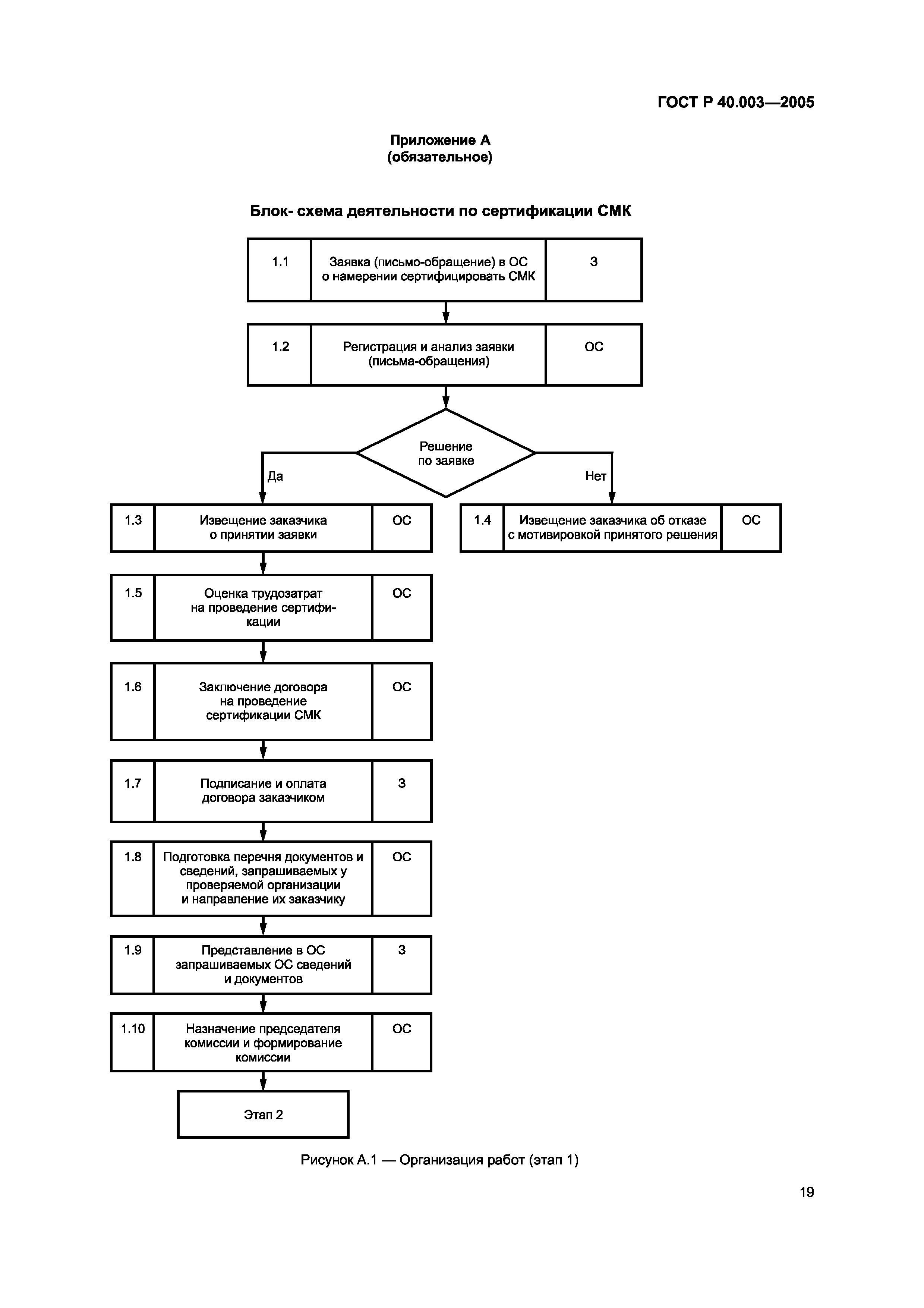
   7.2 Организация работ (этап 1)
   7.3 Анализ документов СМК проверяемой организации (этап 2)
   7.4 Подготовка к аудиту "на месте" (этап 3)
   7.5 Проведение аудита "на месте" и подготовка акта по результатам аудита (этап 4)
   7.6 Завершение сертификации, регистрация и выдача сертификата соответствия СМК (этап 5)
   7.7 Инспекционный контроль сертифицированных СМК (этап 6)
8 Ресертификация СМК
9 Расширение или сужение области сертификации
10 Применение сертификата соответствия и знака соответствия СМК
11 Конфиденциальность информации
12 Оплата работ
13 Рабочий язык
Приложение А (обязательное) Блок-схема деятельности по сертификации СМК
Приложение Б (обязательное) Форма заявки на проведение сертификации СМК
Приложение В (обязательное) Форма извещения о результатах рассмотрения заявки на сертификацию СМК
Приложение Г (обязательное) Перечень документов и сведений для анализа документации СМК
Приложение Д (обязательное) Форма плана аудита СМК
Приложение Е (обязательное) Перечень элементов СМК
Приложение Ж (обязательное) Форма регистрации несоответствий
Приложение И (обязательное) Форма регистрации уведомлений
Приложение К (обязательное) Форма акта по результатам аудита СМК
Приложение Л (обязательное) Форма решения о выдаче сертификата соответствия СМК
Приложение М (обязательное) Формы сертификатов соответствия и приложений к сертификатам
Приложение Н (обязательное) Форма решения о подтверждении действия сертификата соответствия СМК
Приложение П (обязательное) Форма решения о приостановлении действия сертификата соответствия СМК
Приложение Р (обязательное) Форма решения об отмене действия сертификата соответствия СМК
Приложение С (обязательное) Форма решения о расширении области сертификации СМК
Приложение Т (обязательное) Форма решения о сужении области сертификации СМК
Приложение У (обязательное) Форма разрешения на использование знака соответствия
Библиография
Разработан: ОАО ВНИИС
Утверждён:14.11.2005 Федеральное агентство по техническому регулированию и метрологии (287-ст)
Издан: Стандартинформ (2006 г. )
Расположен в:Техническая документация Электроэнергия СОЦИОЛОГИЯ. УСЛУГИ. ОРГАНИЗАЦИЯ ФИРМ И УПРАВЛЕНИЕ ИМИ. АДМИНИСТРАЦИЯ. ТРАНСПОРТ Качество Качество в целом Экология СОЦИОЛОГИЯ. УСЛУГИ. ОРГАНИЗАЦИЯ ФИРМ И УПРАВЛЕНИЕ ИМИ. АДМИНИСТРАЦИЯ. ТРАНСПОРТ Качество Качество в целом Строительство Стандарты Другие государственные стандарты, применяемые в строительстве Социология. Услуги. Организация фирм и управление ими. Администрация. Транспорт
Чем заменён:
Нормативные ссылки:
ГОСТ Р 40.003-2005ГОСТ Р 40.003-2005ГОСТ Р 40.003-2005ГОСТ Р 40.003-2005ГОСТ Р 40.003-2005ГОСТ Р 40.003-2005ГОСТ Р 40.003-2005ГОСТ Р 40.003-2005ГОСТ Р 40.003-2005ГОСТ Р 40.003-2005ГОСТ Р 40.003-2005ГОСТ Р 40.003-2005ГОСТ Р 40.003-2005ГОСТ Р 40.003-2005ГОСТ Р 40.003-2005ГОСТ Р 40.003-2005ГОСТ Р 40.003-2005ГОСТ Р 40.003-2005ГОСТ Р 40.003-2005ГОСТ Р 40.003-2005ГОСТ Р 40.003-2005ГОСТ Р 40.003-2005ГОСТ Р 40.003-2005ГОСТ Р 40.003-2005ГОСТ Р 40.003-2005ГОСТ Р 40.003-2005ГОСТ Р 40.003-2005ГОСТ Р 40.003-2005ГОСТ Р 40.003-2005ГОСТ Р 40.003-2005ГОСТ Р 40.003-2005ГОСТ Р 40.003-2005ГОСТ Р 40.003-2005ГОСТ Р 40.003-2005ГОСТ Р 40.003-2005ГОСТ Р 40.003-2005ГОСТ Р 40.003-2005ГОСТ Р 40.003-2005ГОСТ Р 40.003-2005ГОСТ Р 40.003-2005ГОСТ Р 40.003-2005ГОСТ Р 40.003-2005ГОСТ Р 40.003-2005ГОСТ Р 40.003-2005ГОСТ Р 40.003-2005ГОСТ Р 40.003-2005ГОСТ Р 40.003-2005ГОСТ Р 40.003-2005ГОСТ Р 40.003-2005ГОСТ Р 40.003-2005ГОСТ Р 40.003-2005ГОСТ Р 40.003-2005ГОСТ Р 40.003-2005ГОСТ Р 40.003-2005ГОСТ Р 40.003-2005ГОСТ Р 40.003-2005ГОСТ Р 40.003-2005ГОСТ Р 40.003-2005

© 2013 Ёшкин Кот :-) Карта сайта