Информационная система
«Ёшкин Кот»

Скачать базу одним архивом
Скачать обновления
История создания базы
Карта сайта

Скачать ГОСТ Р 51814.7-2005 Системы менеджмента качества в автомобилестроении. Оценка систем менеджмента качества

Дата актуализации: 10.08.2017

ГОСТ Р 51814.7-2005

Системы менеджмента качества в автомобилестроении. Оценка систем менеджмента качества

Обозначение: ГОСТ Р 51814.7-2005
Обозначение англ: GOST R 51814.7-2005
Статус:действует
Название рус.:Системы менеджмента качества в автомобилестроении. Оценка систем менеджмента качества
Название англ.:Management quality systems for automotive industry. Management quality systems analysis
Дата добавления в базу:01.09.2013
Дата актуализации:05.05.2017
Дата введения:01.09.2005
Область применения:Стандарт применяется для оценки СМК предприятий (организаций) автомобилестроения на соответствие требования ГОСТ Р 51814.1.0
Оглавление:1 Область применения
2 Нормативные ссылки
3 Термины и определения
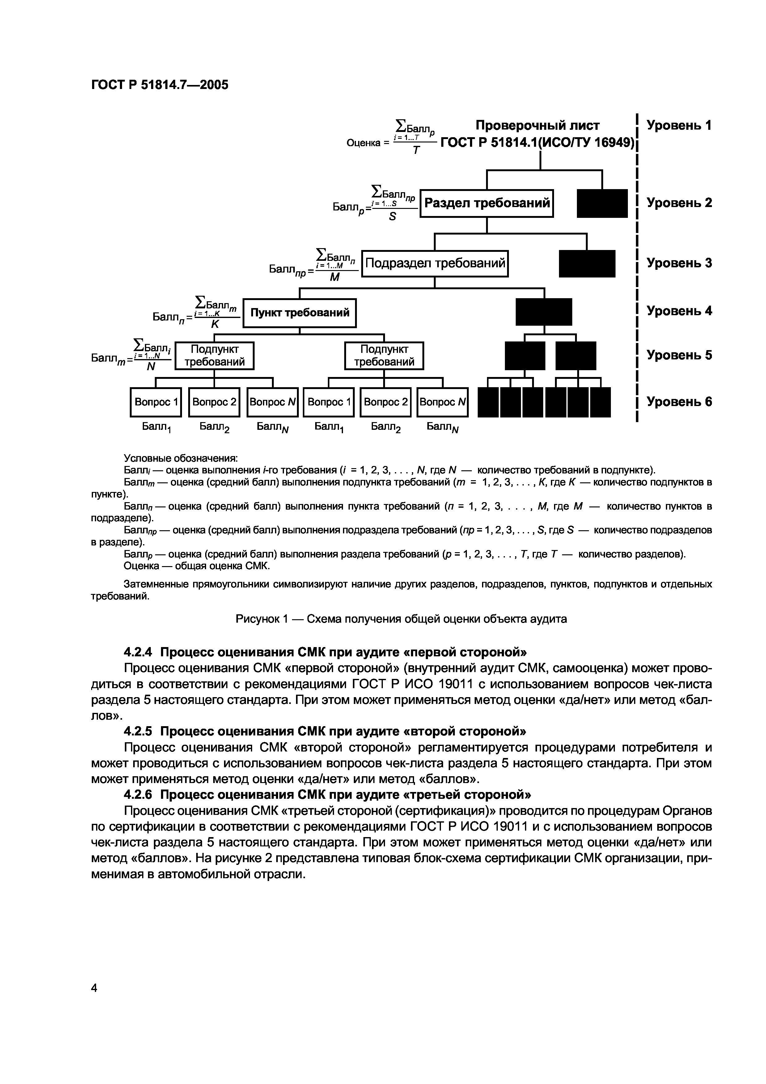
4 Общие положения и указания по оценке СМК
   4.1 Общие положения
   4.2 Указания по оценке СМК
5 Перечень вопросов по оценке выполнения требований пунктов (подпунктов)/разделов (подразделов) ГОСТ Р 51814.1
   5.1 Раздел 4 ГОСТ Р 51814.1 Система менеджмента качества
   5.1 Раздел 5 ГОСТ Р 51814.1 Ответственность руководства
   5.1 Раздел 6 ГОСТ Р 51814.1 Менеджментресурсов
   5.1 Раздел 7 ГОСТ Р 51814.1 Процессы жизненного цикла продукции
   5.1 Раздел 8 ГОСТ Р 51814.1 Измерение, анализ и улучшение
Приложение А Бланки по оценке СМК
Библиография
Разработан: ОАО НИЦ КД
ОАО АВТОВАЗ
ТК 125 Статические методы в управлении качеством продукции
ЗАО АИЦ
Ассоциация по сертификации Русский Регистр
Утверждён:11.07.2005 Федеральное агентство по техническому регулированию и метрологии (188-ст)
Издан: Стандартинформ (2005 г. )
Расположен в:Техническая документация Электроэнергия СОЦИОЛОГИЯ. УСЛУГИ. ОРГАНИЗАЦИЯ ФИРМ И УПРАВЛЕНИЕ ИМИ. АДМИНИСТРАЦИЯ. ТРАНСПОРТ Качество Применение статистических методов Экология СОЦИОЛОГИЯ. УСЛУГИ. ОРГАНИЗАЦИЯ ФИРМ И УПРАВЛЕНИЕ ИМИ. АДМИНИСТРАЦИЯ. ТРАНСПОРТ Качество Применение статистических методов Строительство Стандарты Другие государственные стандарты, применяемые в строительстве Социология. Услуги. Организация фирм и управление ими. Администрация. Транспорт
Нормативные ссылки:
ГОСТ Р 51814.7-2005ГОСТ Р 51814.7-2005ГОСТ Р 51814.7-2005ГОСТ Р 51814.7-2005ГОСТ Р 51814.7-2005ГОСТ Р 51814.7-2005ГОСТ Р 51814.7-2005ГОСТ Р 51814.7-2005ГОСТ Р 51814.7-2005ГОСТ Р 51814.7-2005ГОСТ Р 51814.7-2005ГОСТ Р 51814.7-2005ГОСТ Р 51814.7-2005ГОСТ Р 51814.7-2005ГОСТ Р 51814.7-2005ГОСТ Р 51814.7-2005ГОСТ Р 51814.7-2005ГОСТ Р 51814.7-2005ГОСТ Р 51814.7-2005ГОСТ Р 51814.7-2005ГОСТ Р 51814.7-2005ГОСТ Р 51814.7-2005ГОСТ Р 51814.7-2005ГОСТ Р 51814.7-2005ГОСТ Р 51814.7-2005ГОСТ Р 51814.7-2005ГОСТ Р 51814.7-2005ГОСТ Р 51814.7-2005ГОСТ Р 51814.7-2005ГОСТ Р 51814.7-2005ГОСТ Р 51814.7-2005ГОСТ Р 51814.7-2005ГОСТ Р 51814.7-2005ГОСТ Р 51814.7-2005ГОСТ Р 51814.7-2005ГОСТ Р 51814.7-2005ГОСТ Р 51814.7-2005ГОСТ Р 51814.7-2005ГОСТ Р 51814.7-2005ГОСТ Р 51814.7-2005ГОСТ Р 51814.7-2005ГОСТ Р 51814.7-2005ГОСТ Р 51814.7-2005ГОСТ Р 51814.7-2005ГОСТ Р 51814.7-2005ГОСТ Р 51814.7-2005ГОСТ Р 51814.7-2005ГОСТ Р 51814.7-2005ГОСТ Р 51814.7-2005ГОСТ Р 51814.7-2005

© 2013 Ёшкин Кот :-) Карта сайта