Информационная система
«Ёшкин Кот»

Скачать базу одним архивом
Скачать обновления
История создания базы
Карта сайта

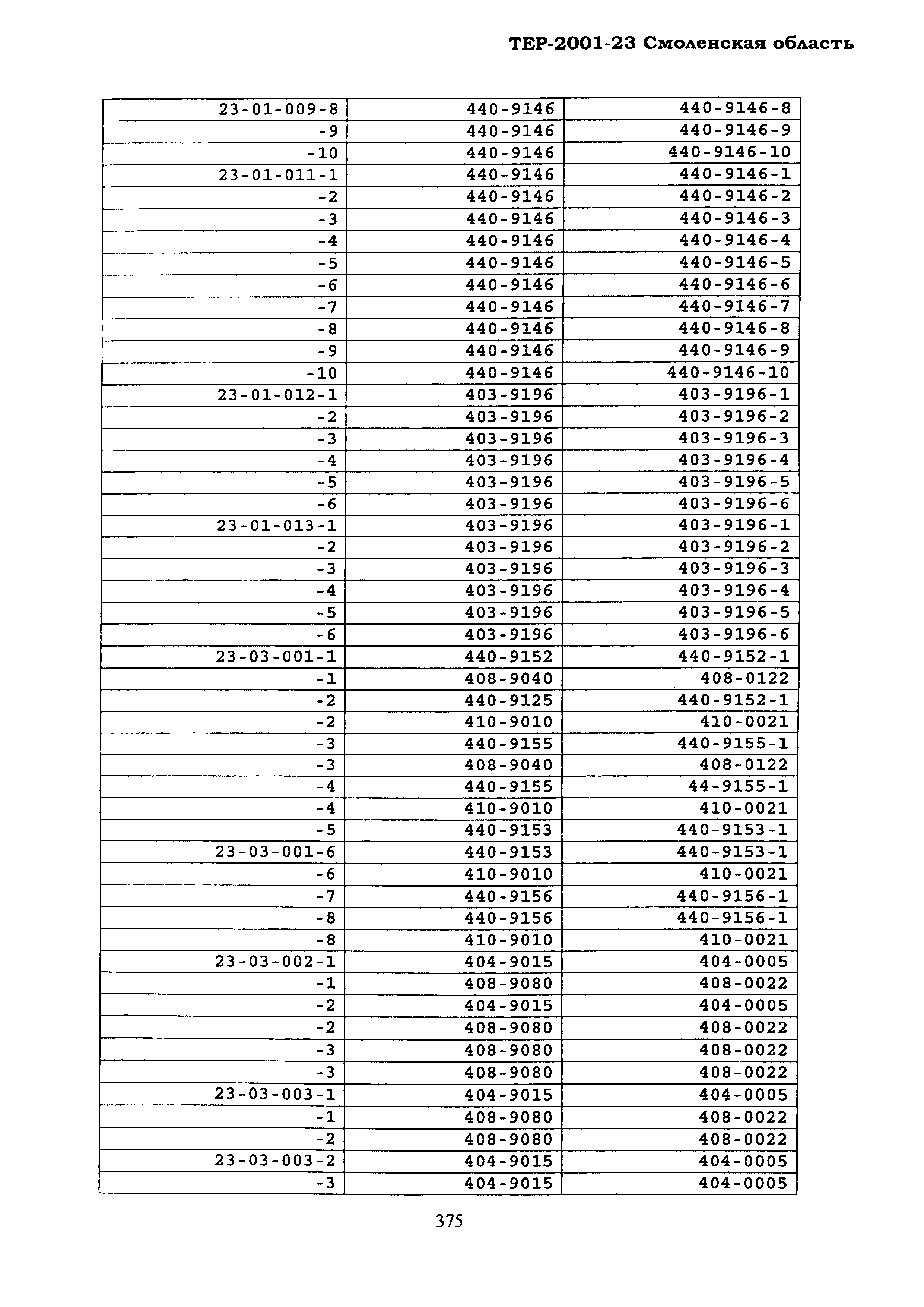
Скачать ТЕР Смоленской обл. 2001-23 Канализация- наружные сети. Территориальные единичные расценки на строительные работы Смоленской области

Дата актуализации: 10.08.2017

ТЕР Смоленской обл. 2001-23

Канализация- наружные сети. Территориальные единичные расценки на строительные работы Смоленской области

Обозначение: ТЕР Смоленской обл. 2001-23
Обозначение англ: 2001-23
Статус:действует
Название рус.:Канализация- наружные сети. Территориальные единичные расценки на строительные работы Смоленской области
Дата добавления в базу:01.09.2013
Дата актуализации:05.05.2017
Дата введения:01.10.2003
Область применения:Предназначены для определения прямых затрат в сметной стоимости выполнения работ по строительству наружных самотечных сетей канализации и составления сметных расчетов (смет), а также для расчетов за выполненные строительные работы.
Оглавление:Техническая часть
Общие указания
Правила исчисления объемов работ
Коэффициенты к единичным расценкам
Разработан: Департамент строительства и архитектурной политики Смоленской области
Утверждён:08.09.2003 Администрация Смоленской области (Administration of Smolensk Region 235)
Издан: Департамент строительства и архитектурной политики Смоленской области (2003 г. )
Расположен в:Техническая документация Экология СТРОИТЕЛЬНЫЕ МАТЕРИАЛЫ И СТРОИТЕЛЬСТВО Строительная промышленность Стоимость строительства и обслуживания зданий и сооружений -50 Стоимость строительных и строительно-монтажных работ Строительство Нормативные документы Документы Системы нормативных документов в строительстве Нормативные документы по экономике к.81 Ценообразование и сметы Классификатор ISO Нормативные документы по экономике Ценообразование и сметы
Нормативные ссылки:
ТЕР Смоленской обл. 2001-23ТЕР Смоленской обл. 2001-23ТЕР Смоленской обл. 2001-23ТЕР Смоленской обл. 2001-23ТЕР Смоленской обл. 2001-23ТЕР Смоленской обл. 2001-23ТЕР Смоленской обл. 2001-23ТЕР Смоленской обл. 2001-23ТЕР Смоленской обл. 2001-23ТЕР Смоленской обл. 2001-23ТЕР Смоленской обл. 2001-23ТЕР Смоленской обл. 2001-23ТЕР Смоленской обл. 2001-23ТЕР Смоленской обл. 2001-23ТЕР Смоленской обл. 2001-23ТЕР Смоленской обл. 2001-23ТЕР Смоленской обл. 2001-23ТЕР Смоленской обл. 2001-23ТЕР Смоленской обл. 2001-23ТЕР Смоленской обл. 2001-23ТЕР Смоленской обл. 2001-23ТЕР Смоленской обл. 2001-23ТЕР Смоленской обл. 2001-23ТЕР Смоленской обл. 2001-23ТЕР Смоленской обл. 2001-23ТЕР Смоленской обл. 2001-23ТЕР Смоленской обл. 2001-23ТЕР Смоленской обл. 2001-23ТЕР Смоленской обл. 2001-23ТЕР Смоленской обл. 2001-23ТЕР Смоленской обл. 2001-23ТЕР Смоленской обл. 2001-23ТЕР Смоленской обл. 2001-23ТЕР Смоленской обл. 2001-23ТЕР Смоленской обл. 2001-23

© 2013 Ёшкин Кот :-) Карта сайта